Impacts of Low Disturbance Liquid Dairy Manure Incorporation on Alfalfa Yield and Fluxes of Ammonia, Nitrous Oxide, and Methane
Abstract
:1. Introduction
2. Materials and Methods
2.1. Study Site
2.2. Treatment Details and Crop Management Practice
- (1)
- Shallow Injection (Inject): 64 cm blades set at a 5 degree angle (Yetter Avenger, Yetter Manufacturing, Colchester, IL, USA), designed to cause minimal soil disturbance created 1.5–2 cm wide slits, manure was applied approximately 8–10 cm deep in these slits which were 30 cm apart.
- (2)
- Banded-aerator application (Aerator/Band): Manure was applied in bands about 5 cm wide through steel tubes 90-cm directly behind the tines of a rolling tine aerator (SAF Holland Aerway AWST). Aerator tines (no offset angle used), three per spindle, spaced 19 cm apart along the shaft, penetrated into the soil, creating slots approximately 2-cm × 20-cm at the soil surface narrowing down to a 2-cm wide point at the 18-cm depth. Tine slots were approximately 40 cm apart on center in the direction of travel. Manure slurry entered the slots for increased soil infiltration.
- (3)
- Banded application (Band): Manure was applied with the Aerator/Band applicator without the aeration tines, with hoses dragging across the soil surface. Manure bands were about 3–5 cm wide.
- (4)
- Broadcast application (Broadcast): Manure was broadcast with the Aerator/Band applicator raised approximately 40 cm above the soil surface so that manure provided complete coverage of the soil.
2.3. Ammonia and GHG Sampling and Analysis
3. Results and Discussion
3.1. Weather
3.2. Manure Application Method Effects on Alfalfa Hay Crop Yield
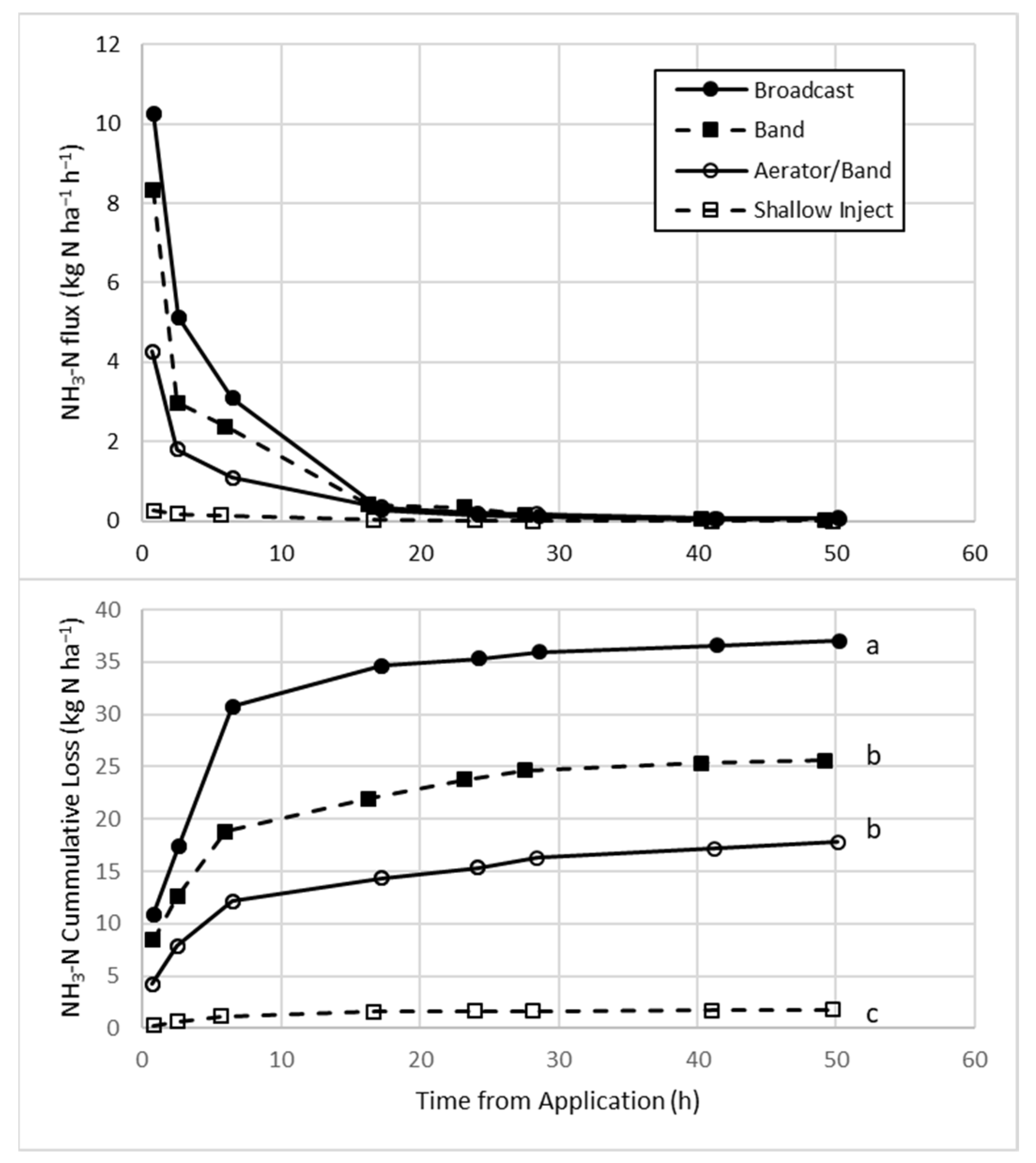
3.3. Manure Application Effects on Ammonia Fluxes
3.4. Manure Application Effects on Nitrous Oxide Fluxes
3.5. Manure Application Effects on Methane Fluxes
3.6. Carbon Dioxide Equivalents and Global Warming Potential
4. Conclusions
Supplementary Materials
Author Contributions
Funding
Data Availability Statement
Acknowledgments
Conflicts of Interest
References
- Dungan, R.S.; Leytem, A.B.; Tarkalson, D.D.; Ippolito, J.A.; Bjorneberg, D.L. Greenhouse Gas Emissions from an Irrigated Dairy Forage Rotation as Influenced by Fertilizer and Manure Applications. Soil Sci. Soc. Am. J. 2017, 81, 537–545. [Google Scholar] [CrossRef] [Green Version]
- Daliparthy, J.; Herbert, S.J.; Veneman, P.L.M. Dairy Manure Applications to Alfalfa: Crop Response, Soil Nitrate, and Nitrate in Soil Water. Agron. J. 1994, 86, 927–933. [Google Scholar] [CrossRef]
- Lamb, J.F.S.; Russelle, M.P.; Schmitt, M.A. Alfalfa and Reed Canarygrass Response to Midsummer Manure Application. Crop. Sci. 2005, 45, 2293–2300. [Google Scholar] [CrossRef]
- Pote, D.H.; Way, T.R.; Sistani, K.R.; Moore, P.A., Jr. Water-quality effects of a mechanized subsurface-banding technique for applying poultry litter to perennial grassland. J. Environ. Manag. 2009, 90, 3534–3539. [Google Scholar] [CrossRef]
- Coblentz, W.K.; Muck, R.E.; Borchardt, M.A.; Spencer, S.K.; Jokela, W.E.; Bertram, M.G.; Coffey, K.P. Effects of dairy slurry on silage fermentation characteristics and nutritive value of alfalfa. J. Dairy Sci. 2014, 97, 7197–7211. [Google Scholar] [CrossRef]
- Ketterings, Q.M.; Frenay, E.; Cherney, J.H.; Czymmek, K.J.; Klausner, S.D.; Chase, L.E.; Schukken, Y.H. Application of Manure to Established Stands of Alfalfa and Alfalfa-Grass. Forage Grazinglands 2007, 5, 1–11. [Google Scholar] [CrossRef]
- Lloveras, J.; Aran, M.; Villar, P.; Ballesta, A.; Arcaya, A.; Vilanova, X.; Munoz, F. Effect of swine slurry on alfalfa production and on tissue and soil nutrient concentration. Agron. J. 2004, 96, 986–991. [Google Scholar] [CrossRef]
- Bittman, S.; Van Vliet, L.J.P.; Kowalenko, C.G.; McGinn, S.; Hunt, D.E.; Bounaix, F. Surface-Banding Liquid Manure over Aeration Slots: A New Low-Disturbance Method for Reducing Ammonia Emissions and Improving Yield of Perennial Grasses. Agron. J. 2005, 97, 1304–1313. [Google Scholar] [CrossRef] [Green Version]
- Matsi, T.; Lithourgidis, A.S.; Gagianas, A.A. Effects of injected liquid cattle manure on growth and yield of winter wheat and soil characteristics. Agron. J. 2003, 95, 592–596. [Google Scholar] [CrossRef]
- Shah, S.B.; Miller, J.L.; Basden, T.J. Mechanical aeration and liquid dairy manure application impacts on grassland runoff water quality and yield. Trans. ASAE 2004, 47, 777–788. [Google Scholar] [CrossRef]
- Sherman, J.F.; Young, E.O.; Coblentz, W.K.; Cavadini, J. Runoff water quality after low-disturbance manure application in an alfalfa-grass hay crop forage system. J. Environ. Qual. 2020, 49, 663–674. [Google Scholar] [CrossRef]
- Dell, C.J.; Kleinman, P.J.; Schmidt, J.P.; Beegle, D.B. Low-Disturbance Manure Incorporation Effects on Ammonia and Nitrate Loss. J. Environ. Qual. 2012, 41, 928–937. [Google Scholar] [CrossRef] [PubMed]
- Duncan, E.W.; Dell, C.J.; Kleinman, P.J.A.; Beegle, D.B. Nitrous Oxide and Ammonia Emissions from Injected and Broadcast-Applied Dairy Slurry. J. Environ. Qual. 2017, 46, 36–44. [Google Scholar] [CrossRef] [PubMed]
- Maguire, R.O.; Kleinman, P.J.A.; Dell, C.J.; Beegle, D.B.; Brandt, R.C.; McGrath, J.M.; Ketterings, Q.M. Manure Application Technology in Reduced Tillage and Forage Systems: A Review. J. Environ. Qual. 2011, 40, 292–301. [Google Scholar] [CrossRef] [PubMed]
- IPCC. Climate Change 2014: Mitigation of Climate Change; Cambridge University Press: New York, NY, USA, 2014. [Google Scholar]
- Apsimon, H.M.; Kruse, M.; Bell, J.N.B. Ammonia emissions and their role in acid deposition. Atmos. Environ. 1987, 21, 1939–1946. [Google Scholar] [CrossRef]
- Smith, K.A.; Jackson, D.R.; Pepper, T.J. Nutrient losses by surface run-off following the application of organic manures to arable land. 1. Nitrogen. Environ. Pollut. 2001, 112, 41–51. [Google Scholar] [CrossRef]
- Withers, P.J.A.; Clay, S.D.; Breeze, V.G. Phosphorus Transfer in Runoff Following Application of Fertilizer, Manure, and Sewage Sludge. J. Environ. Qual. 2001, 30, 180–188. [Google Scholar] [CrossRef]
- Flessa, H.; Beese, F. Laboratory Estimates of Trace Gas Emissions following Surface Application and Injection of Cattle Slurry. J. Environ. Qual. 2000, 29, 262–268. [Google Scholar] [CrossRef]
- Rodhe, L.; Etana, A. Performance of Slurry Injectors compared with Band Spreading on Three Swedish Soils with Ley. Biosyst. Eng. 2005, 92, 107–118. [Google Scholar] [CrossRef]
- Perälä, P.; Kapuinen, P.; Esala, M.; Tyynelä, S.; Regina, K. Influence of slurry and mineral fertiliser application techniques on N2O and CH4 fluxes from a barley field in southern Finland. Agric. Ecosyst. Environ. 2006, 117, 71–78. [Google Scholar] [CrossRef]
- Chen, Y.; Zhang, Q.; Petkau, D.S. Evaluation of different techniques for liquid manure application on grassland. Appl. Eng. Agric. 2001, 17, 489–496. [Google Scholar] [CrossRef]
- Gordon, R.; Patterson, G.; Harz, T.; Rodd, V.; MacLeod, J. Soil aeration for dairy manure spreading on forage: Effects on ammonia volatilisation and yield. Can. J. Soil Sci. 2000, 80, 319–326. [Google Scholar] [CrossRef]
- Mattila, P.K.; Joki-Tokola, E.; Tanni, R. Effect of treatment and application technique of cattle slurry on its utilization by ley: II. Recovery of nitrogen and composition of herbage yield. Nutr. Cycl. Agroecosyst. 2003, 65, 231–242. [Google Scholar] [CrossRef]
- Sommer, S.G.; Hutchings, N.J. Ammonia emission from field applied manure and its reduction—Invited paper. Eur. J. Agron. 2001, 15, 1–15. [Google Scholar] [CrossRef]
- Mattila, P.K.; Joki-Tokola, E. Effect of treatment and application technique of cattle slurry on its utilization by ley: I. Slurry properties and ammonia volatilization. Nutr. Cycl. Agroecosyst. 2003, 65, 221–230. [Google Scholar] [CrossRef]
- Misselbrook, T.H.; Laws, J.A.; Pain, B.F. Surface application and shallow injection of cattle slurry on grassland: Nitrogen losses, herbage yields and nitrogen recoveries. Grass Forage Sci. 1996, 51, 270–277. [Google Scholar] [CrossRef]
- Rodhe, L.; Pell, M.; Yamulki, S. Nitrous oxide, methane, and ammonia emissions following slurry spreading on grassland. Soil Use Manag. 2006, 22, 229–237. [Google Scholar] [CrossRef]
- Chadwick, D.R.; Pain, B.F.; Brookman, S.K.E. Nitrous Oxide and Methane Emissions following Application of Animal Manures to Grassland. J. Environ. Qual. 2000, 29, 277–287. [Google Scholar] [CrossRef]
- Bouwman, A.F. Direct emission of nitrous oxide from agricultural soils. Nut. Cycl. Agroecosyst. 1996, 46, 53–70. [Google Scholar] [CrossRef]
- Ball, B.C.; Scott, A.; Parker, J.P. Field N2O, CO2 and CH4 fluxes in relation to tillage, compaction and soil quality in Scotland. Soil Tillage Res. 1999, 53, 29–39. [Google Scholar] [CrossRef]
- Gagnon, B.; Ziadi, N.; Rochette, P.; Chantigny, M.H.; Angers, D.A. Fertilizer Source Influenced Nitrous Oxide Emissions from a Clay Soil under Corn. Soil Sci. Soc. Am. J. 2011, 75, 595–604. [Google Scholar] [CrossRef]
- Pfluke, P.D.; Jokela, W.E.; Bosworth, S.C. Ammonia Volatilization from Surface-Banded and Broadcast Application of Liquid Dairy Manure on Grass Forage. J. Environ. Qual. 2011, 40, 374–382. [Google Scholar] [CrossRef] [Green Version]
- Husson, O. Redox potential (Eh) and pH as drivers of soil/plant/microorganism systems: A transdisciplinary overview pointing to integrative opportunities for agronomy. Plant Soil 2013, 362, 389–417. [Google Scholar] [CrossRef] [Green Version]
- Holly, M.A.; Kleinman, P.J.; Bryant, R.B.; Bjorneberg, D.L.; Rotz, C.A.; Baker, J.; Boggess, M.; Brauer, D.; Chintala, R.; Feyereisen, G.; et al. Short communication: Identifying challenges and opportunities for improved nutrient management through the USDA’s Dairy Agroecosystem Working Group. J. Dairy Sci. 2018, 101, 6632–6641. [Google Scholar] [CrossRef] [Green Version]
- Peters, J. Recommended Methods of Manure Analysis; University of Wisconsin-Extension: Madison, WI, USA, 2003. [Google Scholar]
- Peters, J. Wisconsin Procedures for Soil Testing, Plant Analysis, and Feed and Forage Analysis. 2013. Available online: https://uwlab.soils.wisc.edu/about-us/lab-procedures-and-methods/ (accessed on 10 May 2014).
- Svensson, L. A New Dynamic Chamber Technique for Measuring Ammonia Emissions from Land-Spread Manure and Fertilizers. Acta Agric. Scand. Sect. B-Plant Soil Sci. 1994, 44, 35–46. [Google Scholar] [CrossRef]
- Misselbrook, T.H.; Hansen, M.N. Field evaluation of the equilibrium concentration technique (JTI method) for measuring ammonia emission from land spread manure or fertiliser. Atmos. Environ. 2001, 35, 3761–3768. [Google Scholar] [CrossRef]
- Myers, T.L.; Dell, C.J.; Beegle, D.B. Evaluation of ammonia emissions from manure incorporated with different soil aerator configurations. J. Soil Water Conserv. 2013, 68, 306–314. [Google Scholar] [CrossRef]
- Sherman, J.F.; Young, E.O.; Jokela, W.E.; Cavadini, J. Impacts of low-disturbance dairy manure incorporation on ammonia and greenhouse gas fluxes in a corn silage–winter rye cover crop system. J. Environ. Qual. 2021, 1–11. [Google Scholar] [CrossRef]
- Malgeryd, J. Technical measures to reduce ammonia losses after spreading of animal manure. Nutr. Cycl. Agroecosyst. 1998, 51, 51–57. [Google Scholar] [CrossRef]
- Parkin, T.B.; Venterea, R.T. Chamber-based trace gas flux measurements. In Sampling Protocols; Follett, R.F., Ed.; USDA-ARS: Washington, DC, USA, 2010; Available online: www.ars.usda.gov/research/GRACEnet (accessed on 15 April 2013).
- Venterea, R.T. Simplified Method for Quantifying Theoretical Underestimation of Chamber-Based Trace Gas Fluxes. J. Environ. Qual. 2010, 39, 126–135. [Google Scholar] [CrossRef] [PubMed] [Green Version]
- SAS Institute Inc. SAS 9.4 Guide to Software Updates; SAS Institute Inc.: Cary, NC, USA, 2013. [Google Scholar]
- Meisinger, J.J.; Jokela, W.E. Ammonia volatilization from dairy and poultry manure. In Managing Nutrients and Pathogens from Animal Agriculture (NRAES-130); Natural Resource, Agriculture, and Engineering Service: Ithaca, NY, USA, 2000. [Google Scholar]
- Wulf, S.; Maeting, M.; Clemens, J. Application Technique and Slurry Co-Fermentation Effects on Ammonia, Nitrous Oxide, and Methane Emissions after Spreading: II. Greenhouse gas emissions. J. Environ. Qual. 2002, 31, 1795–1801. [Google Scholar] [CrossRef]
- Huijsmans, J.F.M.; Hol, J.M.G.; Vermeulen, G.D. Effect of application method, manure characteristics, weather and field conditions on ammonia volatilization from manure applied to arable land. Atmos. Environ. 2003, 37, 3669–3680. [Google Scholar] [CrossRef]
- Hansen, M.N.; Sommer, S.G.; Madsen, N.P. Reduction of ammonia emission by shallow slurry injection: In-jection efficiency and additional energy demand. J. Environ. Qual. 2003, 32, 1099–1104. [Google Scholar] [CrossRef]
- Sommer, S.G.; Olesen, J.E.; Christensen, B.T. Effects of temperature, wind speed and air humidity on ammonia volatilization from surface applied cattle slurry. J. Agric. Sci. 1991, 117, 91–100. [Google Scholar] [CrossRef]
- Sistani, K.R.; Warren, J.G.; Lovanh, N.; Higgins, S.; Shearer, S. Greenhouse Gas Emissions from Swine Effluent Applied to Soil by Different Methods. Soil Sci. Soc. Am. J. 2010, 74, 429–435. [Google Scholar] [CrossRef]
- Venterea, R.T.; Maharjan, B.; Dolan, M.S. Fertilizer Source and Tillage Effects on Yield-Scaled Nitrous Oxide Emissions in a Corn Cropping System. J. Environ. Qual. 2011, 40, 1521–1531. [Google Scholar] [CrossRef] [PubMed] [Green Version]
- Letey, J.; Valoras, N.; Focht, D.D.; Ryden, J.C. Nitrous Oxide Production and Reduction during Denitrification as Affected by Redox Potential. Soil Sci. Soc. Am. J. 1981, 45, 727–730. [Google Scholar] [CrossRef]
- Masscheleyn, P.H.; DeLaune, R.D.; Patrick, W.H., Jr. Methane and nitrous oxide emissions from laboratory measurements of rice soil suspension: Effect of soil oxidation-reduction status. Chemosphere 1993, 26, 251–260. [Google Scholar] [CrossRef]
- Bouwman, A.F.; Boumans, L.J.M.; Batjes, N.H. Modeling global annual N2O and NO emissions from fertilized fields. Glob. Biogeochem. Cycles 2002, 16, 28-1–28-9. [Google Scholar] [CrossRef]
- Butterbach-Bahl, K.; Baggs, E.M.; Dannenmann, M.; Kiese, R.; Zechmeister-Boltenstern, S. Nitrous oxide emissions from soils: How well do we understand the processes and their controls? Philos. Trans. R. Soc. B Biol. Sci. 2013, 368, 20130122. [Google Scholar] [CrossRef]
- Zhou, M.; Zhu, B.; Wang, S.; Zhu, X.; Vereecken, H.; Brüggemann, N. Stimulation of N2O emission by manure application to agricultural soils may largely offset carbon benefits: A global meta-analysis. Glob. Chang. Biol. 2017, 23, 4068–4083. [Google Scholar] [CrossRef] [PubMed]
- Halvorson, A.D.; Del Grosso, S.J.; Stewart, C.E. Manure and Inorganic Nitrogen Affect Trace Gas Emissions under Semi-Arid Irrigated Corn. J. Environ. Qual. 2016, 45, 906–914. [Google Scholar] [CrossRef] [PubMed]






| Average Air Temperature 1 | Precipitation 1 | |||||||
|---|---|---|---|---|---|---|---|---|
| Month | 2014 | 2015 | 2016 | Average 2006–2016 | 2014 | 2015 | 2016 | Average 2006–2016 |
| °C | mm | |||||||
| January | −15 | −8.9 | −8.3 | −9.0 | 34.8 | 13.4 | 16.5 | 23.4 |
| February | −15 | −13 | −5.0 | −8.5 | 38.1 | 4.20 | 16.0 | 18.6 |
| March | −7.8 | 0.0 | 3.3 | −0.3 | 20.8 | 10.2 | 101 | 37.1 |
| April | 4.4 | 7.8 | 6.1 | 6.5 | 132 | 91.2 | 34.0 | 70.2 |
| May | 13 | 14 | 14 | 14 | 122 | 80.5 | 50.3 | 95.1 |
| June | 19 | 18 | 19 | 19 | 118 | 103 | 172 | 106 |
| July | 19 | 21 | 21 | 21 | 88.6 | 46.5 | 88.1 | 92.7 |
| August | 19 | 19 | 21 | 20 | 179 | 65.0 | 95.8 | 95.9 |
| September | 14 | 18 | 18 | 15 | 73.2 | 170 | 181 | 87.7 |
| October | 8.3 | 8.9 | 11 | 8.5 | 92.0 | 63.7 | 53.6 | 83.9 |
| November | −3.9 | 4.4 | 5.0 | 0.6 | 58.4 | 58.7 | 42.9 | 31.6 |
| December | −4.4 | 0.0 | −7.2 | −7.5 | 38.4 | 85.3 | 51.3 | 50.7 |
| January–December 1 | 4.4 | 7.4 | 8.1 | 6.6 | 995 | 791 | 903 | 793 |
| 1st Cut | 2nd Cut | 3rd Cut | 4th Cut | Total | ||||||
|---|---|---|---|---|---|---|---|---|---|---|
| Treatment | DM Yield | N Uptake | DM Yield | N Uptake | DM Yield | N Uptake | DM Yield | N Uptake | DM Yield | N Uptake |
| kg ha−1 | ||||||||||
| 2014 | ||||||||||
| Control | 6585 | 179 | 4715 c 1 | 148 | 3177 | 112 | - 2 | - | 14,251 c | 428 c |
| Broadcast | 7007 | 181 | 5291 ab | 161 | 3115 | 116 | - | - | 15,412 ab | 458 b |
| Band | 6871 | 192 | 5002 b | 146 | 3147 | 118 | - | - | 15,021 b | 456 b |
| Aerator/Band | 6955 | 193 | 5513 a | 170 | 3263 | 125 | - | - | 15,731 a | 488 a |
| Shallow Inject | 7042 | 186 | 5135 b | 166 | 3303 | 116 | - | - | 15,480 ab | 468 b |
| CV | 6 | 9 | 4 | 9 | 5 | 6 | - | - | 2 | 3 |
| p-value | NS | NS | 0.01 | NS | NS | NS | - | - | 0.004 | 0.004 |
| 2015 | ||||||||||
| Control | 6487 | 138 | 4402 a | 157 a | 2294 | 80.4 | - | - | 12,704 | 363 |
| Broadcast | 6578 | 157 | 4130 a | 139 b | 2239 | 80.6 | - | - | 12,947 | 376 |
| Band | 6409 | 160 | 4084 a | 141 b | 2121 | 71.9 | - | - | 12,614 | 373 |
| Aerator/Band | 6797 | 160 | 3938 ab | 138 b | 1857 | 66.2 | - | - | 12,592 | 364 |
| Shallow Inject | 6831 | 177 | 3657 b | 133 b | 2234 | 79.2 | - | - | 12,722 | 389 |
| CV | 7 | 14 | 5 | 1 | 25 | 24 | - | - | 6 | 8 |
| p-value | NS | NS | 0.06 | 0.03 | NS | NS | - | - | NS | NS |
| 2016 | ||||||||||
| Control | 6470 | 175 b | 4693 | 144 | 3328 | 108 c | 2809 | 107 | 17,247 | 540 |
| Broadcast | 7438 | 214 a | 4898 | 149 | 3553 | 114 bc | 2773 | 102 | 18,662 | 578 |
| Band | 6598 | 179 b | 5054 | 154 | 3879 | 132 a | 2848 | 108 | 18,378 | 572 |
| Aerator/Band | 6590 | 188 b | 4506 | 141 | 3600 | 115 b | 2785 | 106 | 17,481 | 549 |
| Shallow Inject | 6741 | 188 b | 4662 | 143 | 3608 | 120 b | 2882 | 107 | 17,893 | 560 |
| CV | 9 | 7 | 6 | 6 | 7 | 5 | 5 | 6 | 4 | 4 |
| p-value | NS | 0.05 | NS | NS | NS | 0.005 | NS | NS | NS | NS |
| Period | Temperature | Wind Speed | Rain Total |
|---|---|---|---|
| °C | m s−1 | mm | |
| 2015 | |||
| day 1 | 18.5 | 2.6 | 0 |
| night 1 | 12.2 | 0.8 | 0 |
| day 2 | 18.0 | 1.3 | 0 |
| day 3 | 18.9 | 0.7 | 0 |
| 2016 | |||
| day 1 | 22.6 | 3.9 | 0 |
| night 1 | 17.9 | 1.9 | 6.9 |
| day 2 | 21.7 | 1.3 | 0 |
| day 3 | 18.6 | 3.5 | 0 |
Publisher’s Note: MDPI stays neutral with regard to jurisdictional claims in published maps and institutional affiliations. |
© 2021 by the authors. Licensee MDPI, Basel, Switzerland. This article is an open access article distributed under the terms and conditions of the Creative Commons Attribution (CC BY) license (https://creativecommons.org/licenses/by/4.0/).
Share and Cite
Sherman, J.; Young, E.; Jokela, W.; Cavadini, J. Impacts of Low Disturbance Liquid Dairy Manure Incorporation on Alfalfa Yield and Fluxes of Ammonia, Nitrous Oxide, and Methane. Agriculture 2021, 11, 750. https://doi.org/10.3390/agriculture11080750
Sherman J, Young E, Jokela W, Cavadini J. Impacts of Low Disturbance Liquid Dairy Manure Incorporation on Alfalfa Yield and Fluxes of Ammonia, Nitrous Oxide, and Methane. Agriculture. 2021; 11(8):750. https://doi.org/10.3390/agriculture11080750
Chicago/Turabian StyleSherman, Jessica, Eric Young, William Jokela, and Jason Cavadini. 2021. "Impacts of Low Disturbance Liquid Dairy Manure Incorporation on Alfalfa Yield and Fluxes of Ammonia, Nitrous Oxide, and Methane" Agriculture 11, no. 8: 750. https://doi.org/10.3390/agriculture11080750
APA StyleSherman, J., Young, E., Jokela, W., & Cavadini, J. (2021). Impacts of Low Disturbance Liquid Dairy Manure Incorporation on Alfalfa Yield and Fluxes of Ammonia, Nitrous Oxide, and Methane. Agriculture, 11(8), 750. https://doi.org/10.3390/agriculture11080750

