Impact of Duration of Land Abandonment on Infiltration and Surface Runoff in Acidic Sandy Soil
Abstract
:1. Introduction
2. Materials and Methods
2.1. Site Description
2.2. Field Methods
2.3. Laboratory Methods
2.4. Statistical Treatment
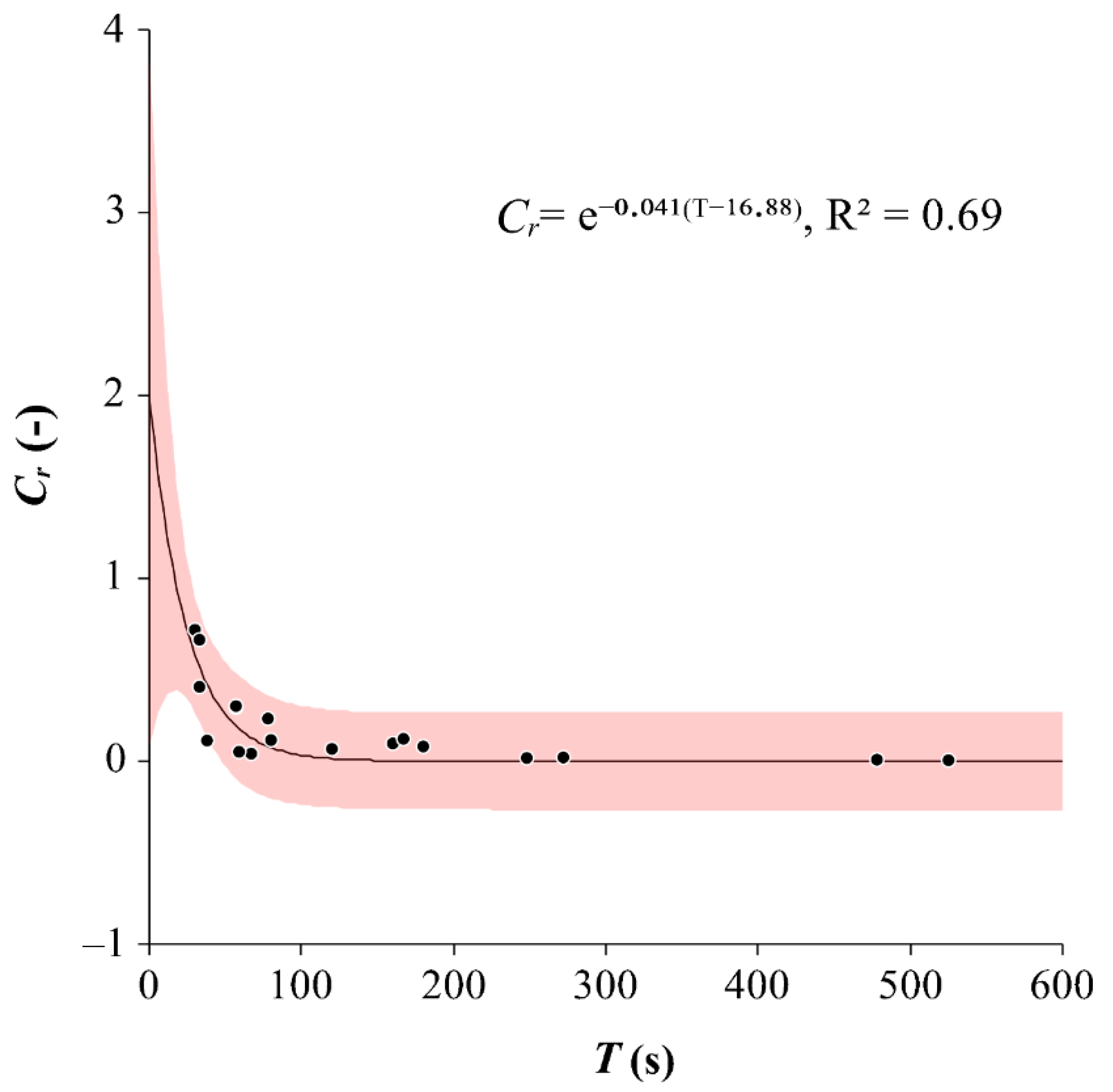
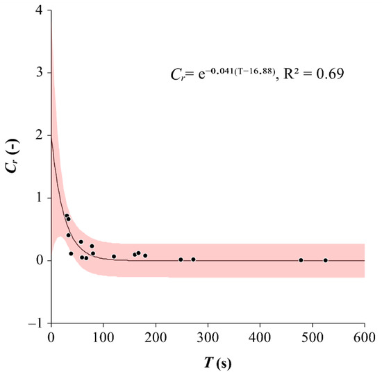
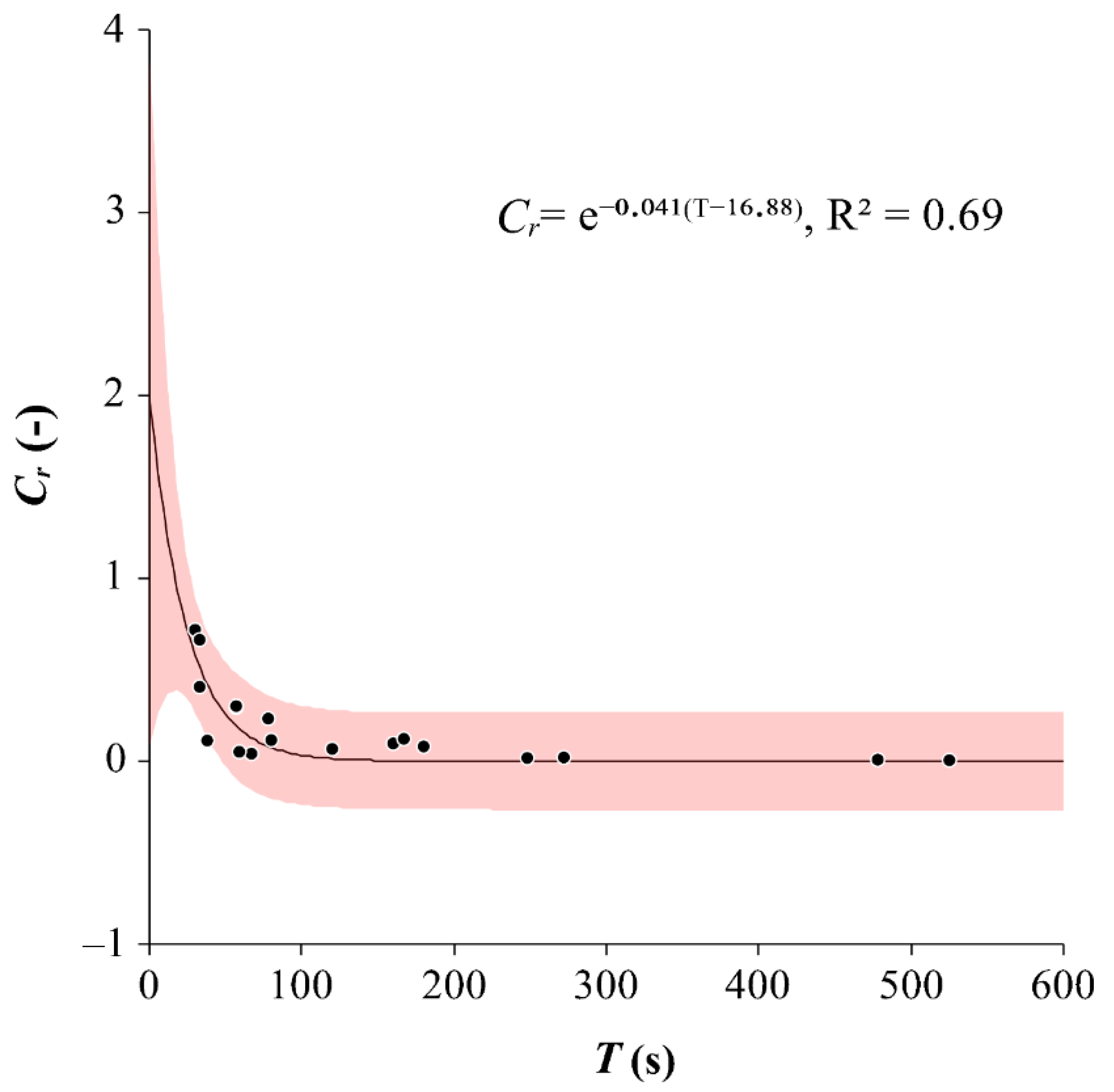
3. Results
4. Discussion
5. Conclusions
Author Contributions
Funding
Institutional Review Board Statement
Informed Consent Statement
Data Availability Statement
Acknowledgments
Conflicts of Interest
Abbreviations
References
- Cerdà, A.; Rodrigo-Comino, J.; Novara, A.; Brevik, E.C.; Vaezi, A.R.; Pulido, M.; Giménez-Morera, A.; Keesstra, S.D. Long-term impact of rainfed agricultural land abandonment on soil erosion in the Western Mediterranean basin. Prog. Phys. Geogr. Earth Environ. 2018, 2, 202–219. [Google Scholar] [CrossRef]
- Csecserits, A.; Czucz, B.; Halassy, M.; Kröel-Dulay, G.; Rédei, T.; Szabó, R.; Szitár, K.; Török, K. Regeneration of sandy old-fields in the forest steppe region of Hungary. Plant Biosyst. 2011, 145, 715–729. [Google Scholar] [CrossRef]
- Lasanta, T.; Sánchez-Navarrete, P.; Medrano-Moreno, L.M.; Khorchani, M.; Nadal-Romero, E. Soil quality and soil organic carbon storage in abandoned agricultural lands: Effects of revegetation processes in a Mediterranean mid-mountain area. Land Degrad. Dev. 2020, 31, 2830–2845. [Google Scholar] [CrossRef]
- Apostolakis, A.; Panakoulia, S.; Nikolaidis, N.P.; Paranychianakis, N.V. Shifts in soil structure and soil organic matter in a chronosequence of set-aside fields. Soil Tillage Res. 2017, 174, 113–119. [Google Scholar] [CrossRef]
- Kozak, M.; Pudelko, R. Impact assessment of the long-term fallowed land on agricultural soils and the possibility of their return to agriculture. Agriculture 2021, 11, 148. [Google Scholar] [CrossRef]
- Fér, M.; Kodešová, R.; Hroníková, S.; Nikodem, A. The effect of 12-year ecological farming on the soil hydraulic properties and repellency index. Biologia 2020, 75, 799–807. [Google Scholar] [CrossRef]
- Novák, V.; Lichner, Ľ.; Zhang, B.; Kňava, K. The impact of heating on the hydraulic properties of soils sampled under different plant cover. Biologia 2009, 64, 483–486. [Google Scholar] [CrossRef]
- Bayad, M.; Chau, H.W.; Trolove, S.; Moir, J.; Condron, L.; Bouray, M. The relationship between soil moisture and soil water repellency persistence in hydrophobic soils. Water 2020, 12, 2322. [Google Scholar] [CrossRef]
- Leelamanie, D.A.L.; Nishiwaki, J. Water repellency in Japanese coniferous forest soils as affected by drying temperature and moisture. Biologia 2019, 74, 127–137. [Google Scholar] [CrossRef]
- Czachor, H.; Rajkai, K.; Lichner, L.; Jozefaciuk, G. Sample geometry affects water retention curve: Simulation and experimental proves. J. Hydrol. 2020, 588, 125131. [Google Scholar] [CrossRef]
- Benito, E.; Varela, E.; Rodríguez-Alleres, M. Persistence of water repellency in coarse-textured soils under various types of forests in NW Spain. J. Hydrol. Hydromech. 2019, 67, 129–134. [Google Scholar] [CrossRef] [Green Version]
- Diehl, D.; Bayer, J.V.; Woche, S.K.; Bryant, R.; Doerr, S.H.; Schaumann, G.E. Reaction of soil water repellency to artificially induced changes in soil pH. Geoderma 2010, 158, 375–384. [Google Scholar] [CrossRef]
- Mielnik, L.; Hewelke, E.; Weber, J.; Oktaba, L.; Jonczak, J.; Podlasiński, M. Changes in the soil hydrophobicity and structure of humic substances in sandy soil taken out of cultivation. Agric. Ecosyst. Environ. 2021, 319, 107554. [Google Scholar] [CrossRef]
- Lichner, Ľ.; Babejová, N.; Dekker, L.W. Effects of kaolinite and drying temperature on the persistence of soil water repellency induced by humic acids. Rostl. Výroba 2002, 48, 203–207. [Google Scholar] [CrossRef] [Green Version]
- Täumer, K.; Stoffregen, H.; Wessolek, G. Seasonal dynamics of preferential flow in a water repellent soil. Vadose Zone J. 2006, 5, 405–411. [Google Scholar] [CrossRef]
- Sepehrnia, N.; Hajabbasi, M.A.; Afyuni, M.; Lichner, Ľ. Soil water repellency changes with depth and relationship to physical properties within wettable and repellent soil profiles. J. Hydrol. Hydromech. 2017, 65, 99–104. [Google Scholar] [CrossRef] [Green Version]
- Turski, M.; Lipiec, J.; Chodorowski, J.; Sokołowska, Z.; Skic, K. Vertical distribution of soil water repellency in ortsteinic soils in relation to land use. Soil Tillage Res. 2022, 215, 105220. [Google Scholar] [CrossRef]
- Sándor, R.; Iovino, M.; Lichner, L.; Alagna, V.; Forster, D.; Fraser, M.; Kollár, J.; Šurda, P.; Nagy, V.; Szabó, A.; et al. Impact of climate, soil properties and grassland cover on soil water repellency. Geoderma 2021, 383, 114780. [Google Scholar] [CrossRef]
- Hewelke, E. Influence of abandoning agricultural land use on hydrophysical properties of sandy soil. Water 2019, 11, 525. [Google Scholar] [CrossRef] [Green Version]
- Long, Y.; Liu, J.L.; Huang, T.M. Impact of afforestation on soil hydraulic conductivity and repellency index based on microdisk infiltration experiment. Fresenius Environ. Bull. 2020, 29, 5855–5859. [Google Scholar]
- Zema, D.A.; Plaza-Alvarez, P.A.; Xu, X.Z.; Carra, B.G.; Lucas-Borja, M.E. Influence of forest stand age on soil water repellency and hydraulic conductivity in the Mediterranean environment. Sci. Total Environ. 2021, 753, 142006. [Google Scholar] [CrossRef] [PubMed]
- Lucas-Borja, M.E.; Zema, D.A.; Plaza-Álvarez, P.A.; Zupanc, V.; Baartman, J.; Sagra, J.; González-Romero, J.; Moya, D.; de las Heras, J. Effects of different land uses (abandoned farmland, intensive agriculture and forest) on soil hydrological properties in Southern Spain. Water 2019, 11, 503. [Google Scholar] [CrossRef] [Green Version]
- Shillito, R.M.; Berli, M.; Ghezzehei, T.A. Quantifying the effect of subcritical water repellency on sorptivity: A physically based model. Water Resour. Res. 2020, 56, e2020WR027942. [Google Scholar] [CrossRef]
- Lemmnitz, C.; Kuhnert, M.; Bens, O.; Güntner, A.; Merz, B.; Hüttl, R.F. Spatial and temporal variations of actual soil water repellency and their influence on surface runoff. Hydrol. Processes 2008, 22, 1976–1984. [Google Scholar] [CrossRef]
- Miyata, S.; Kosugi, K.; Nishi, Y.; Gomi, T.; Sidle, R.C.; Mizuyama, T. Spatial pattern of infiltration rate and its effect on hydrological processes in a small headwater catchment. Hydrol. Processes 2010, 24, 535–549. [Google Scholar] [CrossRef]
- Miyata, S.; Kosugi, K.; Gomi, T.; Onda, Y.; Mizuyama, T. Surface runoff as affected by soil water repellency in a Japanese cypress forest. Hydrol. Process. 2007, 21, 2365–2376. [Google Scholar] [CrossRef]
- Müller, K.; Mason, K.; Strozzi, A.G.; Simpson, R.; Komatsu, T.; Kawamoto, K.; Clothier, B. Runoff and nutrient loss from a water-repellent soil. Geoderma 2018, 322, 28–37. [Google Scholar] [CrossRef] [Green Version]
- Rodrigo-Comino, J.; Martinez-Hernandez, C.; Iserloh, T.; Cerda, A. Contrasted impact of land abandonment on soil erosion in Mediterranean agriculture fields. Pedosphere 2018, 28, 617–631. [Google Scholar] [CrossRef] [Green Version]
- Liang, Y.; Jiao, J.Y.; Tang, B.Z.; Cao, B.T.; Li, H. Response of runoff and soil erosion to erosive rainstorm events and vegetation restoration on abandoned slope farmland in the Loess Plateau region, China. J. Hydrol. 2020, 584, 124694. [Google Scholar] [CrossRef]
- Zhang, J.L.; Zhou, L.L.; Ma, R.M.; Jia, Y.F.; Yang, F.; Zhou, H.Y.; Cao, X.Y. Influence of soil moisture content and soil and water conservation measures on time to runoff initiation under different rainfall intensities. Catena 2019, 182, 104172. [Google Scholar] [CrossRef]
- Lichner, L.; Felde, V.J.M.N.L.; Büdel, B.; Leue, M.; Gerke, H.H.; Ehlerbrock, R.H.; Kollár, J.; Rodný, M.; Šurda, P.; Fodor, N.; et al. Effect of vegetation and its succession on water repellency in sandy soils. Ecohydrology 2018, 11, e1991. [Google Scholar] [CrossRef]
- Csecserits, A.; Rédei, T. Secondary succession on sandy old-fields in Hungary. Appl. Veg. Sci. 2001, 4, 63–74. [Google Scholar] [CrossRef]
- Kottek, M.; Grieser, J.; Beck, C.; Rudolf, B.; Rubel, F. World map of the Köppen-Geiger climate classification updated. Meteorol. Z. 2006, 15, 259–263. [Google Scholar] [CrossRef]
- FAO. World Reference Base for Soil Resources 2014. In World Soil Resources Reports; No. 106; FAO: Rome, Italy, 2014; p. 192. [Google Scholar]
- Ditzler, C.; Scheffe, K.; Monger, H.C. (Eds.) Soil Survey Manual. U.S. Department of Agriculture Handbook 18; Government Printing Office: Washington, DC, USA, 2017; p. 603. [Google Scholar]
- Marhold, K.; Hindák, F. (Eds.) Checklist of Non-Vascular and Vascular Plants of Slovakia; Veda: Bratislava, Slovakia, 1998; p. 687. (In Slovak) [Google Scholar]
- Decagon Devices Inc. Mini Disk Infiltrometer—User′s Manual, Version 10; Decagon Devices Inc.: Pullman, WA, USA, 2012. [Google Scholar]
- Clothier, B.E.; Vogeler, I.; Magesan, G.N. The breakdown of water repellency and solute transport through a hydrophobic soil. J. Hydrol. 2000, 231, 255–264. [Google Scholar] [CrossRef]
- Pekárová, P.; Pekár, J.; Lichner, L. A new method for estimating soil water repellency index. Biologia 2015, 70, 1450–1455. [Google Scholar] [CrossRef]
- Iovino, M.; Pekárová, P.; Hallett, P.D.; Pekár, J.; Lichner, Ľ.; Mataix-Solera, J.; Alagna, V.; Walsh, R.; Raffan, A.; Schacht, K.; et al. Extent and persistence of soil water repellency induced by pines in different geographic regions. J. Hydrol. Hydromech. 2018, 66, 360–368. [Google Scholar] [CrossRef] [Green Version]
- Tinebra, I.; Alagna, V.; Iovino, M.; Bagarello, V. Comparing different application procedures of the water drop penetration time test to assess soil water repellency in a fire affected Sicilian area. Catena 2019, 177, 41–48. [Google Scholar] [CrossRef]
- Dekker, L.W.; Ritsema, C.J.; Oostindie, K.; Moore, D.; Wesseling, J.A. Methods for determining soil water repellency on field-moist samples. Water Resour. Res. 2009, 45, W00D33. [Google Scholar] [CrossRef]
- Lichner, L.; Iovino, M.; Šurda, P.; Nagy, V.; Zvala, A.; Kollár, J.; Pecho, J.; Píš, V.; Sepehrnia, N.; Sándor, R. Impact of secondary succession in abandoned fields on some properties of acidic sandy soils. J. Hydrol. Hydromech. 2020, 68, 12–18. [Google Scholar] [CrossRef] [Green Version]
- Zhang, R. Determination of soil sorptivity and hydraulic conductivity from the disk infiltrometer. Soil Sci. Soc. Am. J. 1997, 61, 1024–1030. [Google Scholar] [CrossRef]
- Kamphorst, A. A small rainfall simulator for the determination of soil erodibility. Neth. J. Agric. Sci. 1987, 35, 407–415. [Google Scholar] [CrossRef]
- ISO 11277. Soil Quality. Determination of Particle Size Distribution in Mineral Soil Material. Method by Sieving and Sedimentation. International Organization of Standardization: Geneva, Switzerland, 2009. Available online: https://www.iso.org/standard/54151.html (accessed on 1 December 2021).
- ISO 10390. Soil Quality. Determination of pH. International Organization of Standardization: Geneva, Switzerland, 2005. Available online: https://www.iso.org/standard/40879.html (accessed on 1 December 2021).
- ISO 10694. Soil Quality. Determination of Organic and Total Carbon after Dry Combustion (Elementary Analysis). International Organization of Standardization: Geneva, Switzerland, 1995. Available online: https://www.iso.org/standard/18782.html (accessed on 1 December 2021).
- ISO 10693. Soil Quality. Determination of Carbonate Content. Volumetric Method. International Organization of Standardization: Geneva, Switzerland, 1995. Available online: https://www.iso.org/standard/18781.html (accessed on 1 December 2021).
- NCSS 12 Statistical Software; NCSS, LLC.: Kaysville, UT, USA, 2018. Available online: https://www.ncss.com/software/ncss/ (accessed on 10 October 2021).
- Wang, B.; Liu, G.B.; Xue, S.; Zhu, B.B. Changes in soil physico-chemical and microbiological properties during natural succession on abandoned farmland in the Loess Plateau. Environ. Earth Sci. 2011, 62, 915–925. [Google Scholar] [CrossRef]
- Kuntze, H.; Schwaar, J. Landeskulturelle Aspekte zur Boden- und Vegetationsentwicklung aufgelassenen Kulturlandes. (Cultivation aspects for soil and vegetation development on idle agricultural land). Z. Kult. Flurberein. 1972, 13, 131–136. (In German) [Google Scholar]
- Gispert, M.; Pardini, G.; Emran, M.; Doni, S.; Masciandaro, G. Seasonal evolution of soil organic matter, glomalin and enzymes and potential for C storage after land abandonment and renaturalization processes in soils of NE Spain. Catena 2018, 162, 402–413. [Google Scholar] [CrossRef]
- Kodešová, R.; Jirků, V.; Kodeš, V.; Mühlhanselová, M.; Nikodem, A.; Žigová, A. Soil structure and soil hydraulic properties of Haplic Luvisol used as arable land and grassland. Soil Tillage Res. 2011, 111, 154–161. [Google Scholar] [CrossRef]
- Davarzani, H.; Smits, K.; Tolene, R.M.; Illangasekare, T. Study of the effect of wind speed on evaporation from soil through integrated modeling of the atmospheric boundary layer and shallow subsurface. Water Resour. Res. 2014, 50, 661–680. [Google Scholar] [CrossRef] [Green Version]
- Moret-Fernández, D.; Latorre, B.; Giner, M.L.; Ramos, J.; Alados, C.L.; Castellano, C.; López, M.V.; Jimenez, J.J.; Pueyo, Y. Estimation of the soil hydraulic properties from the transient infiltration curve measured on soils affected by water repellency. Catena 2019, 178, 298–306. [Google Scholar] [CrossRef]
- Hewelke, E.; Gozdowski, D.; Korc, M.; Małuszyńska, I.; Górska, E.B.; Sas, W.; Mielnik, L. Influence of soil moisture on hydrophobicity and water sorptivity of sandy soil no longer under agricultural use. Catena 2022, 208, 105780. [Google Scholar] [CrossRef]
- Lichner, Ľ.; Holko, L.; Zhukova, N.; Schacht, K.; Rajkai, K.; Fodor, N.; Sándor, R. Plants and biological soil crust influence the hydrophysical parameters and water flow in an aeolian sandy soil. J. Hydrol. Hydromech. 2012, 60, 309–318. [Google Scholar] [CrossRef] [Green Version]
- Šurda, P.; Lichner, Ľ.; Kollár, J.; Zvala, A.; Igaz, D. Evaluation of soil properties in variously aged Scots pine plantations established on sandy soil. J. Hydrol. Hydromech. 2021, 69, 347–355. [Google Scholar] [CrossRef]
- Buczko, U.; Bens, O.; Hüttl, R.F. Variability of soil water repellency in sandy forest soils with different stand structure under Scots pine (Pinus sylvestris) and beech (Fagus sylvatica). Geoderma 2005, 126, 317–336. [Google Scholar] [CrossRef]
- Hlavčová, K.; Danáčová, M.; Kohnová, S.; Szolgay, J.; Valent, P.; Výleta, R. Estimating the effectiveness of crop management on reducing flood risk and sediment transport on hilly agricultural land—A Myjava case study, Slovakia. Catena 2019, 172, 678–690. [Google Scholar] [CrossRef]
- Yu, Y.; Wei, W.; Chen, L.D.; Feng, T.J.; Daryanto, S. Quantifying the effects of precipitation, vegetation, and land preparation. techniques on runoff and soil erosion in a Loess watershed of China. Sci. Total Environ. 2019, 652, 755–764. [Google Scholar] [CrossRef] [PubMed]
- Leitinger, G.; Tasser, E.; Newesely, C.; Obojes, N.; Tappeiner, U. Seasonal dynamics of surface runoff in mountain grassland ecosystems differing in land use. J. Hydrol. 2010, 385, 95–104. [Google Scholar] [CrossRef]
- Nunes, A.N.; Coelho, C.O.A.; de Almeida, A.C.; Figueiredo, A. Soil erosion and hydrological response to land abandonment in a central inland area of Portugal. Land Degrad. 2010, 21, 260–273. [Google Scholar] [CrossRef]
- Cerdà, A.; Ackermann, O.; Terol, E.; Rodrigo-Comino, J. Impact of farmland abandonment on water resources and soil conservation in citrus plantations in eastern Spain. Water 2019, 11, 824. [Google Scholar] [CrossRef] [Green Version]
- Bogunovic, I.; Telak, L.J.; Pereira, P.; Filipovic, V.; Filipovic, L.; Percin, A.; Durdevic, B.; Birkás, M.; Dekemati, I.; Comino, J.R. Land management impacts on soil properties and initial soil erosion processes in olives and vegetable crops. J. Hydrol. Hydromech. 2020, 68, 328–337. [Google Scholar] [CrossRef]





| Attribute | S1 | S2 | S3 |
|---|---|---|---|
| Sand (%) | 91.936 ± 0.544 | 95.377 ± 0.140 | 94.503 ± 0.030 |
| Silt (%) | 2.407 ± 0.427 | 1.568 ± 0.064 | 1.525 ± 0.051 |
| Clay (%) | 5.657 ± 0.117 | 3.055 ± 0.076 | 3.972 ± 0.021 |
| CaCO3 (%) | <0.05 | <0.05 | <0.05 |
| SOC (%) | 0.66 a ± 0.01 | 1.30 c ± 0.02 | 1.12 b ± 0.01 |
| pH(H2O) | 6.11 a ± 0.01 | 5.90 b ± 0.01 | 5.21 c ± 0.01 |
| pH(KCl) | 5.63 a ± 0.01 | 5.07 b ± 0.01 | 4.12 c ± 0.01 |
| Site | Attribute | Minimum | Maximum | Median | Mean | SD | N |
|---|---|---|---|---|---|---|---|
| S1 | w (% vol.) | 0 | 2.8 | 0.8 | 0.83 a | 0.77 | 33 |
| k (mm s−1) | 0.046 | 0.221 | 0.097 | 0.104 a | 0.056 | 8 | |
| Sw (mm s−1/2) | 1.030 | 2.351 | 1.463 | 1.487 a | 0.404 | 8 | |
| Se (mm s−1/2) | 2.441 | 2.727 | 2.585 | 2.584 a | 0.143 | 3 | |
| WDPT (s) | 1 | 8 | 3 | 3.2 a | 1.9 | 33 | |
| RI (−) | 2.025 | 5.163 | 3.454 | 3.583 a | 0.837 | 24 | |
| Cr (−) | 0 | 0 | 0 | 0 a | 0 | 9 | |
| T (s) | n.d. | n.d. | n.d. | n.d. | n.d. | 0 | |
| S2 | w (% vol.) | 0 | 0 | 0 | 0 b | 0 | 33 |
| k (mm s−1) | 0.00001 | 0.004 | 0.001 | 0.001 b | 0.001 | 8 | |
| Sw (mm s−1/2) | 0.007 | 0.018 | 0.01 | 0.011 b | 0.003 | 8 | |
| Se (mm s−1/2) | 2.055 | 2.119 | 2.109 | 2.094 a | 0.034 | 3 | |
| WDPT (s) | 1156 | 6720 | 2024 | 2625 c | 1341 | 33 | |
| RI (−) | 222.6 | 590.3 | 406.0 | 416.3 c | 114.2 | 24 | |
| Cr (−) | 0.01 | 0.72 | 0.08 | 0.236 b | 0.285 | 9 | |
| T (s) | 30 | 525 | 67 | 144 a | 165 | 9 | |
| S3 | w (% vol.) | 0 | 0.8 | 0 | 0.06 b | 0.18 | 33 |
| k (mm s−1) | 0.00003 | 0.006 | 0.001 | 0.002 b | 0.003 | 8 | |
| Sw (mm s−1/2) | 0.013 | 0.032 | 0.02 | 0.020 b | 0.006 | 8 | |
| Se (mm s−1/2) | 1.424 | 1.928 | 1.898 | 1.750 a | 0.283 | 3 | |
| WDPT (s) | 40 | 3975 | 710 | 1083 b | 1053 | 33 | |
| RI (−) | 86.8 | 289.2 | 177.6 | 182.6 b | 55.5 | 24 | |
| Cr (−) | 0.01 | 0.30 | 0.12 | 0.138 a,b | 0.111 | 9 | |
| T (s) | 57 | 478 | 80 | 154 a | 138 | 9 |
| Site | Attribute | Minimum | Maximum | Median | Mean | SD | N |
|---|---|---|---|---|---|---|---|
| S1 | ir (mm min−1) | 1.68 | 1.87 | 1.79 | 1.78 a | 0.069 | 9 |
| Hr (mm) | 25.2 | 28.1 | 26.9 | 26.67 a | 1.05 | 9 | |
| w (% vol) | 1.5 | 3.1 | 2.3 | 2.4 a | 0.49 | 9 | |
| slope (°) | 15 | 16 | 16 | 15.67 a | 0.58 | 3 | |
| S2 | ir (mm min−1) | 1.55 | 1.78 | 1.74 | 1.7 a | 0.076 | 9 |
| Hr (mm) | 23.2 | 26.72 | 26.08 | 25.60 a | 1.14 | 9 | |
| w (% vol) | 1.1 | 2.5 | 1.6 | 1.7 a | 0.45 | 9 | |
| slope (°) | 12 | 16 | 16 | 14.67 a | 2.31 | 3 | |
| S3 | ir (mm min−1) | 1.70 | 1.92 | 1.77 | 1.79 a | 0.085 | 9 |
| Hr (mm) | 25.44 | 28.8 | 26.60 | 26.79 a | 1.28 | 9 | |
| w (% vol) | 0.1 | 4.2 | 2.5 | 2.2 a | 1.42 | 9 | |
| slope (°) | 12 | 14 | 13 | 13.00 a | 1.00 | 3 |
Publisher’s Note: MDPI stays neutral with regard to jurisdictional claims in published maps and institutional affiliations. |
© 2022 by the authors. Licensee MDPI, Basel, Switzerland. This article is an open access article distributed under the terms and conditions of the Creative Commons Attribution (CC BY) license (https://creativecommons.org/licenses/by/4.0/).
Share and Cite
Toková, L.; Hološ, S.; Šurda, P.; Kollár, J.; Lichner, Ľ. Impact of Duration of Land Abandonment on Infiltration and Surface Runoff in Acidic Sandy Soil. Agriculture 2022, 12, 168. https://doi.org/10.3390/agriculture12020168
Toková L, Hološ S, Šurda P, Kollár J, Lichner Ľ. Impact of Duration of Land Abandonment on Infiltration and Surface Runoff in Acidic Sandy Soil. Agriculture. 2022; 12(2):168. https://doi.org/10.3390/agriculture12020168
Chicago/Turabian StyleToková, Lucia, Slavomír Hološ, Peter Šurda, Jozef Kollár, and Ľubomír Lichner. 2022. "Impact of Duration of Land Abandonment on Infiltration and Surface Runoff in Acidic Sandy Soil" Agriculture 12, no. 2: 168. https://doi.org/10.3390/agriculture12020168
APA StyleToková, L., Hološ, S., Šurda, P., Kollár, J., & Lichner, Ľ. (2022). Impact of Duration of Land Abandonment on Infiltration and Surface Runoff in Acidic Sandy Soil. Agriculture, 12(2), 168. https://doi.org/10.3390/agriculture12020168

