Manure Application Timing and Incorporation Effects on Ammonia and Greenhouse Gas Emissions in Corn
Abstract
1. Introduction
2. Materials and Methods
Computation and Statistics
3. Results and Discussion
3.1. Weather
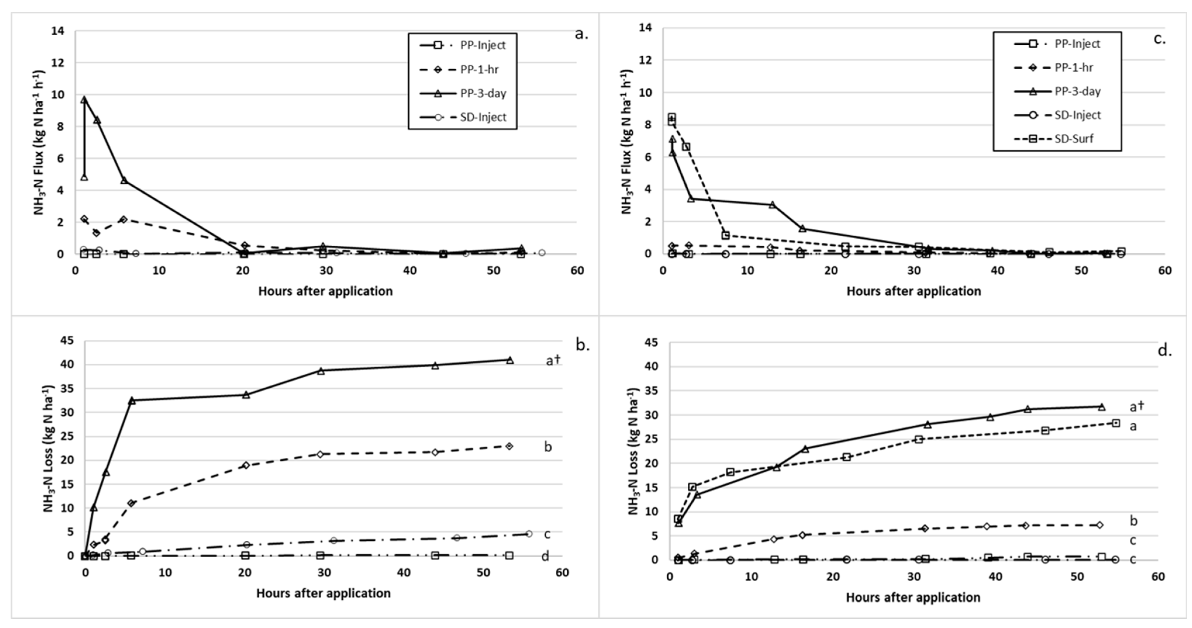
3.2. Ammonia Emission
3.3. Nitrous Oxide Emission
3.4. Carbon Dioxide and Methane Emissions
4. Conclusions
Author Contributions
Funding
Institutional Review Board Statement
Data Availability Statement
Acknowledgments
Conflicts of Interest
References
- Pinder, R.W.; Adams, P.J.; Pandis, S.N. Ammonia emission controls as a cost-effective strategy for reducing atmospheric particulate matter in the eastern United States. Environ. Sci. Technol. 2007, 41, 380–386. [Google Scholar] [CrossRef] [PubMed]
- Apsimon, H.M.; Kruse, M.; Bell, J.N.B. Ammonia emissions and their role in acid deposition. Atmos. Environ. 1987, 21, 1939–1946. [Google Scholar] [CrossRef]
- IPCC. Climate Change and Land: An IPCC Special Report on Climate Change, Desertification, Land Degradation, Sustainable Land Management, Food Security, and Greenhouse Gas Fluxes in Terrestrial Ecosystems. Shukla, P.R., Skea, J., Buendia, E.C., Masson-Delmotte, V., Pörtner, H.-O., Roberts, D.C., Zhai, P., Slade, R., Connors, S., van Diemen, R., Eds.; 2019. Available online: https://www.ipcc.ch/srccl/ (accessed on 20 May 2022).
- Thompson, R.B.; Meisinger, J.J. Management factors affecting ammonia volatilization from land-applied cattle slurry in the mid-Atlantic USA. J. Environ. Qual. 2002, 31, 1329–1338. [Google Scholar] [CrossRef] [PubMed]
- Dell, C.J.; Kleinman, P.J.A.; Schmidt, J.P.; DBBeegle, D.B. Low-disturbance manure incorporation effects on ammonia and nitrate loss. J. Environ. Qual. 2012, 41, 928–937. [Google Scholar] [CrossRef] [PubMed]
- Meisinger, J.J.; Jokela, W.E. Ammonia volatilization from dairy and poultry manure. In Managing Nutrients and Pathogens from Animal Agriculture, Proceedings of the Conference for Nutrient Management Consultants, Extension Educators, and Producer Advisors, Camp Hill, PA, USA, 28–30 March 2000; NRAES: Ithaca, NY, USA, 2000. [Google Scholar]
- Powell, J.M.; WEJokela, W.E.; Misselbrook, T.H. Dairy slurry application method impacts ammonia emission and nitrate leaching in no-till corn silage. J. Environ. Qual. 2011, 40, 383–392. [Google Scholar] [CrossRef]
- Sherman, J.; Young, E.O.; Jokela, W.E.; Cavadini, J. Impacts of low disturbance dairy manure incorporation on alfalfa yield and fluxes of ammonia, nitrous oxide, and methane. Agriculture 2021, 11, 750. [Google Scholar] [CrossRef]
- Sherman, J.F.; Young, E.O.; Jokela, W.E.; Cavadini, J. Impacts of low-disturbance dairy manure incorporation on ammonia and greenhouse gas fluxes in a corn-winter rye cover crop system. J. Environ. Qual. 2021, 50, 836–846. [Google Scholar] [CrossRef]
- Ball-Coelho, B.R.; Roy, R.C.; Bruin, A.J. Nitrogen recovery and partitioning with different rates and methods of sidedressed manure. Soil Sci. Soc. Am. J. 2006, 70, 464–473. [Google Scholar] [CrossRef]
- Jokela, W.E.; Bosworth, S.C.; Rankin, J.J. Sidedressed dairy manure effects on corn yield and residual soil nitrate. Soil Sci. 2014, 179, 37–41. [Google Scholar] [CrossRef]
- Chantigny, M.H.; Rochette, P.; Angers, D.A.; Bittman, S.; Buckley, K.; Masse, D.; Belanger, G.; Eriksen-Hamel, N.; Gasser, M.O. Soil nitrous oxide emissions following band-incorporation of fertilizer nitrogen and swine manure. J. Environ. Qual. 2010, 39, 1545–1553. [Google Scholar] [CrossRef]
- Duncan, E.W.; Dell, C.J.; Kleinman, P.J.; Beegle, D.B. Nitrous oxide and ammonia emissions from injected and broadcast-applied dairy slurry. J. Environ. Qual. 2017, 46, 36–44. [Google Scholar] [CrossRef]
- Flessa, H.; Beese, F. Laboratory estimates of trace gas emissions following surface application and injection of cattle slurry. J. Environ. Qual. 2000, 29, 262–268. [Google Scholar] [CrossRef]
- Rodhe, L.; Pell, M.; Yamulki, S. Nitrous oxide, methane and ammonia emissions following slurry spreading on grassland. Soil Use Manag. 2006, 22, 229–237. [Google Scholar] [CrossRef]
- Sistani, K.R.; Warren, J.G.; Lovanh, N.; Higgins, S.; Shearer, S. Greenhouse gas emissions from swine effluent applied to soil by different methods. Soil Sci. Soc. Am. J. 2010, 74, 429–435. [Google Scholar] [CrossRef]
- Rubaek, G.H.; Henriksen, K.; Petersen, J.; Rasmussen, B.; Sommer, S.G. Effects of application technique and anaerobic digestion on gaseous nitrogen loss from animal slurry applied to ryegrass (Lolium perenne). J. Agric. Sci. 1996, 126, 481–492. [Google Scholar] [CrossRef]
- Vallejo, A.; Garcia-Torres, L.; Diez, J.A.; Arce, A.; Lopez-Fernandez, S. Comparison of nitrogen losses (NO3-, N2O, NO) from surface applied, injected or amended pig slurry of an irrigated soil in a Mediterranean climate. Plant Soil 2005, 272, 313–325. [Google Scholar] [CrossRef]
- Pang, R.; Xu, X.; Tian, Y.; Cui, X.; Ouyang, X.; Kuzyakov, Y. In-situ 13CO2 labeling to trace carbon fluxes in plant-soil-microorganism systems: Review and methodological guideline. Rhizosphere 2021, 2, 100441. [Google Scholar] [CrossRef]
- Ashiq, W.; Nadeem, M.; Ali, W.; Zaeem, M.; Wu, J.; Galagedara, L.; Thomas, R.; Kavanagh, V.; Cheema, M. Biochar amendment mitigates greenhouse gases emission and global warming potential in dairy manure based silage corn in boreal climate. Environ. Pollut. 2020, 265, 114869. [Google Scholar] [CrossRef]
- Gong, H.; Li, J.; Liu, Z.; Zhang, Y.; Hou, R.; Ouyang, Z. Mitigated Greenhouse Gas Emissions in Cropping Systems by Organic Fertilizer and Tillage Management. Land 2022, 11, 1026. [Google Scholar] [CrossRef]
- Abbasi, N.A.; Hamrani, A.; Madramootoo, C.A.; Zhang, T.; Tan, C.S.; Goyal, M.K. Modelling carbon dioxide emissions under a maize-soy rotation using machine learning. Biosyst. Eng. 2021, 212, 1–18. [Google Scholar] [CrossRef]
- Crézé, C.M.; Madramootoo, C.A. Water table management and fertilizer application impacts on CO2, N2O and CH4 fluxes in a corn agro-ecosystem. Sci. Rep. 2019, 9, 1–13. [Google Scholar] [CrossRef] [PubMed]
- Halvorson, A.D.; Del Grosso, S.J.; Jantalia, C.P. Nitrogen source effects on soil nitrous oxide emissions from strip-till corn. J. Environ. Qual. 2011, 40, 1775–1786. [Google Scholar] [CrossRef]
- Webb, J.; Pain, B.; Bittman, S.; Morgan, J. The impacts of manure application methods on emissions of ammonia, nitrous oxide and on crop response-A review. Agric. Ecosyst. Environ. 2010, 137, 39–46. [Google Scholar] [CrossRef]
- Perala, P.; Kapuinen, P.; Esala, M.; Tyynela, S.; Regina, K. Influence of slurry and mineral fertiliser application techniques on N2O and CH4 fluxes from a barley field in southern Finland. Agric. Ecosyst. Environ. 2006, 117, 71–78. [Google Scholar] [CrossRef]
- Wulf, S.; Maeting, M.; Clemens, J. Application technique and slurry co-fermentation effects on ammonia, nitrous oxide, and methane emissions after spreading: I. Ammonia volatilization. J. Environ. Qual. 2002, 31, 1789–1794. [Google Scholar] [CrossRef]
- Svensson, L. A New Dynamic Chamber Technique for Measuring Ammonia Emissions from Land-Spread Manure and Fertilizers. Acta Agric. Scand. Sect. B-Soil Plant Sci. 1994, 44, 35–46. [Google Scholar] [CrossRef]
- Mattila, P.K.; Joki-Tokola, E. Effect of treatment and application technique of cattle slurry on its utilization by ley: I. Slurry properties and ammonia volatilization. Nutr. Cycl. Agroecosyst. 2003, 65, 221–230. [Google Scholar] [CrossRef]
- Misselbrook, T.H.; Hansen, M.N. Field evaluation of the equilibrium concentration technique (JTI method) for measuring ammonia emission from land spread manure or fertiliser. Atmos. Environ. 2001, 35, 3761–3768. [Google Scholar] [CrossRef]
- Myers, T.L.; Dell, C.J.; Beegle, D.B. Evaluation of ammonia emissions from manure incorporated with different soil aerator configurations. J. Soil Water Conserv. 2013, 68, 306–314. [Google Scholar] [CrossRef]
- Pfluke, P.D.; Jokela, W.E.; Bosworth, S.C. Ammonia volatilization from surface-banded and broadcast application of liquid dairy manure on grass forage. J. Environ. Qual. 2011, 40, 374–382. [Google Scholar] [CrossRef]
- Parkin, T.B.; Venterea, R.T. Chamber-based trace gas flux measurements. In Sampling Protocols; Follett, R.F., Ed.; USDA-ARS: Washington, DC, USA, 2010. Available online: www.ars.usda.gov/research/GRACEnet (accessed on 15 December 2010).
- Venterea, R.T. Simplified method for quantifying theoretical underestimation of chamber-based trace gas fluxes. J. Environ. Qual. 2010, 39, 126–135. [Google Scholar] [CrossRef] [PubMed]
- SAS Institute Inc. SAS 9.4 Guide to Software Updates; SAS Institute Inc.: Cary, NC, USA, 2013. [Google Scholar]
- Huijsmans, J.F.M.; Hol, J.M.G.; Vermeulen, G.D. Effect of application method, manure characteristics, weather and field conditions on ammonia volatilization from manure applied to arable land. Atmos. Environ. 2003, 37, 3669–3680. [Google Scholar] [CrossRef]
- Thompson, R.B.; Ryden, J.C.; Lockyer, D.R. Fate of nitrogen in cattle slurry following surface application or injection to grassland. J. Soil Sci. 1987, 38, 689–700. [Google Scholar] [CrossRef]
- Bittman, S.; van Vliet, L.J.P.; Kowalenko, C.G.; McGinn, S.; Hunt, D.E.; Bounaix, F. Surface-banding liquid manure over aeration slots: A new low-disturbance method for reducing ammonia emissions and improving yield of perennial grasses. J. Agron. 2005, 97, 1304–1313. [Google Scholar] [CrossRef]
- Malgeryd, J. Technical measures to reduce ammonia losses after spreading of animal manure. Nutr. Cycl. Agroecosyst. 1998, 51, 51–57. [Google Scholar] [CrossRef]
- Goodroad, L.L.; Keeney, D.R. Nitrous-oxide production in aerobic soils under varying pH, temperature and water-content. Soil Biol. Biochem. 1984, 16, 39–43. [Google Scholar] [CrossRef]
- Velthof, G.L.; Mosquera, J. The impact of slurry application technique on nitrous oxide emission from agricultural soils. Agric. Ecosyst. Environ. 2011, 140, 298–308. [Google Scholar] [CrossRef]
- Comfort, S.D.; Kelling, K.A.; Keeney, D.R.; Converse, J.C. The fate of nitrogen from injected liquid manure in a silt loam soil. J. Environ. Qual. 1988, 17, 317–322. [Google Scholar] [CrossRef]
- Velthof, G.L.; Kuikman, P.J.; Oenema, O. Nitrous oxide emission from animal manures applied to soil under controlled conditions. Biol. Fertil. Soils 2003, 37, 221–230. [Google Scholar] [CrossRef]






| Manure Nutrient Measures | Application Rate | |||||
|---|---|---|---|---|---|---|
| Date | Time | Solids | TN | NH4-N | TN | NH4-N |
| % | g L−1 | kg ha−1 | ||||
| 15-May-09 | Pre-Plant | 16.6 | 3.1 | 1.2 | 185 | 74 |
| 23-June-09 | Sidedress | 11.9 | 5.4 | 2.4 | 330 | 143 |
| 10-May-10 | Pre-Plant | 23.9 | 3 | 1.1 | 184 | 65 |
| 30-June-10 | Sidedress | 22.5 | 2.9 | 1.1 | 176 | 70 |
| 26-May-11 | Pre-Plant | 13.0 | 1.8 | 0.7 | 111 | 42 |
| 06-July-11 | Sidedress | 15.9 | 1.7 | 0.6 | 104 | 39 |
| Precipitation | Temperature | |||||||
|---|---|---|---|---|---|---|---|---|
| Month | 2009 | 2010 | 2011 | 30-Year Mean | 2009 | 2010 | 2011 | 30-Year Mean |
| mm | °C | |||||||
| April | - | 26 | 75 | 76 | - | 10.1 | 5.2 | 7.2 |
| May | 99 | 90 | 81 | 102 | 13.7 | 14.6 | 12.8 | 13.7 |
| June | 93 | 172 | 105 | 118 | 18.2 | 18.6 | 18.3 | 18.9 |
| July | 63 | 281 | 207 | 104 | 18.2 | 22.2 | 23.1 | 21.2 |
| August | 185 | 112 | 61 | 109 | 18.9 | 21.8 | 20.9 | 20.1 |
| September | 9 | 228 | 92 | 99 | 16.8 | 13.8 | 14.1 | 15.4 |
| October | 157 | 61 | 59 | 75 | 5.4 | 10.4 | 10.1 | 8.7 |
| May–October | 605 | 944 | 605 | 607 | 15.2 | 16.9 | 16.5 | 16.3 |
| Average Temperature | Average Wind Speed | Total Precipitation | |||||
|---|---|---|---|---|---|---|---|
| Date | Time | 3 Days | First Day | 3 Days | First Day | 3 Days | First Day |
| °C | m s−1 | mm | |||||
| 15-May-09 | Pre-Plant | 10.5 | 16.0 | 3.00 | 3.58 | 3.6 | 3.05 |
| 23-June-09 | Sidedress | 26.0 | 30.7 | 0.39 | 0.56 | 10.9 | 0.25 |
| 10-May-10 | Pre-Plant | 7.20 | 12.2 | 3.97 | 4.06 | 7.9 | 0.25 |
| 30-June-10 | Sidedress | 21.4 | 22.2 | 0.03 | 0.31 | 0.0 | 0.00 |
| 26-May-11 | Pre-Plant | 12.4 | 13.2 | 1.53 | 1.00 | 8.1 | 0.00 |
| 6-July-11 | Sidedress | 23.1 | 25.6 | 0.06 | 0.18 | 0.3 | 0.00 |
| Average | 2010 | 2011 | Average | |||
|---|---|---|---|---|---|---|
| Cumulative | Post-Plant | Pre-Sidedress | Post-Sidedress | Post-Sidedress | Summer/Fall | |
| kg N ha−1 | ||||||
| PP-Inject | 2.94 | 1.20 a † | 0.65 | 0.22 | 0.32 b | 0.39 |
| PP-1-hr | 1.85 | 0.69 b | 0.62 | 0.13 | 0.41 b | 0.38 |
| PP-3-day | 1.78 | 0.42 b | 0.67 | 0.17 | 0.22 b | 0.45 |
| SD-Inject | 3.15 | . | . | 0.31 | 3.7 a | 0.96 |
| SD-Surf | 1.91 | . | . | 0.45 | 0.7 b | 0.69 |
| p-value | NS | 0.01 | NS | NS | 0.01 | NS |
| PP | 2.19 | . | . | 0.17 b | 0.32 b | 0.40 |
| SD | 2.53 | . | . | 0.38 a | 2.20 a | 0.83 |
| p-value | NS | . | . | 0.04 | 0.003 | NS |
| Treatment × Year | NS | NS | NS | <0.0001 | NS | |
Publisher’s Note: MDPI stays neutral with regard to jurisdictional claims in published maps and institutional affiliations. |
© 2022 by the authors. Licensee MDPI, Basel, Switzerland. This article is an open access article distributed under the terms and conditions of the Creative Commons Attribution (CC BY) license (https://creativecommons.org/licenses/by/4.0/).
Share and Cite
Sherman, J.; Young, E.; Jokela, W.; Kieke, B. Manure Application Timing and Incorporation Effects on Ammonia and Greenhouse Gas Emissions in Corn. Agriculture 2022, 12, 1952. https://doi.org/10.3390/agriculture12111952
Sherman J, Young E, Jokela W, Kieke B. Manure Application Timing and Incorporation Effects on Ammonia and Greenhouse Gas Emissions in Corn. Agriculture. 2022; 12(11):1952. https://doi.org/10.3390/agriculture12111952
Chicago/Turabian StyleSherman, Jessica, Eric Young, William Jokela, and Burney Kieke. 2022. "Manure Application Timing and Incorporation Effects on Ammonia and Greenhouse Gas Emissions in Corn" Agriculture 12, no. 11: 1952. https://doi.org/10.3390/agriculture12111952
APA StyleSherman, J., Young, E., Jokela, W., & Kieke, B. (2022). Manure Application Timing and Incorporation Effects on Ammonia and Greenhouse Gas Emissions in Corn. Agriculture, 12(11), 1952. https://doi.org/10.3390/agriculture12111952

