Weeds in Cover Crops: Context and Management Considerations
Abstract
1. Introduction
2. Disservices from Weeds in Cover Crops and Potential Services
3. Current Status of Weed Infestations and their Management in Cover Crops
4. Case Studies of Weeds in Cover Crops
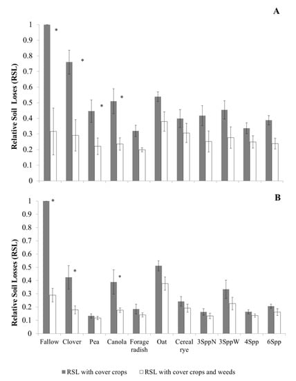
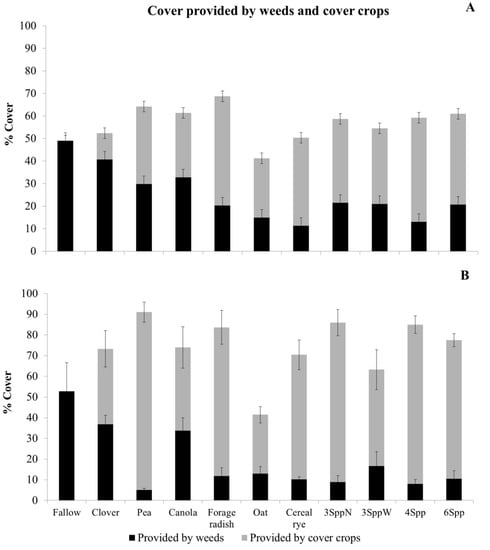
4.1. Weeds in Cover Crops Provide Ground Cover and Limit Erosion
4.1.1. Methods
4.1.2. Results and Discussion
4.2. Weeds in Cover Crops Improve Nitrogen Management
4.2.1. Methods
4.2.2. Results and Discussion
5. The Importance of Context
6. Management Recommendations
7. Conclusions
Supplementary Materials
Author Contributions
Funding
Institutional Review Board Statement
Data Availability Statement
Acknowledgments
Conflicts of Interest
References
- Millenium Ecosystem Assessment. Ecosystems and Human Well-Being. 2005. Available online: https://www.millenniumassessment.org/documents/document.356.aspx.pdf (accessed on 20 January 2021).
- Zhang, W.; Ricketts, T.H.; Kremen, C.; Carney, K.; Swinton, S.M. Ecosystem services and dis-services to agriculture. Ecol. Econ. 2007, 64, 253–260. [Google Scholar] [CrossRef]
- Finney, D.M.; Buyer, J.S.; Kaye, J.P. Living cover crops have immediate impacts on soil microbial community structure and function. J. Soil Water Conserv. 2017, 72, 361–373. [Google Scholar] [CrossRef]
- Shackleton, C.M.; Ruwanza, S.; Sanni, G.K.S.; Bennett, S.; De Lacy, P.; Modipa, R.; Mtati, N.; Sachikonye, M.; Thondhlana, G. Unpacking Pandora’s box: Understanding and categorising ecosystem disservices for environmental management and human wellbeing. Ecosystems 2016, 19, 587–600. [Google Scholar] [CrossRef]
- Gardiner, M.M.; O’Neal, M.E.; Landis, D.A. Intraguild predation and native lady beetle decline. PLoS ONE 2011, 6, e23576. [Google Scholar] [CrossRef]
- Oerke, E.C. Crop losses due to pests. J. Agric. Sci. 2006, 144, 31–43. [Google Scholar] [CrossRef]
- Soltani, N.; Dille, J.A.; Burke, I.C.; Everman, W.J.; Vangessel, J.; Davis, V.M.; Sikkema, P.H. Potential Corn Yield Losses from Weeds in North America. Weed Technol. 2016, 30, 979–984. [Google Scholar] [CrossRef]
- Soltani, N.; Dille, J.A.; Burke, I.C.; Everman, W.J.; Vangessel, J.; Davis, V.M.; Sikkema, P.H. Perspectives on Potential Soybean Yield Losses from Weeds in North America. Weed Technol. 2017, 31, 148–154. [Google Scholar] [CrossRef]
- Diehl, E.; Wolters, V.; Birkhofer, K. Arable weeds in organically managed wheat fields foster carabid beetles by resource- and structure-mediated effects. Arthropod. Plant. Interact. 2012, 6, 75–82. [Google Scholar] [CrossRef]
- Norris, R.F.; Kogan, M. Interactions between weeds, arthropod pests, and their natural enemies in managed ecosystems. Weed Sci. 2000, 48, 94–158. [Google Scholar] [CrossRef]
- Gibson, R.H.; Nelson, I.L.; Hopkins, G.W.; Hamlett, B.J.; Memmott, J. Pollinator webs, plant communities and the conservation of rare plants: Arable weeds as a case study. J. Appl. Ecol. 2006, 43, 246–257. [Google Scholar] [CrossRef]
- Bretagnolle, V.; Gaba, S. Weeds for bees? A review. Agron. Sustain. Dev. 2015, 35, 891–909. [Google Scholar] [CrossRef]
- Holland, J.M.; Hutchison, M.A.S.; Smith, B.; Aebischer, N.J. A review of invertebrates and seed-bearing plants as food for farmland birds in Europe. Ann. Appl. Biol. 2006, 148, 49–71. [Google Scholar] [CrossRef]
- Storkey, J.; Westbury, D.-B. Managing arable weeds for biodiversity. Pest Manag. Sci. 2007, 63, 517–523. [Google Scholar] [CrossRef] [PubMed]
- Marshall, E.J.P.; Brown, V.K.; Boatman, N.D.; Lutman, P.J.W.; Squire, G.R.; Ward, L.K. The role of weeds in supporting biological diversity within crop fields. Weed Res. 2003, 43, 77–89. [Google Scholar] [CrossRef]
- Franke, A.C.; Lotz, L.A.P.; Van Der Burg, W.J.; Van Overbeek, L. The role of arable weed seeds for agroecosystem functioning. Weed Res. 2009, 49, 131–141. [Google Scholar] [CrossRef]
- Östman, O.; Ekbom, B.; Bengtsson, J. Yield increase attributable to aphid predation by ground-living polyphagous natural enemies in spring barley in Sweden. Ecol. Econ. 2003, 45, 149–158. [Google Scholar] [CrossRef]
- Petit, S.; Boursault, A.; Le Guilloux, M.; Munier-Jolain, N.; Reboud, X. Weeds in agricultural landscapes. A review. Agron. Sustain. Dev. 2011, 31, 309–317. [Google Scholar] [CrossRef]
- Mézière, D.; Colbach, N.; Dessaint, F.; Granger, S. Which cropping systems to reconcile weed-related biodiversity and crop production in arable crops? An approach with simulation-based indicators. Eur. J. Agron. 2015, 68, 22–37. [Google Scholar] [CrossRef]
- Wortman, S.E. Weedy fallow as an alternative strategy for reducing nitrogen loss from annual cropping systems. Agron. Sustain. Dev. 2016, 36, 1–10. [Google Scholar] [CrossRef]
- Blaix, C.; Moonen, A.C.; Dostatny, D.F.; Izquierdo, J.; Le Corff, J.; Morrison, J.; Von Redwitz, C.; Schumacher, M.; Westerman, P.R. Quantification of regulating ecosystem services provided by weeds in annual cropping systems using a systematic map approach. Weed Res. 2018, 58, 151–164. [Google Scholar] [CrossRef]
- Gaba, S.; Chauvel, B.; Dessaint, F.; Bretagnolle, V.; Petit, S. Weed species richness in winter wheat increases with landscape heterogeneity. Agric. Ecosyst. Environ. 2010, 138, 318–323. [Google Scholar] [CrossRef]
- Kammerer, M.A.; Biddinger, D.J.; Rajotte, E.G.; Mortensen, D.A. Local Plant diversity across multiple habitats supports a diverse wild bee community in Pennsylvania apple orchards. Environ. Entomol. 2016, 45, 32–38. [Google Scholar] [CrossRef]
- Egan, J.F.; Mortensen, D.A. A comparison of land-sharing and land-sparing strategies for plant richness conservation in agricultural landscapes. Ecol. Appl. 2012, 22, 459–471. [Google Scholar] [CrossRef]
- Knezevic, S.Z.; Evans, S.P.; Blankenship, E.E.; Van Acker, R.C.; Lindquist, J.L. Critical period for weed control: The concept and data analysis. Weed Sci. 2002, 50, 773–786. [Google Scholar] [CrossRef]
- Baraibar, B.; Hunter, M.C.; Schipanski, M.E.; Hamilton, A.; Mortensen, D.A. Weed suppression in cover crop monocultures and mixtures. Weed Sci. 2017, 66, 121–133. [Google Scholar] [CrossRef]
- Finney, D.M.; Murrell, E.G.; White, C.M.; Baraibar, B.; Barbercheck, M.E.; Bradley, B.A.; Cornelisse, S.; Hunter, M.C.; Kaye, J.P.; Mortensen, D.A.; et al. Ecosystem services and disservices are bundled in simple and diverse cover cropping systems. Agric. Environ. Lett. 2017, 2, 170033. [Google Scholar] [CrossRef]
- O’Connell, S.; Grossman, J.M.; Hoyt, G.D.; Shy, W.; Bowen, S.; Marticorena, D.C.; Fager, K.L.; Creamer, N.G. A survey of cover crop practices and perceptions of sustainable farmers in North Carolina and the surrounding region. Renew. Agric. Food Syst. 2014, 30, 550–562. [Google Scholar] [CrossRef]
- Hamilton, A.V.; Mortensen, D.A.; Allen, M.K. The state of the cover crop nation and how to set realistic future goals for the popular conservation practice. J. Soil Water Conserv. 2017, 72, 111A–115A. [Google Scholar] [CrossRef]
- SARE. Annual Report on Cover Crops Survey. 2020. Available online: https://www.sare.org/publications/cover-crops/national-cover-crop-surveys/ (accessed on 22 January 2021).
- Wortman, S.E.; Francis, C.A.; Bernards, M.L.; Drijber, R.A.; Lindquist, J.L. Optimizing cover crop benefits with diverse mixtures and an alternative termination method. Agron. J. 2012, 104, 1425–1435. [Google Scholar] [CrossRef]
- Brennan, E.B.; Smith, R.F. Winter cover crop growth and weed suppression on the central coast of California. Weed Technol. 2005, 19, 1017–1024. [Google Scholar] [CrossRef]
- Webster, T.M.; Cardina, J.; White, A.D. Weed seed rain, soil seedbanks, and seedling recruitment in no-tillage crop rotations. Weed Sci. 2003, 51, 569–575. [Google Scholar] [CrossRef]
- Zhang, J.; Hamill, A.S.; Gardiner, I.O.; Weaver, S.E. Dependence of weed flora on the active soil seedbank. Weed Res. 1998, 38, 143–152. [Google Scholar] [CrossRef]
- Wisler, G.C.; Norris, R.F. Interactions between weeds and cultivated plants as related to management of plant pathogens. Weed Sci. 2005, 53, 914–917. [Google Scholar] [CrossRef]
- Kolander, T.M.; Bienapfl, J.C.; Kurle, J.E.; Malvick, D.K. Symptomatic and asymptomatic host range of fusarium virguliforme, the causal agent of soybean sudden death syndrome. Plant Dis. 2012, 96, 1148–1153. [Google Scholar] [CrossRef]
- Creech, J.E.; Webb, J.S.; Young, B.G.; Bond, J.P.; Harrison, S.K.; Ferris, V.R.; Faghihi, J.; Westphal, A.; Johnson, W.G. Development of soybean cyst nematode on henbit (Lamium amplexicaule) and purple deadnettle (Lamium purpureum). Weed Technol. 2007, 21, 1064–1070. [Google Scholar] [CrossRef]
- Sikes, B.A.; Powell, J.R.; Rillig, M.C. Deciphering the relative contributions of multiple functions within plant-microbe symbioses. Ecology 2010, 91, 1591–1597. [Google Scholar] [CrossRef]
- Li, J.; Meng, B.; Chai, H.; Yang, X.; Song, W.; Li, S.; Lu, A.; Zhang, T.; Sun, W. Arbuscular mycorrhizal fungi alleviate drought stress in C3 (Leymus chinensis) and C4 (Hemarthria altissima) grasses via altering antioxidant enzyme activities and photosynthesis. Front. Plant Sci. 2019, 10, 499. [Google Scholar] [CrossRef]
- Zhao, R.; Guo, W.; Bi, N.; Guo, J.; Wang, L.; Zhao, J.; Zhang, J. Arbuscular mycorrhizal fungi affect the growth, nutrient uptake and water status of maize (Zea mays L). grown in two types of coal mine spoils under drought stress. Appl. Soil Ecol. 2015, 88, 41–49. [Google Scholar] [CrossRef]
- Lekberg, Y.; Koide, R. Is plant performance limited by abundance of arbuscular mycorrhical fungi? A meta-analysis of studies published between 1988 and 2003. New Phytol. 2005, 168, 189–204. [Google Scholar] [CrossRef] [PubMed]
- Wortman, S.E.; Drijber, R.A.; Francis, C.A.; Lindquist, J.L. Arable weeds, cover crops, and tillage drive soil microbial community composition in organic cropping systems. Appl. Soil Ecol. 2013, 72, 232–241. [Google Scholar] [CrossRef]
- Navas, M.-L. Trait-based approaches to unravelling the assembly of weed communities and their impact on agro-ecosystem functioning. Weed Res. 2012, 52, 479–488. [Google Scholar] [CrossRef]
- Requier, F.; Odoux, J.F.; Tamic, T.; Moreau, N.; Henry, M.; Decourtye, A.; Bretagnolle, V. Honey bee diet in intensive farmland habitats reveals an unexpectedly high flower richness and a major role of weeds. Ecol. Appl. 2015, 25, 881–890. [Google Scholar] [CrossRef] [PubMed]
- Gift, N.; Hahn, R.R.; Mt Pleasant, J. Quackgrass (Elytrigia repens) managed as a cover crop in herbicide-resistant silage corn. Weed Biol. Manag. 2008, 8, 154–160. [Google Scholar] [CrossRef]
- Zhu, J.; Gantzer, C.; Anderson, S.; Beuselinck, P.; Alberts, E. Water use evaluation of winter cover crops for no-till soybeans. J. Soil Water Conserv. 1991, 46, 446–449. [Google Scholar]
- Johnson, G.A.; Kantar, M.B.; Betts, K.J.; Wyse, D.L. Field pennycress production and weed control in a double crop system with soybean in minnesota. Agron. J. 2015, 107, 532–540. [Google Scholar] [CrossRef]
- Hayden, Z.D.; Brainard, D.C.; Henshaw, B.; Ngouajio, M. Winter annual weed suppression in rye–vetch cover crop mixtures. Weed Technol. 2012, 26, 818–825. [Google Scholar] [CrossRef]
- Lawson, A.; Cogger, C.; Bary, A.; Fortuna, A.-M. Influence of seeding ratio, planting date, and termination date on rye-hairy vetch cover crop mixture performance under organic management. PLoS ONE 2015, 10, e0129597. [Google Scholar] [CrossRef]
- Baraibar, B.; Mortensen, D.A.; Hunter, M.C.; Barbercheck, M.E.; Kaye, J.P.; Finney, D.M.; Curran, W.S.; Bunchek, J.; White, C.M. Growing degree days and cover crop type explain59 weed biomass in winter cover crops. Agron. Sustain. Dev. 2018, 38, 1–9. [Google Scholar] [CrossRef]
- Osipitan, O.A.; Dille, J.A.; Assefa, Y.; Radicetti, E.; Ayeni, A.; Knezevic, S.Z. Impact of Cover Crop Management on Level of Weed Suppression: A Meta-Analysis. Crop Sci. 2019, 59, 833–842. [Google Scholar] [CrossRef]
- Adam, J.S.; Wallace, J.M.; Lingenfelter, D. Fall and spring herbicide programs for marestail in cereal rye. In Proceedings of the NEPPSC, Philadelphia, PA, USA, 6–9 January 2020; Volume 5. [Google Scholar]
- Loux, M. Late Fall Herbicide Treatments for Cover Crops? C.O.R.N Newsletter 36. Ohio State University. 2017. Available online: https://agcrops.osu.edu/newsletter/corn-newsletter/2017-36/late-fall-herbicide-treatments-cover-crops (accessed on 10 February 2021).
- Murrell, E.G.; Schipanski, M.E.; Finney, D.M.; Hunter, M.C.; Burgess, M.H.; Lachance, J.C.; Baraibar, B.; White, C.M.; Mortensen, D.A.; Kaye, J.P. Achieving diverse cover crop mixtures: Effects of planting date and seeding rate. Agron. J. 2017, 109, 259–271. [Google Scholar] [CrossRef]
- Zuazo, V.H.D.; Pleguezuelo, C.R.R. Soil-erosion and runoff prevention by plant covers. A review. Agron. Sustain. Dev. 2008, 28, 65–86. [Google Scholar] [CrossRef]
- Gyssels, G.; Poesen, J.; Bochet, E.; Li, Y. Impact of plant roots on the resistance of soils to erosion by water: A review. Prog. Phys. Geogr. 2005, 29, 189–217. [Google Scholar] [CrossRef]
- Mirsky, S.B.; Gallandt, E.R.; Mortensen, D.A.; Curran, W.S.; ShumwaY, D.L. Reducing the germinable weed seedbank with soil disturbance and cover crops. Weed Res. 2010, 50, 341–352. [Google Scholar] [CrossRef]
- Kaye, J.P.; Quemada, M. Using cover crops to mitigate and adapt to climate change. A review. Agron. Sustain. Dev. 2017, 37, 4. [Google Scholar] [CrossRef]
- White, C.M.; DuPont, S.T.; Hautau, M.; Hartman, D.; Finney, D.M.; Bradley, B.; LaChance, J.C.; Kaye, J.P. Managing the tradeoff between nitrogen supply and retention with cover crop mixtures. Agric. Ecosyst. Environ. 2017, 237, 121–133. [Google Scholar] [CrossRef]
- Finney, D.M.; White, C.M.; Kaye, J.P. Biomass production and carbon/nitrogen ratio influence ecosystem services from cover crop mixtures. Agron. J. 2016, 108, 39–52. [Google Scholar] [CrossRef]
- Peoples, M.B.; Herridge, D.F.; Ladha, J.K. Biological nitrogen fixation: An efficient source of nitrogen for sustainable agricultural production? Plant Soil Vol. 1995, 174, 3–28. [Google Scholar] [CrossRef]
- Tonitto, C.; David, M.B.; Drinkwater, L.E. Replacing bare fallows with cover crops in fertilizer-intensive cropping systems: A meta-analysis of crop yield and N dynamics. Agric. Ecosyst. Environ. 2006, 112, 58–72. [Google Scholar] [CrossRef]
- Shearin, A.F.; Chris Reberg-Horton, S.; Gallandt, E.R. Cover crop effects on the activity-density of the weed seed predator Harpalus rufipes (Coleoptera: Carabidae). Weed Sci. 2008, 56, 442–450. [Google Scholar] [CrossRef]
- Blubaugh, C.K.; Hagler, J.R.; Machtley, S.A.; Kaplan, I. Cover crops increase foraging activity of omnivorous predators in seed patches and facilitate weed biological control. Agric. Ecosyst. Environ. 2016, 231, 264–270. [Google Scholar] [CrossRef]
- Beres, Z.T.; Erns, E.E.; Ackley, B.A.; Loux, M.M.; Owen, M.D.K.; Snow, A.A. High levels of glyphosate resistance in Conyza canadensis from agricultural and non-agricultural sites in Ohio and Iowa. Sci. Rep. 2018, 8, 10483. [Google Scholar] [CrossRef]
- Essman, A.I.; Loux, M.M.; Lindsey, A.J.; Dobbels, A.F.; Regnier, E.E. The effects of integrating a cereal rye cover crop with herbicides on glyphosate-resistant horseweed (Conyza canadensis) in no-till soybean. Weed Sci. 2020, 68, 527–533. [Google Scholar] [CrossRef]
- Shergill, L.S.; Bish, M.D.; Biggs, M.E.; Bradley, K.W. Monitoring the changes in weed populations in a continuous glyphosate- and dicamba-resistant soybean system: A five-year field-scale investigation. Weed Technol. 2018, 32, 166–173. [Google Scholar] [CrossRef]
- Kummar, V.; Liu, R.; Stahlman, P.W. Differential sensitivity of Kansas Palmer amaranth populations to multiple herbicides. Agron. J. 2020, 112, 2152–2163. [Google Scholar] [CrossRef]
- Wallace, J.M.; Curran, W.S.; Mortensen, D.A. Cover crop effects on horseweed (Erigeron canadensis) density and size inequality at the time of herbicide exposure. Weed Sci. 2019, 67, 327–338. [Google Scholar] [CrossRef]
- Mirsky, S.B.; Curran, W.S.; Mortenseny, D.M.; Ryany, M.R.; Shumway, D.L. Timing of cover-crop management effects on weed suppression in no-till planted soybean using a roller-crimper. Weed Sci. 2011, 59, 380–389. [Google Scholar] [CrossRef]
- Bàrberi, P.; Bocci, G.; Carlesi, S.; Armengot, L.; Blanco-Moreno, J.M.; Sans, F.X. Linking species traits to agroecosystem services: A functional analysis of weed communities. Weed Res. 2018, 58, 76–88. [Google Scholar] [CrossRef]
- Storkey, J. A functional group approach to the management of UK arable weeds to support biological diversity. Weed Res. 2006, 46, 513–522. [Google Scholar] [CrossRef]
- Marten, G.C.; Andersen, R.N. Forage nutritive value and palatability of 12 common annual weeds. Crop Sci. 1975, 15, 821–827. [Google Scholar] [CrossRef]
- Temme, D.G.; Harvey, R.G.; Fawcett, R.S.; Young, A.W. Effects of annual weed control on alfalfa forage quality. Agron. J. 1979, 71, 51–54. [Google Scholar] [CrossRef]
- Cosgrove, D.R.; Barrett, M. Effects of weed control in established alfalfa (Medicago sativa) on forage yield and quality. Weed Sci. 1987, 35, 564–567. [Google Scholar] [CrossRef]
- Bell, C.E.; Guerrero, J.N.; Granados, E.Y. A Comparison of sheep grazing with herbicides for weed control in seedling alfalfa in the irrigated Sonoran Desert. J. Prod. Agric. 1996, 9, 123–129. [Google Scholar] [CrossRef]
- Brennan, E.B.; Boyd, N.S.; Smith, R.F.; Foster, P. Seeding rate and planting arrangement effects on growth and weed suppression of a legume-oat cover crop for organic vegetable systems. Agron. J. 2009, 101, 979–988. [Google Scholar] [CrossRef]
- Nord, E.A.; Ryan, M.R.; Curran, W.S.; Mortensen, D.A.; Mirsky, S.B. Effects of management type and timing on weed suppression in soybean no-till planted into rolled-crimped cereal rye. Weed Sci. 2012, 60, 624–633. [Google Scholar] [CrossRef]
- Nord, E.A.; Curran, W.S.; Mortensen, D.A.; Mirsky, S.B.; Jones, B.P. Integrating multiple tactics for managing weeds in high residue no-till soybean. Agron. J. 2011, 103, 1542–1551. [Google Scholar] [CrossRef]
- Chauhan, B.S.; Gill, G.; Preston, C. Influence of environmental factors on seed germination and seedling emergence of rigid ryegrass (Lolium rigidum). Weed Sci. 2006, 54, 1004–1012. [Google Scholar] [CrossRef]
- Cousens, R.; Moss, S.R. A model of the effects of cultivation on the vertical distribution of weed seeds within the soil. Weed Res. 1990, 30, 61–70. [Google Scholar] [CrossRef]
- Davis, A.S.; Anderson, K.I.; Hallett, S.G.; Renner, K.A. Weed seed mortality in soils with contrasting agricultural management histories. Weed Sci. 2006, 54, 291–297. [Google Scholar] [CrossRef]
- Gómez, R.; Liebman, M.; Munkvold, G. Weed seed decay in conventional and diversified cropping systems. Weed Res. 2014, 54, 13–25. [Google Scholar] [CrossRef]



| Location | Monocultures | Three-Species Mixture |
|---|---|---|
| 1 | Rye | Crimson clover * + forage radish + Austrian winter pea |
| 2 | Red clover | Austrian winter pea + crimson clover + triticale |
| 3 | Ladino clover (frost-seeded) | Ladino clover + red clover + sweet clover |
| 4 | Rye | Austrian winter pea + red clover + rye |
| Weed Services Possibly Outweighing Disservices | Weed Disservices Possibly Outweighing Services | |
|---|---|---|
| Crop rotation sequence | No cash crops in the rotation phenologically similar to cover crops | Phenologically similar crops in the rotation |
| Significant weed seed production | ||
| Low levels of weed seed predation | ||
| Weed is a potential host for pests of the subsequent crop | ||
| Weed identity or weed species traits | Less competitive weed species | Herbicide-resistant weeds |
| Very competitive weeds | ||
| Long-lived weed seeds | ||
| Perennial weeds | ||
| Cover crop use | As a green manure, the lower C:N ratio of weeds may improve N balance | As forage for livestock, unpalatable species should be avoided |
| Cover crop termination method | Chemical cover crop termination Non-chemical cover crop termination (rolling) with high weed suppression potential in the following crop | Insufficient cover crop biomass to become an effective mulch against weeds in the following crop Significant weed seed production |
Publisher’s Note: MDPI stays neutral with regard to jurisdictional claims in published maps and institutional affiliations. |
© 2021 by the authors. Licensee MDPI, Basel, Switzerland. This article is an open access article distributed under the terms and conditions of the Creative Commons Attribution (CC BY) license (http://creativecommons.org/licenses/by/4.0/).
Share and Cite
Baraibar, B.; White, C.M.; Hunter, M.C.; Finney, D.M.; Barbercheck, M.E.; Kaye, J.P.; Curran, W.S.; Bunchek, J.; Mortensen, D.A. Weeds in Cover Crops: Context and Management Considerations. Agriculture 2021, 11, 193. https://doi.org/10.3390/agriculture11030193
Baraibar B, White CM, Hunter MC, Finney DM, Barbercheck ME, Kaye JP, Curran WS, Bunchek J, Mortensen DA. Weeds in Cover Crops: Context and Management Considerations. Agriculture. 2021; 11(3):193. https://doi.org/10.3390/agriculture11030193
Chicago/Turabian StyleBaraibar, Barbara, Charles M. White, Mitchell C. Hunter, Denise M. Finney, Mary E. Barbercheck, Jason P. Kaye, William S. Curran, Jess Bunchek, and David A. Mortensen. 2021. "Weeds in Cover Crops: Context and Management Considerations" Agriculture 11, no. 3: 193. https://doi.org/10.3390/agriculture11030193
APA StyleBaraibar, B., White, C. M., Hunter, M. C., Finney, D. M., Barbercheck, M. E., Kaye, J. P., Curran, W. S., Bunchek, J., & Mortensen, D. A. (2021). Weeds in Cover Crops: Context and Management Considerations. Agriculture, 11(3), 193. https://doi.org/10.3390/agriculture11030193

