Differences in Nitrogen and Phosphorus Removal under Different Temperatures in Oenanthe javanica Cultivars
Abstract
1. Introduction
2. Materials and Methods
2.1. Experimental Design and Set-Up
2.2. Sampling and Determination Methods
2.3. Data Analysis
3. Results
3.1. O. javanica Cultivars Could Tolerate More than 400 mg/L NH4+-N Both at Room Temperature and under Cold Stress
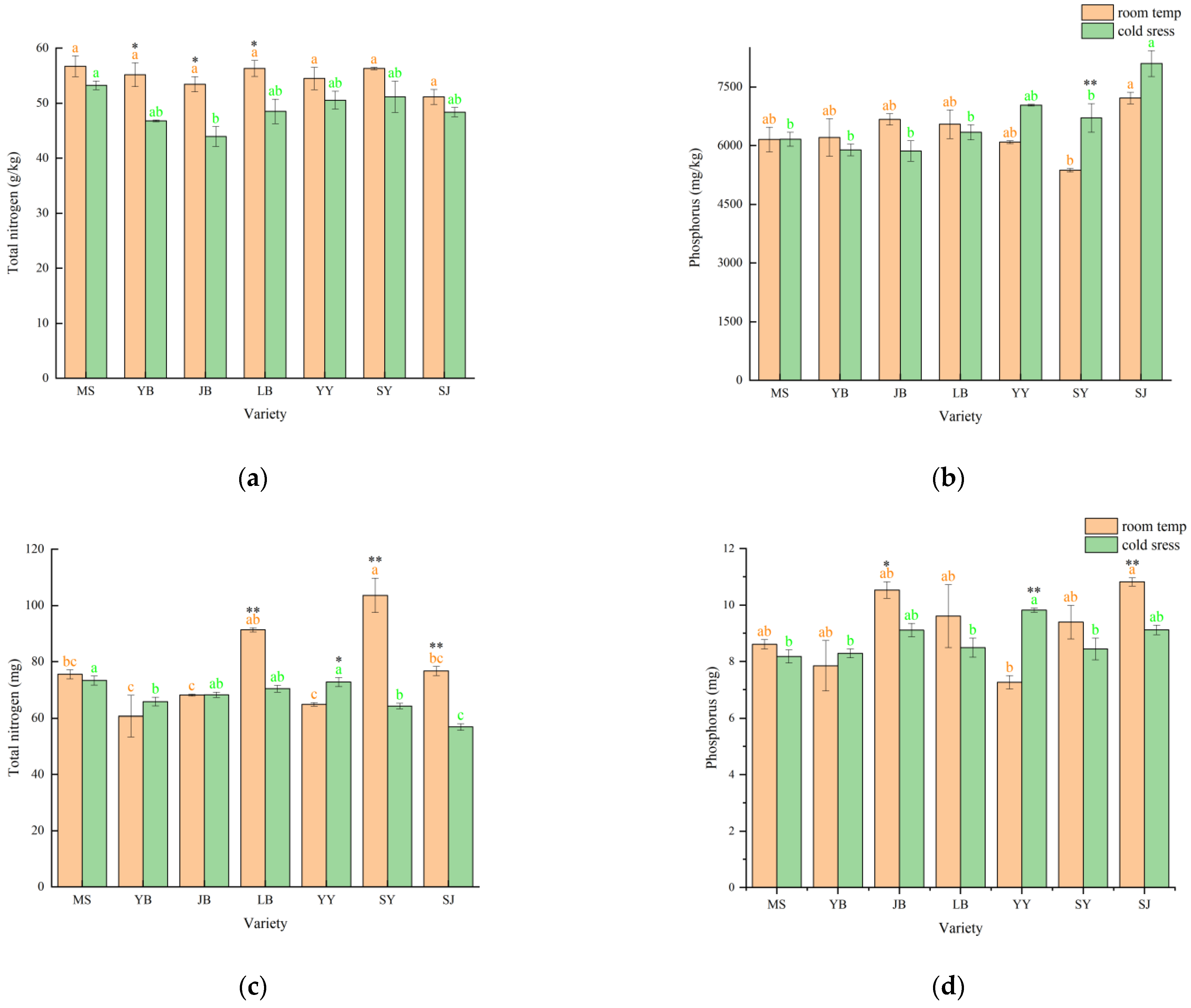
3.2. ‘Suzhou Yuanye’ and ‘Liyang Baiqin’ Showed the Best N Removal Ability at Room Temperature, but Cold Stress Inhibited the N Removal Ability of ‘Liyang Baiqin’
3.3. ‘Yixing Yuanye’ Had the Best P Removal Ability Both at Room Temperature and under Cold Stress
3.4. Correlation Analysis of Plant Biomass, Nutrients Accumulation, Multiple Water Quality Parameters, and Removal Efficiencies
4. Discussion
4.1. Ammonia Tolerance of O. javanica Was Important for Livestock Wastewater Phytoremediation
4.2. Differences between Cultivars Were One of the Main Reasons for Challenges in Comparing Optimal Plant Accumulator Species
4.3. Convenient Methods to Distinguish Different Cultivars Were Important to Phytoremediation Using O. javanica
5. Conclusions
Supplementary Materials
Author Contributions
Funding
Institutional Review Board Statement
Informed Consent Statement
Data Availability Statement
Acknowledgments
Conflicts of Interest
References
- Boretti, A.; Rosa, L. Reassessing the Projections of the World Water Development Report. NPJ Clean Water 2019, 2, 15. [Google Scholar] [CrossRef]
- Walker, D.B.; Baumgartner, D.J.; Gerba, C.P.; Fitzsimmons, K. Chapter 16—Surface Water Pollution. In Environmental and Pollution Science, 3rd ed.; Brusseau, M.L., Pepper, I.L., Gerba, C.P., Eds.; Academic Press: Cambridge, MA, USA, 2019; pp. 261–292. [Google Scholar]
- Fletcher, J.; Willby, N.; Oliver, D.M.; Quilliam, R.S. Phytoremediation Using Aquatic Plants. In Phytoremediation; Shmaefsky, B.R., Ed.; Concepts and Strategies in Plant Sciences; Springer International Publishing: Cham, Switzerland, 2020; pp. 205–260. [Google Scholar]
- Rai, P.K. Phytoremediation of Emerging Contaminants in Wetlands, 1st ed.; CRC Press: Boca Raton, FL, USA, 2018; pp. 31–45. [Google Scholar]
- Luo, L.; He, H.; Yang, C.; Wen, S.; Zeng, G.; Wu, M.; Zhou, Z.; Lou, W. Nutrient Removal and Lipid Production by Coelastrella Sp. in Anaerobically and Aerobically Treated Swine Wastewater. Bioresour. Technol. 2016, 216, 135–141. [Google Scholar] [CrossRef]
- Markou, G.; Wang, L.; Ye, J.; Unc, A. Using Agro-Industrial Wastes for the Cultivation of Microalgae and Duckweeds: Contamination Risks and Biomass Safety Concerns. Biotechnol. Adv. 2018, 36, 1238–1254. [Google Scholar] [CrossRef]
- Wei, Z.; Van Le, Q.; Peng, W.; Yang, Y.; Yang, H.; Gu, H.; Lam, S.S.; Sonne, C. A Review on Phytoremediation of Contaminants in Air, Water and Soil. J. Hazard. Mater. 2021, 403, 123658. [Google Scholar] [CrossRef]
- Hu, H.; Li, X.; Wu, S.; Yang, C. Sustainable Livestock Wastewater Treatment via Phytoremediation: Current Status and Future Perspectives. Bioresour. Technol. 2020, 315, 123809. [Google Scholar] [CrossRef]
- Ali, S.; Abbas, Z.; Rizwan, M.; Zaheer, I.E.; Yavaş, İ.; Ünay, A.; Abdel-DAIM, M.M.; Bin-Jumah, M.; Hasanuzzaman, M.; Kalderis, D. Application of Floating Aquatic Plants in Phytoremediation of Heavy Metals Polluted Water: A Review. Sustainability 2020, 12, 1927. [Google Scholar] [CrossRef]
- Ting, W.H.T.; Tan, I.A.W.; Salleh, S.F.; Wahab, N.A. Application of Water Hyacinth (Eichhornia crassipes) for Phytoremediation of Ammoniacal Nitrogen: A Review. J. Water Process Eng. 2018, 22, 239–249. [Google Scholar] [CrossRef]
- Sun, L.; Liu, J.; Zhao, H.; Wang, Z.; Liu, X.; Chang, Y.; Yao, D. Phytoremediation Performance of Three Traditional Ornamental Hydrophytes and the Structure of Their Rhizosphere Microorganism Populations. Environ. Sci. Pollut. Res. 2022, 29, 50727–50741. [Google Scholar] [CrossRef]
- Sandoval, L.; Zamora-Castro, S.; Vidal-Álvarez, M.; Marín-Muñiz, J. Role of Wetland Plants and Use of Ornamental Flowering Plants in Constructed Wetlands for Wastewater Treatment: A Review. Appl. Sci. 2019, 9, 685. [Google Scholar] [CrossRef]
- Zhao, T.; Pan, X.; Ou, Z.; Li, Q.; Zhang, W. Comprehensive Evaluation of Waterlogging Tolerance of Eleven Canna Cultivars at Flowering Stage. Sci. Hortic. 2022, 296, 110890. [Google Scholar] [CrossRef]
- Yu, F.; Xiao, Y.; Cheng, L.; Feng, S.; Zhang, L. Four New Early Spring-flowering Evergreen Iris Cultivars. HortScience 2020, 55, 103–105. [Google Scholar] [CrossRef]
- Zhao, Z.; Li, T.; Cheng, Y.; Wang, F.; Zhao, X. Morphological and Metabolic Responses of Four Iris germanica Cultivars under Salinity Stress. Sci. Hortic. 2021, 30, 109960. [Google Scholar] [CrossRef]
- Liu, J.; Chang, Y.; Sun, L.; Du, F.; Cui, J.; Liu, X.; Li, N.; Wang, W.; Li, J.; Yao, D. Abundant Allelochemicals and the Inhibitory Mechanism of the Phenolic Acids in Water Dropwort for the Control of Microcystis aeruginosa Blooms. Plants 2021, 10, 2653. [Google Scholar] [CrossRef]
- Song, S.; Wang, P.; Liu, Y.; Zhao, D.; Leng, X.; An, S. Effects of Oenanthe javanica on Nitrogen Removal in Free-Water Surface Constructed Wetlands under Low-Temperature Conditions. Int. J. Environ. Res. Public. Health 2019, 16, 1420. [Google Scholar] [CrossRef]
- Kumar, S.; Li, G.; Yang, J.; Huang, X.; Ji, Q.; Liu, Z.; Ke, W.; Hou, H. Effect of Salt Stress on Growth, Physiological Parameters, and Ionic Concentration of Water Dropwort (Oenanthe javanica) Cultivars. Front. Plant Sci. 2021, 12, 660409. [Google Scholar] [CrossRef] [PubMed]
- Liu, J.-X.; Jiang, Q.; Tao, J.-P.; Feng, K.; Li, T.; Duan, A.-Q.; Wang, H.; Xu, Z.-S.; Liu, H.; Xiong, A.-S. Integrative Genome, Transcriptome, MicroRNA, and Degradome Analysis of Water Dropwort (Oenanthe javanica) in Response to Water Stress. Hortic. Res. 2021, 8, 262. [Google Scholar] [CrossRef] [PubMed]
- Sun, L.; Zhao, H.; Liu, J.; Li, B.; Chang, Y.; Yao, D. A New Green Model for the Bioremediation and Resource Utilization of Livestock Wastewater. Int. J. Environ. Res. Public. Health 2021, 18, 8634. [Google Scholar] [CrossRef] [PubMed]
- Zhou, X.; Wang, G. Nutrient Concentration Variations during Oenanthe javanica Growth and Decay in the Ecological Floating Bed System. J. Environ. Sci. 2010, 22, 1710–1717. [Google Scholar] [CrossRef]
- Kumar, S.; Li, G.; Huang, X.; Ji, Q.; Zhou, K.; Hou, H.; Ke, W.; Yang, J. Phenotypic, Nutritional, and Antioxidant Characterization of Blanched Oenanthe javanica for Preferable Cultivar. Front. Plant Sci. 2021, 12, 639639. [Google Scholar] [CrossRef] [PubMed]
- Cheng, D.; Ngo, H.H.; Guo, W.; Chang, S.; Nguyen, D.D.; Kumar, S.M. Microalgae Biomass from Swine Wastewater and Its Conversion to Bioenergy. Bioresour. Technol. 2019, 275, 109–122. [Google Scholar] [CrossRef]
- Lv, J.; Liu, Y.; Feng, J.; Liu, Q.; Nan, F.; Xie, S. Nutrients Removal from Undiluted Cattle Farm Wastewater by the Two-Stage Process of Microalgae-Based Wastewater Treatment. Bioresour. Technol. 2018, 264, 311–318. [Google Scholar] [CrossRef]
- Marino, D.; Moran, J.F. Can Ammonium Stress Be Positive for Plant Performance? Front. Plant Sci. 2019, 10, 1103. [Google Scholar] [CrossRef]
- Lee, G.; Kim, K.; Chung, J.; Han, J. Electrochemical Ammonia Accumulation and Recovery from Ammonia-Rich Livestock Wastewater. Chemosphere 2021, 270, 128631. [Google Scholar] [CrossRef] [PubMed]
- Hachiya, T.; Inaba, J.; Wakazaki, M.; Sato, M.; Toyooka, K.; Miyagi, A.; Hawai-Yamada, M.; Sugiura, D.; Nakagawa, T.; Kiba, T.; et al. Excessive Ammonium Assimilation by Plastidic Glutamine Synthetase Causes Ammonium Toxicity in Arabidopsis thaliana. Nat. Commun. 2021, 12, 4944. [Google Scholar] [CrossRef] [PubMed]
- Abe, K.; Komada, M.; Ookuma, A.; Itahashi, S.; Banzai, K. Purification Performance of a Shallow Free-Water-Surface Constructed Wetland Receiving Secondary Effluent for about 5 Years. Ecol. Eng. 2014, 69, 126–133. [Google Scholar] [CrossRef]
- Tyler, H.L.; Moore, M.T.; Locke, M.A. Influence of Three Aquatic Macrophytes on Mitigation of Nitrogen Species from Agricultural Runoff. Water. Air. Soil Pollut. 2012, 223, 3227–3236. [Google Scholar] [CrossRef]
- Chen, C.; Zhao, T.; Liu, R.; Luo, L. Performance of Five Plant Species in Removal of Nitrogen and Phosphorus from an Experimental Phytoremediation System in the Ningxia Irrigation Area. Environ. Monit. Assess. 2017, 189, 497. [Google Scholar] [CrossRef]
- Müller, L.M.; Flokova, K.; Schnabel, E.; Sun, X.; Fei, Z.; Frugoli, J.; Bouwmeester, H.J.; Harrison, M.J. A CLE–SUNN Module Regulates Strigolactone Content and Fungal Colonization in Arbuscular Mycorrhiza. Nat. Plants 2019, 5, 933–939. [Google Scholar] [CrossRef]
- Smith, S.E.; Smith, F.A. Roles of Arbuscular Mycorrhizas in Plant Nutrition and Growth: New Paradigms from Cellular to Ecosystem Scales. Annu. Rev. Plant Biol. 2011, 62, 227–250. [Google Scholar] [CrossRef]
- Edwards, J.; Johnson, C.; Santos-Medellín, C.; Lurie, E.; Podishetty, N.K.; Bhatnagar, S.; Eisen, J.A.; Sundaresan, V. Structure, Variation, and Assembly of the Root-Associated Microbiomes of Rice. Proc. Natl. Acad. Sci. USA 2015, 112, E911–E920. [Google Scholar] [CrossRef]
- Zhang, J.; Liu, Y.-X.; Zhang, N.; Hu, B.; Jin, T.; Xu, H.; Qin, Y.; Yan, P.; Zhang, X.; Guo, X.; et al. NRT1.1B Is Associated with Root Microbiota Composition and Nitrogen Use in Field-Grown Rice. Nat. Biotechnol. 2019, 37, 676–684. [Google Scholar] [CrossRef] [PubMed]
- Lumaret, R.; Ouazzani, N.; Michaud, H.; Vivier, G.; Deguilloux, M.-F.; Di Giusto, F. Allozyme Variation of Oleaster Populations (Wild Olive Tree) (Olea europaea L.) in the Mediterranean Basin. Heredity 2004, 92, 343–351. [Google Scholar] [CrossRef] [PubMed]
- Ercisli, S.; Ipek, A.; Barut, E. SSR Marker-Based DNA Fingerprinting and Cultivar Identification of Olives (Olea europaea). Biochem. Genet. 2011, 49, 555. [Google Scholar] [CrossRef] [PubMed]
- Kalia, R.K.; Rai, M.K.; Kalia, S.; Singh, R.; Dhawan, A.K. Microsatellite Markers: An Overview of the Recent Progress in Plants. Euphytica 2011, 177, 309–334. [Google Scholar] [CrossRef]
- Wu, D.; Liang, Z.; Yan, T.; Xu, Y.; Xuan, L.; Tang, J.; Zhou, G.; Lohwasser, U.; Hua, S.; Wang, H.; et al. Whole-Genome Resequencing of a Worldwide Collection of Rapeseed Accessions Reveals the Genetic Basis of Ecotype Divergence. Mol. Plant 2019, 12, 30–43. [Google Scholar] [CrossRef] [PubMed]
- Jiang, Q.; Wang, F.; Tan, H.; Li, M.; Xu, Z.; Tan, G.; Xiong, A. De Novo Transcriptome Assembly, Gene Annotation, Marker Development, and miRNA Potential Target Genes Validation under Abiotic Stresses in Oenanthe javanica. Mol. Genet. Genom. 2015, 290, 671–683. [Google Scholar] [CrossRef]
- Ji, Q.; Zhu, H.; Huang, X.; Zhou, K.; Liu, Z.; Sun, Y.; Wang, Z.; Ke, W. Uncovering phylogenetic relationships and genetic diversity of water dropwort using phenotypic traits and SNP markers. PLoS ONE 2011, 16, e0249825. [Google Scholar] [CrossRef]







| Element | Volume |
|---|---|
| 10 × Hoagland solution without N or P | 100 mL |
| KH2PO4 | 0.066 g |
| (NH4)2SO4 | 1.886 g |
| KNO3 | 0.722 g |
| O. javanica Cultivar | Temperature | |
|---|---|---|
| Room Temperature | Cold Stress | |
| CK | 3 beakers | 3 beakers |
| ‘Meinan Shuiqin’ | 3 beakers | 3 beakers |
| ‘Yuqi Baiqin’ | 3 beakers | 3 beakers |
| ‘Jiangyin Baiqin’ | 3 beakers | 3 beakers |
| ‘Liyang Baiqin’ | 3 beakers | 3 beakers |
| ‘Yixing Yuanye’ | 3 beakers | 3 beakers |
| ‘Suzhou Yuanye’ | 3 beakers | 3 beakers |
| ‘Suqian Jianye’ | 3 beakers | 3 beakers |
| Variable | TN | NH4+-N | ||
|---|---|---|---|---|
| F Value | p Value | F Value | p Value | |
| Temperature | 0 | 0.993 | 1.026 | 0.312 |
| Cultivar | 2.19 | 0.035 | 3.818 | 0.001 |
| Temperature × Cultivar | 0.555 | 0.792 | 0.745 | 0.634 |
| Variable | F Value | p Value |
|---|---|---|
| Temperature | 22.748 | 0 |
| Cultivar | 7.409 | 0 |
| Temperature × Cultivar | 1.512 | 0.162 |
Publisher’s Note: MDPI stays neutral with regard to jurisdictional claims in published maps and institutional affiliations. |
© 2022 by the authors. Licensee MDPI, Basel, Switzerland. This article is an open access article distributed under the terms and conditions of the Creative Commons Attribution (CC BY) license (https://creativecommons.org/licenses/by/4.0/).
Share and Cite
Sun, L.; Wang, W.; Liu, F.; Liu, J.; Du, F.; Liu, X.; Chang, Y.; Yao, D. Differences in Nitrogen and Phosphorus Removal under Different Temperatures in Oenanthe javanica Cultivars. Agriculture 2022, 12, 1602. https://doi.org/10.3390/agriculture12101602
Sun L, Wang W, Liu F, Liu J, Du F, Liu X, Chang Y, Yao D. Differences in Nitrogen and Phosphorus Removal under Different Temperatures in Oenanthe javanica Cultivars. Agriculture. 2022; 12(10):1602. https://doi.org/10.3390/agriculture12101602
Chicago/Turabian StyleSun, Linhe, Wei Wang, Fengjun Liu, Jixiang Liu, Fengfeng Du, Xiaojing Liu, Yajun Chang, and Dongrui Yao. 2022. "Differences in Nitrogen and Phosphorus Removal under Different Temperatures in Oenanthe javanica Cultivars" Agriculture 12, no. 10: 1602. https://doi.org/10.3390/agriculture12101602
APA StyleSun, L., Wang, W., Liu, F., Liu, J., Du, F., Liu, X., Chang, Y., & Yao, D. (2022). Differences in Nitrogen and Phosphorus Removal under Different Temperatures in Oenanthe javanica Cultivars. Agriculture, 12(10), 1602. https://doi.org/10.3390/agriculture12101602

