Establishment of Potassium Reference Values Using Bayesian Models in Grapevines
Abstract
1. Introduction
2. Materials and Methods
2.1. Experimental Layout and Treatments
2.2. Leaf Collection and K Analysis
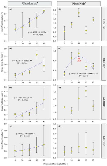
2.3. Grape Yield and Sampling
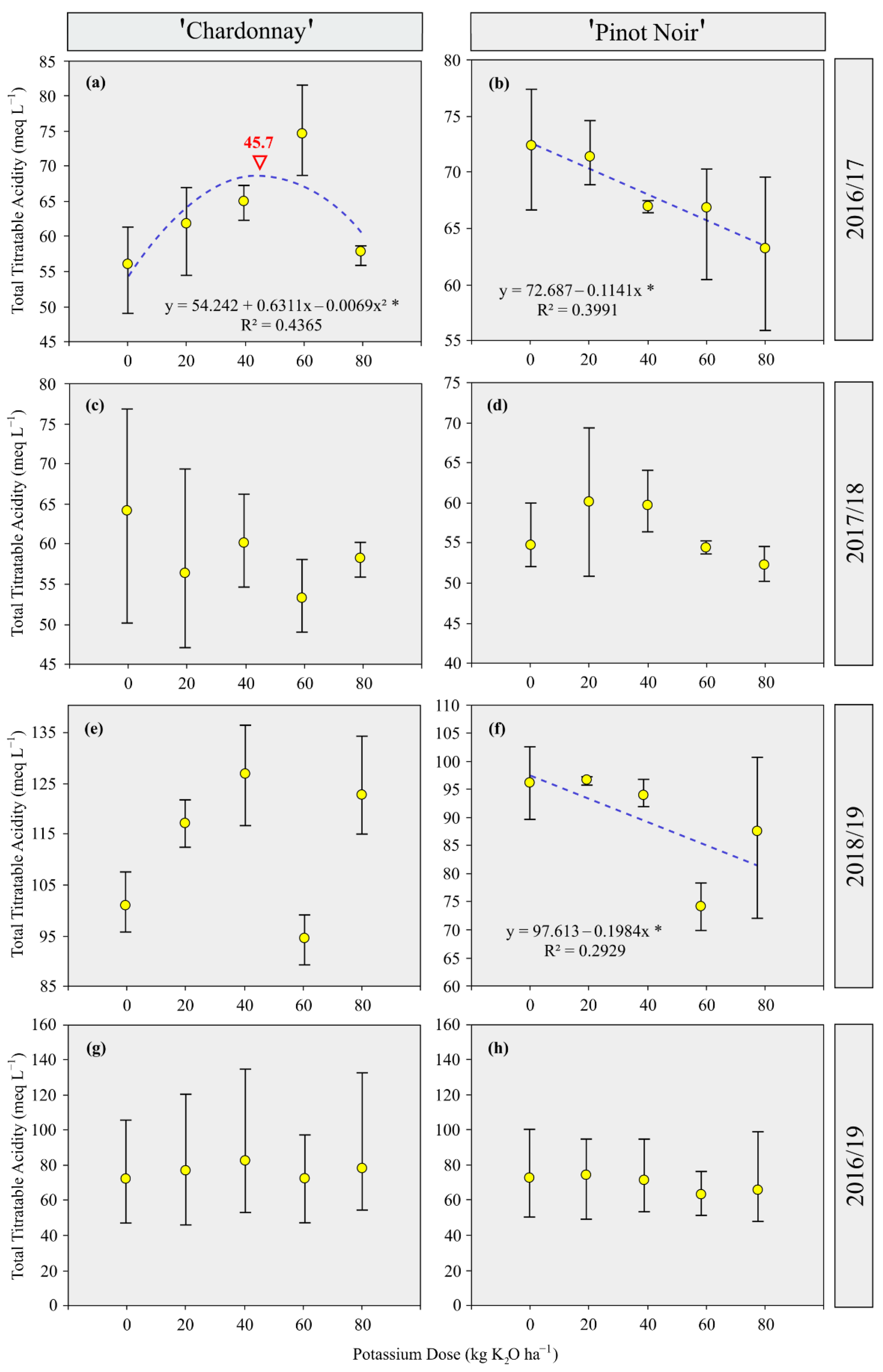
2.4. Must Chemical Analysis
2.5. Soil Collection and K Analysis
2.6. Statistical Analysis
3. Results
3.1. Components of Variance
3.2. K Critical Levels in Leaves
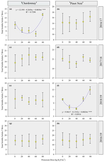
3.3. Relation between K Concentration in Leaves and Must Composition
3.4. K Critical Levels in Soil
3.5. Relationship between Soil K Content and Must Composition
3.6. Maximum Technical Efficiency (MTE) Dose
3.7. Maximum Technical Efficiency (MTE) in Relation to Must Composition
3.8. Principal Component Analysis
4. Discussion
5. Conclusions
Supplementary Materials
Author Contributions
Funding
Institutional Review Board Statement
Data Availability Statement
Acknowledgments
Conflicts of Interest
References
- Portela, E.; Monteiro, F.; Fonseca, M.; Abreu, M.M. Effect of Soil Mineralogy on Potassium Fixation in Soils Developed on Different Parent Material. Geoderma 2019, 343, 226–234. [Google Scholar] [CrossRef]
- Pushpavathi, Y.; Satisha, J.; Satisha, G.C.; Reddy, R.L. Influence of Potassium Fertilization on Yield, Petiole and Soil Nutrient Status of Table Grape Cv. Sharad Seedless. J. Plant Nutr. 2021, 45, 2218–2227. [Google Scholar] [CrossRef]
- Shabala, S.; Pottosin, I. Regulation of Potassium Transport in Plants under Hostile Conditions: Implications for Abiotic and Biotic Stress Tolerance. Physiol. Plant. 2014, 151, 257–279. [Google Scholar] [CrossRef] [PubMed]
- Ahmad, I.; Maathuis, F.J.M. Cellular and Tissue Distribution of Potassium: Physiological Relevance, Mechanisms and Regulation. J. Plant Physiol. 2014, 171, 708–714. [Google Scholar] [CrossRef]
- Callili, D.; da Silva, M.J.R.; Sánchez, C.A.P.C.; Basílio, L.S.P.; Macedo, B.M.D.P.; Teixeira, L.A.J.; Lima, G.P.P.; Tecchio, M.A. Rootstocks and Potassium Fertilization on Yield Performance and Quality of “Niagara Rosada” Grapevine under Subtropical Conditions. Aust. J. Crop Sci. 2022, 16, 293–300. [Google Scholar] [CrossRef]
- Coetzee, Z.A.; Walker, R.R.; Liao, S.; Barril, C.; Deloire, A.J.; Clarke, S.J.; Tyerman, S.D.; Rogiers, S.Y. Expression Patterns of Genes Encoding Sugar and Potassium Transport Proteins Are Simultaneously Upregulated or Downregulated When Carbon and Potassium Availability Is Modified in Shiraz (Vitis vinifera L.) Berries. Plant Cell Physiol. 2019, 60, 2331–2342. [Google Scholar] [CrossRef]
- Villette, J.; Cuéllar, T.; Verdeil, J.L.; Delrot, S.; Gaillard, I. Grapevine Potassium Nutrition and Fruit Quality in the Context of Climate Change. Front. Plant Sci. 2020, 11, 123. [Google Scholar] [CrossRef]
- Monder, H.; Maillard, M.; Chérel, I.; Zimmermann, S.D.; Paris, N.; Cuéllar, T.; Gaillard, I. Adjustment of K+ Fluxes and Grapevine Defense in the Face of Climate Change. Int. J. Mol. Sci. 2021, 22, 10398. [Google Scholar] [CrossRef]
- Ciotta, M.N.; Ceretta, C.A.; da Silva, L.O.S.; Ferreira, P.A.A.; Sautter, C.K.; da Rosa Couto, R.; Brunetto, G. Grape Yield, and Must Compounds of “Cabernet Sauvignon” Grapevine in Sandy Soil with Potassium Contents Increasing. Ciência Rural 2016, 46, 1376–1383. [Google Scholar] [CrossRef]
- Brunetto, G.; Comin, J.J.; Schmitt, D.E.; Guardini, R.; Mezzari, C.P.; Oliveira, B.S.; de Moraes, M.P.; Gatiboni, L.C.; Lovato, P.E.; Ceretta, C.A. Changes in Soil Acidity and Organic Carbon in a Sandy Typic Hapludalf after Medium-Term Pig-Slurry and Deep-Litter Application. Rev. Bras. Ciência Solo 2012, 36, 1620–1628. [Google Scholar] [CrossRef]
- CQFS-RS/SC (Comissão de Química e Fertilidade do Solo—RS/SC). Manual de Calagem e Adubação Para Os Estados Do Rio Grande Do Sul e de Santa Catarina; Silva, L.S., Gatiboni, L.C., Ibanor, A., Souza, R.O., Eds.; Sociedade Brasileira de Ciência do Solo -Núcleo Regional Sul: Viçosa, Brazil, 2016; ISBN 9788566301809. [Google Scholar]
- Ling, W.; Sun, R.; Gao, X.; Xu, R.; Li, H. Low-Molecular-Weight Organic Acids Enhance Desorption of Polycyclic Aromatic Hydrocarbons from Soil. Eur. J. Soil Sci. 2015, 66, 339–347. [Google Scholar] [CrossRef]
- Sivaram, A.K.; Logeshwaran, P.; Lockington, R.; Naidu, R.; Megharaj, M. Low Molecular Weight Organic Acids Enhance the High Molecular Weight Polycyclic Aromatic Hydrocarbons Degradation by Bacteria. Chemosphere 2019, 222, 132–140. [Google Scholar] [CrossRef] [PubMed]
- Comas, L.H.; Bauerle, T.L.; Eissenstat, D.M. Biological and Environmental Factors Controlling Root Dynamics and Function: Effects of Root Ageing and Soil Moisture. Aust. J. Grape Wine Res. 2010, 16, 131–137. [Google Scholar] [CrossRef]
- Griffiths, M.; York, L.M. Targeting Root Ion Uptake Kinetics to Increase Plant Productivity and Nutrient Use Efficiency. Plant Physiol. 2020, 182, 1854–1868. [Google Scholar] [CrossRef] [PubMed]
- Lynch, J.P.; Strock, C.F.; Schneider, H.M.; Sidhu, J.S.; Ajmera, I.; Galindo-Castañeda, T.; Klein, S.P.; Hanlon, M.T. Root Anatomy and Soil Resource Capture. In Plant Soil; Springer International Publishing: Berlin/Heidelberg, Germany, 2021; Volume 466, pp. 21–63. [Google Scholar] [CrossRef]
- Kulmann, M.S.d.S.; Sete, P.B.; de Paula, B.V.; Stefanello, L.O.; Schwalbert, R.; Schwalbert, R.A.; Arruda, W.S.; Sans, G.A.; Parcianello, C.F.; Nicoloso, F.T.; et al. Kinetic Parameters Govern of the Uptake of Nitrogen Forms in ‘Paulsen’ and ‘Magnolia’ Grapevine Rootstocks. Sci. Hortic. 2020, 264, 109174. [Google Scholar] [CrossRef]
- Arrobas, M.; Ferreira, I.Q.; Freitas, S.; Verdial, J.; Rodrigues, M.Â. Scientia Horticulturae Guidelines for Fertilizer Use in Vineyards Based on Nutrient Content of Grapevine Parts. Sci. Hortic. 2014, 172, 191–198. [Google Scholar] [CrossRef]
- Domagała-świątkiewicz, I.; Gąstoł, M.; Kiszka, A. Effect of Nitrogen and Potassium Fertilization on the Magnesium Content in Vineyard Soil, and in the Leaves and Berries of Bianca and Sibera Grapevine Cultivars. J. Elem. 2019, 24, 755–769. [Google Scholar] [CrossRef]
- McGlothlin, A.E.; Viele, K. Bayesian Hierarchical Models. JAMA J. Am. Med. Assoc. 2018, 320, 2365–2366. [Google Scholar] [CrossRef]
- Schmid, C.H.; Brown, E.N. Bayesian Hierarchical Models. Methods Enzymol. 2000, 321, 305–330. [Google Scholar] [CrossRef]
- Al-Moshileh, A.; Al-Rayes, D. Effect of Potassium Fertilization Regimes on Petiole Nutrient Contents, Yield and Fruit Quality of Table Seedless Grapes. In Proceedings of the IPI regional workshop on Potassium and Fertigation development in West Asia and North Africa, Rabat, Morocco, 24–28 November 2004. [Google Scholar]
- Marković, N.; Ličina, V.; Mladenović, S.A. Distribucija Kalija u Organima Vinove Loze Pri Različitim Dozama Kalijevih Gnojiva. In Proceedings of the 46th Croatian & 6th International Symposium on Agriculture, Opatija, Croatia, 14–18 February 2011; pp. 950–954. [Google Scholar]
- Ganeshamurthy, A.N.; Satisha, G.C.; Prakash, P. Potassium Nutrition on Yield and Quality of Fruit Crops with Special Emphasis on Banana and Grapes. Karnataka J. Agric. Sci. 2011, 24, 29–38. [Google Scholar]
- Ramos, M.C.; Romero, M.P. Potassium Uptake and Redistribution in Cabernet Sauvignon and Syrah Grape Tissues and Its Relationship with Grape Quality Parameters. J. Sci. Food Agric. 2016, 28, 303–325. [Google Scholar] [CrossRef]
- Pushpavathi, Y.; Satisha, J.; Satisha, G.C.; Shivashankara, K.S.; Reddy, M.L.; Sriram, S. Effect of Different Sources and Method of Potassium Application on Growth and Yield of Grapes Cv. Sharad Seedless (Vitis vinifera L.). Int. J. Chem. Stud. 2019, 7, 2640–2642. [Google Scholar]
- Chowaniak, M.; Klima, K.; Niemiec, M. Impact of Slope Gradient, Tillage System and Plant Cover on Soil Losses of Calcium and Magnesium. J. Elem. 2016, 21, 361–372. [Google Scholar] [CrossRef]
- Burg, P.; Masan, V.; Cizkova, A.; Visacki, V. Evaluation of Impact of Cover Materials on Reduction of Water Erosion of Soil in Vineyards. Eng. Rural Dev. 2018, 17, 658–664. [Google Scholar] [CrossRef]
- Della Chiesa, S.; Genova, G.; la Cecilia, D.; Niedrist, G. Phytoavailable Phosphorus (P2O5) and Potassium (K2O) in Topsoil for Apple Orchards and Vineyards, South Tyrol, Italy. J. Maps 2019, 15, 555–562. [Google Scholar] [CrossRef]
- Soil Survey Staff—NRCS/USDA Keys to Soil Taxonomy. Soil Conserv. Serv. 2014, 12, 372.
- Alvares, C.A.; Stape, J.L.; Sentelhas, P.C.; De Moraes Gonçalves, J.L.; Sparovek, G. Köppen’s Climate Classification Map for Brazil. Meteorol. Zeitschrift 2013, 22, 711–728. [Google Scholar] [CrossRef]
- Miller, R.O. Nitric-Perchloric Wet Acid Digestion in an Open Vessel. In Handbook of Reference Methods for Plant Analysis; Kalra, Y.P., Ed.; CRC Press: Washington, DC, USA, 1998; pp. 57–68. [Google Scholar]
- Mehlich, A. Determination of P, Ca, Mg, K, Na, NH4. Short Test Methods Used Soil Test. Div. 1953, 8, 16. [Google Scholar]
- Qu, L. Package VarComp: Variance Component Models. R Package Version 0.1-317. 2014, pp. 1–44. Available online: https://mran.microsoft.com/snapshot/2014-11-26/web/packages/varComp/varComp.pdf (accessed on 15 May 2020).
- R Core Team. R: A Language and Environment for Statistical Computing; R Foundation for Statistical Computing: Vienna, Austria, 2020. [Google Scholar]
- Gelman, A.; Hill, J. Data Analysis Using Regression and Multilevel Models. In Data Analysis Using Regression and Multilevel/Hierarchical Models; Cambridge University Press: Cambridge, UK, 2007; p. 651. [Google Scholar]
- Kassambara, A.; Mundt, F. Package ‘Factoextra’: Extract and Visualize the Results of Multivariate Data Analyses. CRAN-R Packag Version 1.0.7. 2020, p. 84. Available online: https://cran.r-project.org/web/packages/factoextra/readme/README.html (accessed on 15 May 2020).
- Mira de Orduña, R. Climate Change Associated Effects on Grape and Wine Quality and Production. Food Res. Int. 2010, 43, 1844–1855. [Google Scholar] [CrossRef]
- Mpelasoka, B.S.; Schachtman, D.P.; Treeby, M.T.; Thomas, M.R. A Review of Potassium Nutrition in Grapevines with Special Emphasis on Berry Accumulation. Aust. J. Grape Wine Res. 2003, 9, 154–168. [Google Scholar] [CrossRef]
- Rogiers, S.Y.; Coetzee, Z.A.; Walker, R.R.; Deloire, A.; Tyerman, S.D. Potassium in the Grape (Vitis vinifera L.) Berry: Transport and Function. Front. Plant Sci. 2017, 8, 1–19. [Google Scholar] [CrossRef] [PubMed]
- Nieves-Cordones, M.; Andrianteranagna, M.; Cuéllar, T.; Chérel, I.; Gibrat, R.; Boeglin, M.; Moreau, B.; Paris, N.; Verdeil, J.L.; Zimmermann, S.D.; et al. Characterization of the Grapevine Shaker K+ Channel VvK3.1 Supports Its Function in Massive Potassium Fluxes Necessary for Berry Potassium Loading and Pulvinus-Actuated Leaf Movements. New Phytol. 2019, 222, 286–300. [Google Scholar] [CrossRef] [PubMed]
- Bayo-Canha, A.; Costantini, L.; Fernández-Fernández, J.I.; Martínez-Cutillas, A.; Ruiz-García, L. QTLs Related to Berry Acidity Identified in a Wine Grapevine Population Grown in Warm Weather. Plant Mol. Biol. Rep. 2019, 37, 157–169. [Google Scholar] [CrossRef]
- Ramos, M.C.; Martínez-Casasnovas, J.A. Nutrient Losses from a Vineyard Soil in Northeastern Spain Caused by an Extraordinary Rainfall Event. Catena 2004, 55, 79–90. [Google Scholar] [CrossRef]
- Napoli, M.; Marta, A.D.; Zanchi, C.A.; Orlandini, S. Assessment of Soil and Nutrient Losses by Runoff under Different Soil Management Practices in an Italian Hilly Vineyard. Soil Tillage Res. 2017, 168, 71–80. [Google Scholar] [CrossRef]
- Ciotta, M.N.; Ceretta, C.A.; Krug, A.V.; Brunetto, G.; Nava, G. Grape (Vitis vinifera L.) Production and Soil Potassium Forms in Vineyard Subjected to Potassium Fertilization. Rev. Bras. Frutic. 2021, 43, 1–11. [Google Scholar] [CrossRef]
- Rozane, D.E.; de Paula, B.V.; de Melo, G.W.B.; Dos Santos, E.M.H.; Trentin, E.; Marchezan, C.; da Silva, L.O.S.; Tassinari, A.; Dotto, L.; de Oliveira, F.N.; et al. Compositional Nutrient Diagnosis (CND) Applied to Grapevines Grown in Subtropical Climate Region. Horticulturae 2020, 6, 56. [Google Scholar] [CrossRef]
- Davenport, J.R.; Horneck, D.A. Sampling Guide for Nutrient Assessment of Irrigated Vineyards in the Inland Pacific Northwest; Pacific Northwest Extension–PNW622; Washington State University: Prosser, WA, USA, 2011. [Google Scholar]
- Moyer, M.M.; Singer, S.D.; Davenport, J.R.; Hohesiel, G. Vineyard Nutrient Management in Washington State; Pullman: Washington, DC, USA, 2018. [Google Scholar]
- Baby, T.; Moroni, F.J.; Gascon-Aldana, P.; Moroni, N.C.; Holzapfel, B.P.; Schmidtke, L.M.; Walker, R.R.; Rogiers, S.Y. Characterising Leaf Petiole, Blade and Bunchstem Nutrient Concentration across Three Grapevine Cultivars. Aust. J. Grape Wine Res. 2021, 27, 442–452. [Google Scholar] [CrossRef]
- Yu, X.; Wang, B.; Zhang, C.; Xu, W.; He, J.; Zhu, L.; Wang, S. Effect of Root Restriction on Nitrogen Levels and Glutamine Synthetase Activity in “Kyoho” Grapevines. Sci. Hortic. 2012, 137, 156–163. [Google Scholar] [CrossRef]
- Wang, Y.; Chen, Y.F.; Wu, W.H. Potassium and Phosphorus Transport and Signaling in Plants. J. Integr. Plant Biol. 2021, 63, 34–52. [Google Scholar] [CrossRef]
- Lang, A. Turgor-Regulated Translocation. Plant Cell Environ. 1983, 6, 683–689. [Google Scholar]
- Ličina, V.; Jakovljević, M. The K/Mg Ratio in Grapevine Organs Growt on Diferent Soil Types. Zemljište Biljka 1997, 46, 178–182. [Google Scholar]
- Zörb, C.; Senbayram, M.; Peiter, E. Potassium in Agriculture—Status and Perspectives. J. Plant Physiol. 2014, 171, 656–669. [Google Scholar] [CrossRef]
- Montes, R.M.; Parent, L.É.; de Amorim, D.A.; Rozane, D.E.; Parent, S.É.; Natale, W.; Modesto, V.C. Nitrogen and Potassium Fertilization in a Guava Orchard Evaluated for Five Cycles: Effects on the Plant and on Production. Rev. Bras. Cienc. Solo 2016, 40, e0140532. [Google Scholar] [CrossRef]
- Martín, P.; Delgado, R.; González, M.R.; Gallegos, J.I. Colour of “tempranillo” Grapes as Affected by Different Nitrogen and Potassium Fertilization Rates. Acta Hortic. 2004, 652, 153–160. [Google Scholar] [CrossRef]
- Coombe, B. Research on Development and Ripening of the Grape Berry. Am. J. Enol. Vitic. 1992, 43, 101–110. [Google Scholar]
- Barnuud, N.N.; Zerihun, A.; Gibberd, M.; Bates, B. Berry Composition and Climate: Responses and Empirical Models. Int. J. Biometeorol. 2014, 58, 1207–1223. [Google Scholar] [CrossRef] [PubMed]
- Navrátilová, M.; Beranová, M.; Severová, L.; Šrédl, K.; Svoboda, R.; Abrhám, J. The Impact of Climate Change on the Sugar Content of Grapes and the Sustainability of Their Production in the Czech Republic. Sustainability 2021, 13, 222. [Google Scholar] [CrossRef]












Publisher’s Note: MDPI stays neutral with regard to jurisdictional claims in published maps and institutional affiliations. |
© 2022 by the authors. Licensee MDPI, Basel, Switzerland. This article is an open access article distributed under the terms and conditions of the Creative Commons Attribution (CC BY) license (https://creativecommons.org/licenses/by/4.0/).
Share and Cite
Tassinari, A.; Santos, E.M.H.d.; Stefanello, L.O.; Vitto, B.B.; Siqueira, G.N.d.; Schwalbert, R.A.; Ceretta, C.A.; Schwalbert, R.; Tiecher, T.L.; Ciotta, M.N.; et al. Establishment of Potassium Reference Values Using Bayesian Models in Grapevines. Agriculture 2022, 12, 1867. https://doi.org/10.3390/agriculture12111867
Tassinari A, Santos EMHd, Stefanello LO, Vitto BB, Siqueira GNd, Schwalbert RA, Ceretta CA, Schwalbert R, Tiecher TL, Ciotta MN, et al. Establishment of Potassium Reference Values Using Bayesian Models in Grapevines. Agriculture. 2022; 12(11):1867. https://doi.org/10.3390/agriculture12111867
Chicago/Turabian StyleTassinari, Adriele, Eduardo Maciel Haitzmann dos Santos, Lincon Oliveira Stefanello, Beatriz Baticini Vitto, Gustavo Nogara de Siqueira, Raí Augusto Schwalbert, Carlos Alberto Ceretta, Raissa Schwalbert, Tadeu Luis Tiecher, Marlise Nara Ciotta, and et al. 2022. "Establishment of Potassium Reference Values Using Bayesian Models in Grapevines" Agriculture 12, no. 11: 1867. https://doi.org/10.3390/agriculture12111867
APA StyleTassinari, A., Santos, E. M. H. d., Stefanello, L. O., Vitto, B. B., Siqueira, G. N. d., Schwalbert, R. A., Ceretta, C. A., Schwalbert, R., Tiecher, T. L., Ciotta, M. N., Hindersmann, J., Oliveira, F. N. d., Baldi, E., Toselli, M., & Brunetto, G. (2022). Establishment of Potassium Reference Values Using Bayesian Models in Grapevines. Agriculture, 12(11), 1867. https://doi.org/10.3390/agriculture12111867

