Effects of Nitrogen Fertilizer Management on Stalk Lodging Resistance Traits in Summer Maize
Abstract
:1. Introduction
2. Materials and Methods
2.1. Experimental Station
2.2. Experimental Design
2.3. Measurements and Methods
2.3.1. Stalk Breaking Force
2.3.2. Plant Morphology
2.3.3. Rind Penetration Strength of Internodes
2.3.4. Carbohydrate and Total N Content of Internodes
2.3.5. Leaf Area Index
2.3.6. Plant Dry Weight
2.3.7. Grain Yield
2.4. Data Analysis
3. Results and Analysis
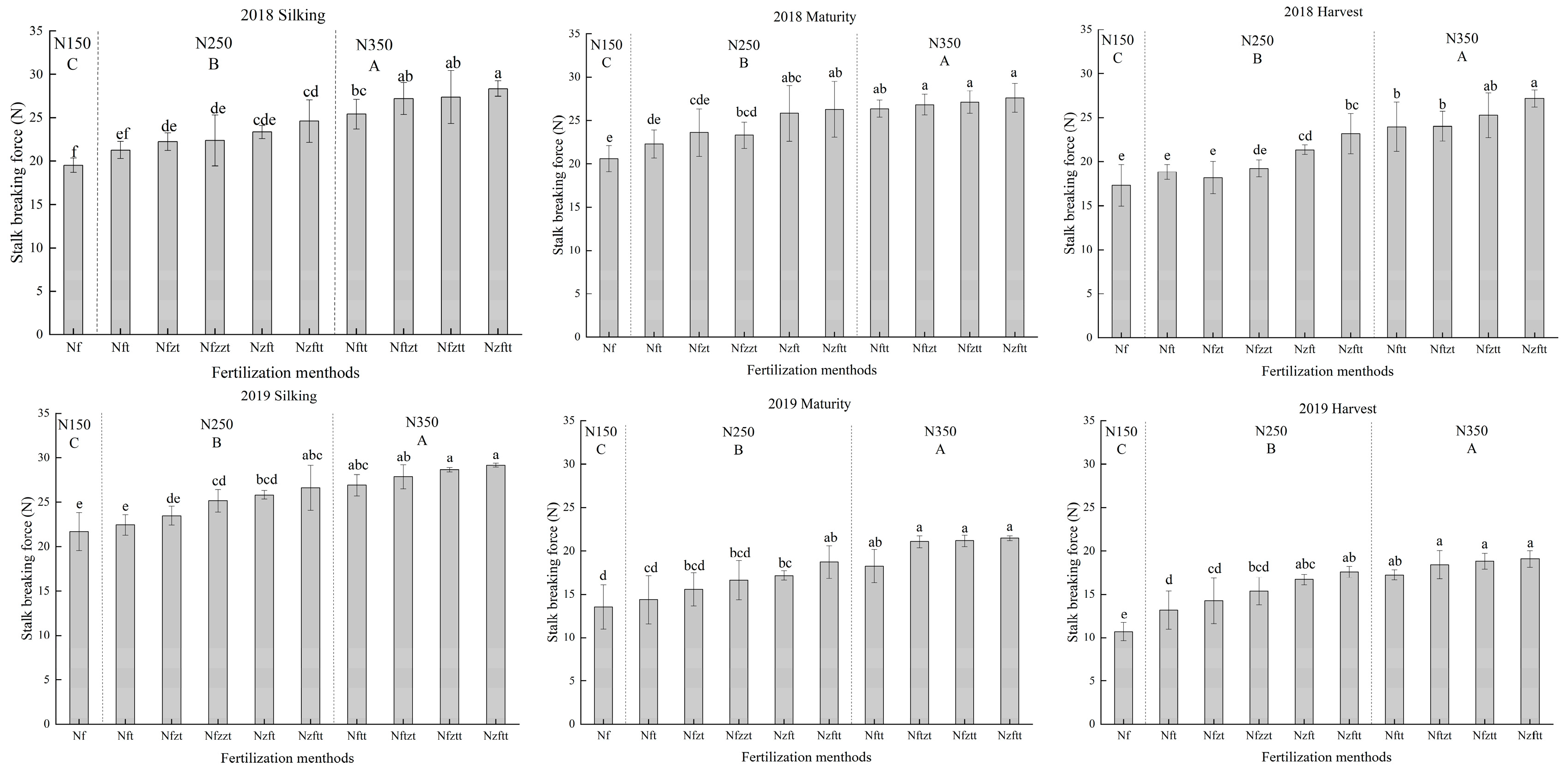
3.1. Stalk Breaking Resistance
3.2. Plant Morphology
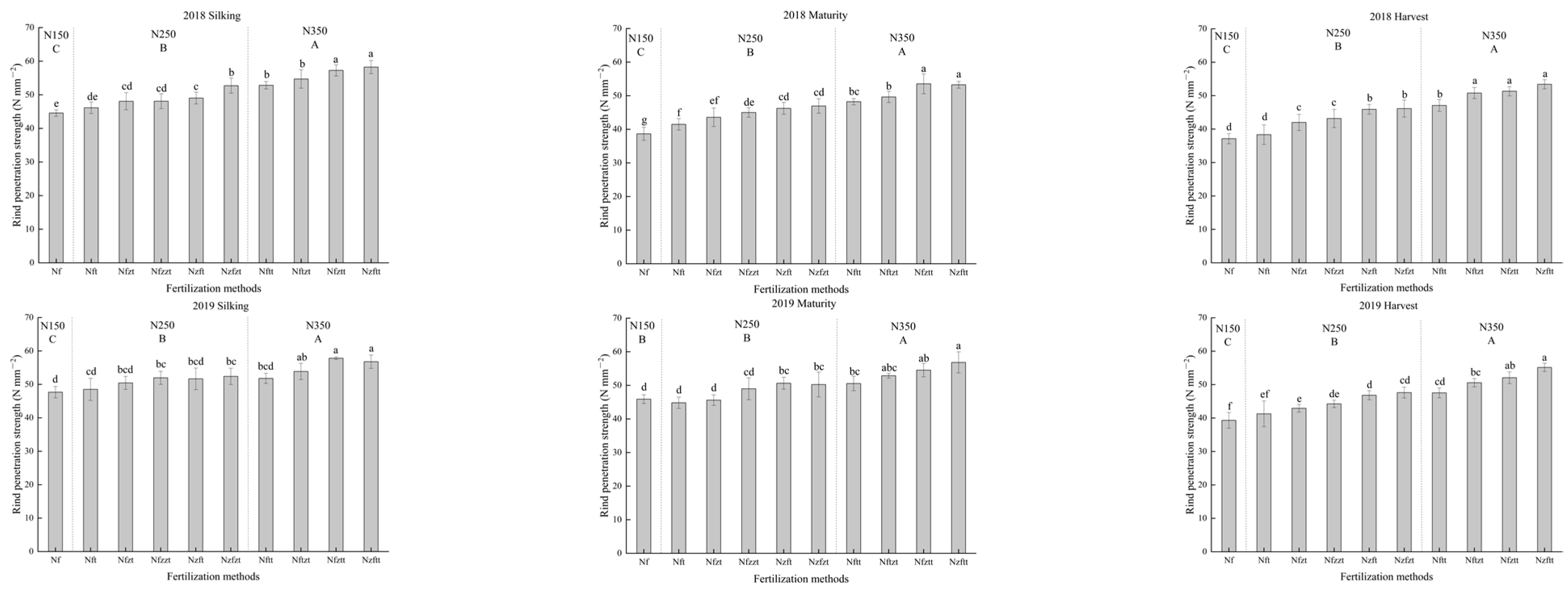
3.3. Rind Penetration Strength of the Basal Internode
3.4. DWUL and Carbohydrates in the Basal Internode
3.5. Total N Content of the Basal Internode
3.6. Correlation Analysis of the Lodging Resistance Index
3.7. Grain Yield
3.8. Dry Matter and Leaf Area Index
4. Discussion
5. Conclusions
Author Contributions
Funding
Informed Consent Statement
Data Availability Statement
Acknowledgments
Conflicts of Interest
References
- Li, S.K.; Zhao, J.R.; Dong, S.T.; Zhao, M.; Li, C.H.; Cui, Y.H.; Liu, Y.H.; Gao, J.L.; Xue, J.Q.; Wang, L.C.; et al. Advances and Prospects of Maize Cultivation in China. Sci. Agric. Sin. 2017, 50, 1941–1959. [Google Scholar]
- Erisman, J.W.; Sutton, M.A.; Galloway, J.; Klimont, Z.; Winiwarter, W. How a century of ammonia synthesis changes the world. Nat. Geosci. 2008, 1, 636–639. [Google Scholar] [CrossRef]
- Ciampitti, I.A.; Vyn, T.J. A comprehensive study of plant density consequences on nitrogen uptake dynamics of maize plants from vegetative to reproductive stage. Field Crops Res. 2011, 121, 2–18. [Google Scholar] [CrossRef]
- Afreh, D.; Zhang, J.; Guan, D.H.; Liu, K.L.; Song, Z.W.; Zheng, C.Y.; Deng, A.X.; Feng, X.M.; Zhang, X.; Wu, Y. Long-term fertilization on nitrogen use efficiency and greenhouse gas emissions in a double maize cropping system in subtropical China. Soil Tillage Res. 2018, 180, 259–267. [Google Scholar] [CrossRef]
- Zhang, G.Q.; Shen, D.P.; Xie, R.Z.; Ming, B.; Hou, P.; Xue, J.; Li, R.F.; Chen, J.L.; Wang, K.R.; Li, S.K. Optimizing planting density to improve nitrogen use of super high-yield maize. Agron. J. 2020, 112, 4147–4158. [Google Scholar] [CrossRef]
- Wang, Q.Y.; Hu, C.H.; Dong, S.T.; Gao, R.Z. Study on the changes of leaf age, chloroplast ultrastructure and photosynthetic performance in Maize. J. Maize Sci. 1992, 00, 36–39. [Google Scholar] [CrossRef]
- Liu, G.J.; Kong, J.X.; Su, S.B. Study progress on maize nitrogen metabolism. J. Maize Sci. 2009, 17, 135–138. [Google Scholar]
- Kim, S.-H.; Sicher, R.C.; Bae, H.; Gitz, D.C.; Baker, J.T.; Timlin, D.J.; Reddy, V.R. Canopy photosynthesis, evapotranspiration, leaf nitrogen, and transcription profiles of maize in response to CO2 enrichment. Glob. Change Biol. 2006, 12, 588–600. [Google Scholar] [CrossRef]
- Wang, Y.L.; Li, C.H.; He, P.; Jin, J.Y.; Han, Y.L.; Zhang, X.; Tan, J.F. Nutrient restrictive factors and accumulation of super-high-yield summer maize. Plant Nutr. Fert. Sci. 2010, 16, 559–566. [Google Scholar]
- Wang, Y.L.; Li, C.H.; Tan, J.F.; Zhang, X.; Liu, T.X. Effect of postponing N application on yield, nitrogen absorpation and utilization in super-high-yield summer maize. Acta Agron. Sin. 2011, 37, 339–347. [Google Scholar] [CrossRef]
- Hou, Y.P.; Yang, J.; Yin, C.X.; Qin, Y.B.; Li, Q.; Yu, L.; Kong, L.L.; Liu, Z.Q. Effect of postponing nitrogen application on the yield, nitrogen absorption and utilization and soil nitrogen supply in spring maize. J. Maize Sci. 2019, 27, 146–154. [Google Scholar]
- Gao, X.X.; Zhang, H.F.; Ma, W.Q.; Wei, J. Effects of nitrogen application rates on yield and nitrogen utilization of summer maize. J. Maize Sci. 2014, 22, 121–126. [Google Scholar]
- Yang, D.G.; Niu, H.Y.; Zhang, H.X.; Wu, G.X. Effects of nitrogen stress and Non-stress on yield and quality traits of spring maize. J. Maize Sci. 2008, 4, 55–57. [Google Scholar]
- Tilman, D.; Cassman, K.G.; Matson, P.A.; Naylor, R.; Polasky, S. Agricultural sustainability and intensive production. Nature 2002, 418, 671–677. [Google Scholar] [CrossRef]
- Xue, J.; Xie, R.Z.; Zhang, W.F.; Wang, K.R.; Hou, P.; Ming, B.; Gou, L.; Li, S.K. Research progress on reduced lodging of high-yield and-density maize. J. Integr. Agric. 2017, 16, 2717–2725. [Google Scholar] [CrossRef]
- Bian, D.H.; Jia, G.P.; Cai, L.J.; Ma, Z.Y.; Eneji, A.E.; Yanhong, Y.H. Effects of tillage practices on root characteristics and root lodging resistance of maize. Field Crops Res. 2016, 185, 89–96. [Google Scholar] [CrossRef]
- Wang, Q.; Xue, J.; Chen, J.L.; Fan, Y.H.; Zhang, G.Q.; Xie, R.Z.; Ming, B.; Hou, P.; Wang, K.R.; Li, S.K. Key indicators affecting maize stalk lodging resistance of different growth periods under different sowing dates. J. Integr. Agric. 2020, 19, 2419–2428. [Google Scholar] [CrossRef]
- Pellerin, S.; Trendel, R.; Duparque, A. Relationship between morphological characteristics and lodging susceptibility of maize (Zea mays L.). Biotechnol. Agron. Soc. 1990, 10, 439–446. [Google Scholar]
- Li, S.Y.; Ma, W.; Peng, J.Y.; Chen, Z.M. Study on yield loss of summer maize due to lodging at the big flare stage and grain filling stage. Sci. Agric. Sin. 2015, 48, 3952–3964. [Google Scholar]
- Brune, P.F.; Baumgarten, A.; McKay, S.J.; Technow, F.; Podhiny, J.J. A biomechanical model for maize root lodging. Plant Soil 2018, 422, 397–408. [Google Scholar] [CrossRef]
- Robertson, D.J.; Julias, M.; Lee, S.Y.; Cook, D.D. Maize stalk lodging: Morphological determinants of stalk strength. Crop Sci. 2017, 57, 926–934. [Google Scholar] [CrossRef] [Green Version]
- Bian, D.H.; Liu, M.Z.; Niu, H.F.; Wei, Z.B.; Du, X.; Cui, Y.H. Effects of nitrogen application times on stem traits and lodging of summer maize (Zea mays L.) in the Huang-Huai-Hai Plain. Sci. Agric. Sin. 2017, 50, 2294–2304. [Google Scholar]
- Liu, M.; Qi, H.; Zhang, W.J.; Zhang, Z.P.; Li, X.F.; Song, Z.W.; Yu, J.L.; Wu, Y.N. Effects of deep loosening and nitrogen application on anatomical structures of stalk and lodging in maize. J. Maize Sci. 2013, 21, 57–63. [Google Scholar]
- Shi, D.Y.; Li, Y.H.; Zhang, J.W.; Liu, P.; Zhao, B.; Dong, S.T. Effects of plant density and nitrogen rate on lodging-related stalk traits of summer maize. Plant Soil Environ. 2016, 62, 299–306. [Google Scholar]
- Zhao, S.C.; Pei, X.X.; He, P.; Zhang, X.Z.; Li, K.J.; Zhou, W.; Liang, G.Q.; Jin, J.Y. Effects of reducing and postponing nitrogen application on soil N supply, plant N uptake and utilization of summer maize. Plant Nutr. Fert. Sci. 2010, 16, 492–497. [Google Scholar]
- Wang, K.R.; Li, L.L.; Gao, S.; Wang, Y.Z.; Huang, Z.F.; Xie, R.Z.; Ming, B.; Hou, P.; Xue, J.; Zhang, G.Q.; et al. Analysis of main quality index of corn harvesting with combine in China. Acta Agron. Sin. 2021, 47, 2440–2449. [Google Scholar]
- Xue, J.; Wang, K.R.; Xie, R.Z.; Gou, L.; Zhang, W.F.; Ming, B.; Hou, P.; Li, S.K. Research progress of maize lodging during late stage. Sci. Agric. Sin. 2018, 51, 1845–1854. [Google Scholar]
- Xue, J.; Wang, Q.; Li, L.L.; Zhang, W.X.; Xie, R.Z.; Wang, K.R.; Ming, B.; Hou, P.; Li, S.K. Changes of maize lodging after physiological maturity and its influencing factors. Acta. Agron. Sin. 2018, 44, 1782–1792. [Google Scholar] [CrossRef]
- Wei, F.Z.; Li, J.C.; Wang, C.Y.; Qu, H.J.; Shen, X.S. Effects of nitrogenous fertilizer application model on culm lodging resistance in winter wheat. Acta Agron. Sin. 2008, 34, 1080–1085. [Google Scholar] [CrossRef]
- Yang, S.M.; Xie, L.; Zheng, S.L.; Li, J.; Yuan, J.C. Effects of nitrogen rate and transplanting density on physical and chemical characteristics and Lodging resistance of culms in hybrid rice. Acta Agron. Sin. 2009, 35, 93–103. [Google Scholar] [CrossRef]
- Liu, H.T.; Li, R.Q.; Wang, H.G.; Li, D.X.; Li, H.R. Effect of planting density and nitrogen fertilization rate on lodging resistance and grain yield of strong gluten wheat Gaoyou 2018. J. Triticeae Crops 2017, 37, 1619–1626. [Google Scholar]
- Gou, L.; Huang, J.J.; Zhang, B.; Li, T.; Sun, R.; Zhao, M. Effects of population density on stalk lodging resistant mechanism and agronomic characteristics of maize. Acta. Agron. Sin. 2007, 10, 1688–1695. [Google Scholar]
- Zheng, X.G.; Xin, R.Z. Determination of nitrogen content of fertilizer by automatic Kjeldahl apparatus. Chem. Anal. Meterage 2014, 23, 41–43. [Google Scholar]
- Zhou, D.W.; Chen, J.; She, J.K.; Tong, J.; Chen, Y.X. Temporal dynamics of shearing force of rice stem. Biomass Bioenerg. 2012, 47, 109–114. [Google Scholar] [CrossRef]
- Zhang, G.Q.; Ming, B.; Shen, D.P.; Xie, R.Z.; Hou, P.; Xue, J.; Wang, K.R.; Li, S.K. Optimizing grain yield and water use efficiency based on the relationship between leaf area index and evapotranspiration. Agric. J. 2021, 11, 313. [Google Scholar] [CrossRef]
- Xue, J.; Gao, S.; Fan, Y.H.; Li, L.L.; Ming, B.; Wang, K.R.; Xie, R.Z.; Hou, P.; Li, S.K. Traits of plant morphology, stalk mechanical strength, and the biomass accumulation in the selection of lodging-resistant maize cultivars. Eur. J. Agron. 2020, 117, 126073. [Google Scholar] [CrossRef]
- Feng, G.; Huang, C.L.; Xing, J.F. The research progress in lodging resistance of maize. Crops 2008, 04, 12–14. [Google Scholar]
- Xue, J.; Zhao, Y.S.; Gou, L.; Shi, Z.G.; Yao, M.N.; Zhang, W.F. How high plant density of maize affects basal internode development and strength formation. Crop Sci. 2016, 56, 3295–3306. [Google Scholar] [CrossRef]
- Wen, X.C.; Wang, X.C.; Deng, X.Y.; Zhang, Q.; Pu, T.; Liu, G.D.; Yang, W.Y. Effects of nitrogen management on yield and dry matter accumulation and translocation of maize in maize-soybean relay-cropping system. Acta Agron. Sin. 2015, 41, 448–457. [Google Scholar] [CrossRef]
- Appenzeller, L.; Doblin, M.; Barreiro, R.; Wang, H.; Niu, X.; Kollipara, K.; Carrigan, L.; Tomes, D.; Chapman, M.; Dhugga, K.S. Cellulose synthesis in maize: Isolation and expression analysis of the cellulose synthase (CesA) gene family. Cellulose 2004, 11, 287–299. [Google Scholar] [CrossRef]
- Wang, T.J.; Zhang, L.; Han, Q.; Zheng, F.X.; Wang, T.Q.; Feng, N.N.; Wang, T.X. Effects of stalk cell wall and tissue on the compressive strength of maize. Plant Sci. J. 2015, 33, 109–115. [Google Scholar]
- Xue, J.; Gao, S.; Hou, L.Y.; Li, L.L.; Ming, B.; Xie, R.Z.; Wang, K.R.; Hou, P.; Li, S.K. Physiological influence of stalk rot on maize loading after physiological maturity. Agron. J. 2021, 11, 2271. [Google Scholar]
- Guo, J.L.; Zhang, Z.M.; Li, B.H. Study on nutrient absorption characteristics of different high-yield summer maize varieties. J. Maize Sci. 1997, 04, 50–52+59. [Google Scholar]
- Jin, L.B.; Cui, H.Y.; Li, B.; Yang, J.S.; Dong, S.T.; Zhao, B.; Liu, P.; Zhang, J.W. Effects of integrated agronomic practices on nitrogen efficiency and soil nitrate nitrogen of summer maize. Acta Agron. Sin. 2013, 39, 2009–2015. [Google Scholar] [CrossRef]
- Liu, J.; Ning, D.F.; Qin, A.Z.; Sun, B.; Liu, Z.D.; Xiao, J.F.; Ding, P.F.; Zang, H.T.; Zhang, J.Y. Impacts of reducing and delaying nitrogen application on yield and water and nitrogen use efficiency of summer maize under sprinkler fertigation. J. Irrig. Drain. 2020, 39, 42–49. [Google Scholar]









| Month | Precipitation (mm) | Sunshine Hours (h) | Average Temperature (°C) | |||
|---|---|---|---|---|---|---|
| 2018 | 2019 | 2018 | 2019 | 2018 | 2019 | |
| June | 122.9 | 38.2 | 319.5 | 311 | 27.2 | 27.8 |
| July | 152.3 | 8.3 | 319 | 326.5 | 28.9 | 28.7 |
| August | 3.8 | 54.3 | 304 | 295 | 28 | 26.1 |
| September | 92.3 | 34.3 | 244 | 248.5 | 21.5 | 21.6 |
| October | 1.4 | 40.8 | 261.5 | 222 | 16.2 | 16.3 |
| Nitrogen Application Rate (kg ha−1) | Fertilization Methods | Nitrogen Application Period and Amount (kg ha−1) | |||
|---|---|---|---|---|---|
| Sowing | 6-Leaf (V6) | 12-Leaf (V12) | Silking (R1) | ||
| 150 | Nf | 150 | 0 | 0 | 0 |
| 250 | Nft | 150 | 100 | 0 | 0 |
| Nfzt | 150 | 0 | 100 | 0 | |
| Nfzzt | 150 | 0 | 0 | 100 | |
| Nzft | 0 | 150 | 100 | 0 | |
| Nzfzt | 0 | 150 | 0 | 100 | |
| 350 | Nftt | 150 | 100 | 100 | 0 |
| Nftzt | 150 | 100 | 0 | 100 | |
| Nfztt | 150 | 0 | 100 | 100 | |
| Nzftt | 0 | 150 | 100 | 100 | |
| Year | Nitrogen Application Rate | Fertilization Methods | Plant Height | Ear Height | Ear Ratio | Center of Gravity Height (cm) | Gravity Ratio | Third Internode Diameter (mm) |
|---|---|---|---|---|---|---|---|---|
| (cm) | (cm) | (%) | ||||||
| 2018 | N150 | Nf | 266 f | 93.8 f | 35.3 cd | 84.0 d | 31.6 a | 18.5 d |
| N250 | Nft | 271.2 e | 94.4 f | 34.8 d | 85.8 cd | 31.6 a | 18.7 d | |
| Nfzt | 272 e | 95.5 ef | 35.1 d | 87.0 bcd | 32.0 a | 19.2 cb | ||
| Nfzzt | 27de | 96.2 ef | 35.3 cd | 88.0 abc | 32.3 a | 19.6 bcd | ||
| Nzft | 274 cde | 98.4 de | 35.9 cd | 88.5 abc | 32.3 a | 20.7 ab | ||
| Nzftt | 276.2 bcd | 100.6 cd | 36.4 bcd | 89.4 abc | 32.4 a | 19.9 abcd | ||
| N350 | Nftt | 276.8 abc | 100.4 cd | 36.3 bcd | 89.7 ab | 32.4 a | 20.9 ab | |
| Nftzt | 277.8 abc | 102.4 bc | 36.9 bc | 90.2 ab | 32.5 a | 20.1 abc | ||
| Nfztt | 278.6 ab | 105.6 b | 37.9 ab | 90.4 ab | 32.5 a | 20.5 abc | ||
| Nzftt | 280.6 a | 110.4 a | 39.3 a | 91.0 a | 32.4 a | 21.2 a | ||
| 2019 | N150 | Nf | 254.7 e | 87.3 e | 34.3 c | 82.2 e | 32.3 a | 15.8 e |
| N250 | Nft | 259.0 d | 88.0 e | 34.0 c | 86 de | 33.2 a | 16.1 de | |
| Nfzt | 261.7 d | 90.2 e | 34.5 bc | 86.3 cde | 33.0 a | 17.1 cd | ||
| Nfzzt | 266.5 c | 94.6 d | 35.5 abc | 89.3 bcd | 33.5 a | 17.5 abc | ||
| Nzft | 268.7 c | 96.8 cd | 36.0 ab | 89 abcd | 33.1 a | 18.4 ab | ||
| Nzftt | 268.3 c | 97.9 bcd | 36.5 a | 91.3 abcd | 34.0 a | 18.0 abc | ||
| N350 | Nftt | 270.0 bc | 98.1 bcd | 36.3 a | 91.5 abcd | 33.9 a | 18.6 a | |
| Nftzt | 273.3 ab | 100.3 abc | 36.7 a | 92.5 abc | 33.8 a | 18.0 abc | ||
| Nfztt | 276.5 a | 102.2 ab | 36.9 a | 95.2 ab | 34.4 a | 17.3 bc | ||
| Nzftt | 277.2 a | 102.7 a | 37.0 a | 95.5 a | 34.5 a | 18.4 ab | ||
| Year (Y) | ** | ** | * | ns | ** | ** | ||
| N rate (N) | ** | ** | ** | ** | ** | ** | ||
| Method (M) | ** | ** | ** | ns | ns | ** | ||
| Y×N | ** | ** | ** | ** | ** | ** | ||
| Y×M | ns | ns | ns | ns | ns | ns | ||
| N×M | ** | ** | ** | ** | ** | ** | ||
| Y×N×M | ** | ** | ** | ** | ** | ** |
| Stalk Breaking Force | |
|---|---|
| Plant height | 0.928 ** |
| Ear height | 0.901 ** |
| Ear coefficient | 0.823 ** |
| Diameter | 0.936 ** |
| Rind penetration strength | 0.624 ** |
| Dry weight per unit length | 0.927 ** |
| Cellulose content | 0.530 * |
| Lignin content | 0.621 ** |
| Total N content | 0.915 ** |
Publisher’s Note: MDPI stays neutral with regard to jurisdictional claims in published maps and institutional affiliations. |
© 2022 by the authors. Licensee MDPI, Basel, Switzerland. This article is an open access article distributed under the terms and conditions of the Creative Commons Attribution (CC BY) license (https://creativecommons.org/licenses/by/4.0/).
Share and Cite
Zhai, J.; Zhang, Y.; Zhang, G.; Tian, M.; Xie, R.; Ming, B.; Hou, P.; Wang, K.; Xue, J.; Li, S. Effects of Nitrogen Fertilizer Management on Stalk Lodging Resistance Traits in Summer Maize. Agriculture 2022, 12, 162. https://doi.org/10.3390/agriculture12020162
Zhai J, Zhang Y, Zhang G, Tian M, Xie R, Ming B, Hou P, Wang K, Xue J, Li S. Effects of Nitrogen Fertilizer Management on Stalk Lodging Resistance Traits in Summer Maize. Agriculture. 2022; 12(2):162. https://doi.org/10.3390/agriculture12020162
Chicago/Turabian StyleZhai, Juan, Yuanmeng Zhang, Guoqiang Zhang, Ming Tian, Ruizhi Xie, Bo Ming, Peng Hou, Keru Wang, Jun Xue, and Shaokun Li. 2022. "Effects of Nitrogen Fertilizer Management on Stalk Lodging Resistance Traits in Summer Maize" Agriculture 12, no. 2: 162. https://doi.org/10.3390/agriculture12020162
APA StyleZhai, J., Zhang, Y., Zhang, G., Tian, M., Xie, R., Ming, B., Hou, P., Wang, K., Xue, J., & Li, S. (2022). Effects of Nitrogen Fertilizer Management on Stalk Lodging Resistance Traits in Summer Maize. Agriculture, 12(2), 162. https://doi.org/10.3390/agriculture12020162

