Impact of Climate Warming on Cotton Growth and Yields in China and Pakistan: A Regional Perspective
Abstract
:1. Introduction
2. Materials and Methods
2.1. Study Area
2.2. Climate and Phenology Data
2.3. Model Selection for Cotton Growth-Yield
2.4. Modelling Simulations and Future Scenarios
2.5. APSIM-Cotton Simulations, Calibration and Validation
2.6. Statistical Analysis
3. Results
3.1. Temporal Variations and Cotton Growth-Yield
3.2. Limiting Meteorological Factors for Cotton Growth, Development and Yields
3.3. Changes in the Length of Cotton Phenophases
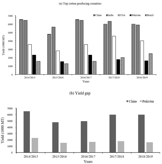
3.4. Climate Risk and Yield-Gap Response
3.5. APSIM-Cotton Model Calibration and Validation
4. Discussion
4.1. Plant Functioning under Extreme Temperature
4.2. Adaptation to Climate-Smart Management
4.3. Managing Future Climate Risks
4.4. Simulated Variations of Meteorological Factors
4.5. Climate-Smart Cotton, a Future Perspective
5. Conclusions
Supplementary Materials
Author Contributions
Funding
Data Availability Statement
Acknowledgments
Conflicts of Interest
References
- Rogelj, J.; Shindell, D.; Jiang, K.; Fifita, S.; Forster, P.; Ginzburg, V.; Handa, C.; Kheshgi, H.; Kobayashi, S.; Kriegler, E.; et al. Mitigation Pathways Compatible with 1.5 °C in the Context of Sustainable Development. IPCC SR1.5. 2018. Available online: https://www.ipcc.ch/ (accessed on 15 March 2018).
- Li, Z.; Yang, P.; Tang, H.; Wu, W.; Yin, H.; Liu, Z.; Zhang, L. Response of maize phenology to climate warming in Northeast China between 1990 and 2012. Reg. Environ. Chang. 2014, 14, 39–48. [Google Scholar] [CrossRef]
- Imran, M.A.; Ali, A.; Ashfaq, M.; Hassan, S.; Culas, R.; Ma, C. Impact of Climate Smart Agriculture (CSA) practices on cotton production and livelihood of farmers in Punjab, Pakistan. Sustainability 2018, 10, 2021. [Google Scholar] [CrossRef][Green Version]
- Zulfiqar, F.; Datta, A.; Thapa, G.B. Determinants and resource use efficiency of “better cotton”: An innovative cleaner production alternative. J. Clean. Prod. 2017, 166, 1372–1380. [Google Scholar] [CrossRef]
- FAO; IFAD; WFP. The State of Food Insecurity in the World. In Proceedings of the International Hunger Targets: Taking Stock of Uneven Progress, Rome, Italy, 5 September 2015. [Google Scholar]
- Aslam, A.Q.; Ahmad, I.; Ahmad, S.R.; Hussain, Y.; Hussain, M.S.; Shamshad, J.; Zaidi, S.J.A. Integrated climate change risk assessment and evaluation of adaptation perspective in southern Punjab, Pakistan. Sci. Total. Environ. 2018, 628, 1422–1436. [Google Scholar] [CrossRef] [PubMed]
- Ahmad, S.; Abbas, Q.; Abbas, G.; Fatima, Z.; Naz, S.; Younis, H.; Khan, R.; Nasim, W.; Habib ur Rehman, M.; Ahmad, A.; et al. Quantification of Climate Warming and Crop Management Impacts on Cotton Phenology. Plants 2017, 6, 7. [Google Scholar] [CrossRef][Green Version]
- Cisse, A.; Arshad, A.; Wang, X.; Yattara, F.; Hu, Y.; Cisse, A.; Arshad, A.; Wang, X.; Yattara, F.; Hu, Y. Contrasting Impacts of Long-Term Application of Biofertilizers and Organic Manure on Grain Yield of Winter Wheat in North China Plain. Agronomy 2019, 9, 312. [Google Scholar] [CrossRef][Green Version]
- Wang, Q.; Zhang, D.; Zhang, L.; Han, S.; van der Werf, W.; Evers, J.B.; Su, Z.; Anten, N.P.R. Spatial configuration drives complementary capture of light of the understory cotton in young jujube plantations. Field Crops Res. 2017, 213, 21–28. [Google Scholar] [CrossRef]
- Ahmad, S.; Nadeem, M.; Abbas, G.; Fatima, Z.; Zeb Khan, R.J.; Ahmed, M.; Ahmad, A.; Rasul, G.; Azam Khan, M. Quantification of the effects of climate warming and crop management on sugarcane phenology. Clim. Res. 2016, 71, 47–61. [Google Scholar] [CrossRef]
- Khan, N.; Shahid, S.; Bin Ismail, T.; Wang, X.J. Spatial distribution of unidirectional trends in temperature and temperature extremes in Pakistan. Theor. Appl. Climatol. 2019, 136, 899–913. [Google Scholar] [CrossRef]
- Arshad, A.; Ashraf, M.; Sundari, R.S.; Qamar, H.; Wajid, M.; Hasan, M. Vulnerability assessment of urban expansion and modelling green spaces to build heat waves risk resiliency in Karachi. Int. J. Disaster Risk Reduct. 2020, 46, 101468. [Google Scholar] [CrossRef]
- Ahmad, S.; Abbas, G.; Ahmed, M.; Fatima, Z.; Anjum, M.A.; Rasul, G.; Khan, M.A.; Hoogenboom, G. Climate warming and management impact on the change of phenology of the rice-wheat cropping system in Punjab, Pakistan. Field Crops Res. 2019, 230, 46–61. [Google Scholar] [CrossRef]
- Chao, C.; Yanmei, P.; Xuebiao, P.; Lizhen, Z. Impacts of Climate Change on Cotton Yield in China from 1961 to 2010 Based on Provincial Data. J. Meteorol. Res. 2015, 29, 515–524. [Google Scholar]
- Rehman, A.; Jingdong, L.; Chandio, A.A.; Hussain, I.; Wagan, S.A.; Memon, Q.U.A. Economic perspectives of cotton crop in Pakistan: A time series analysis (1970–2015) (Part 1). J. Saudi Soc. Agric. Sci. 2019, 18, 49–54. [Google Scholar] [CrossRef]
- Han, M.; Zhao, C.; Feng, G.; Yan, Y.; Sheng, Y. Evaluating the effects of mulch and irrigation amount on soil water distribution and root zone water balance using HYDRUS-2D. Water 2015, 7, 2622–2640. [Google Scholar] [CrossRef][Green Version]
- UNEP. UNEP Synthesis Report, The Cotton Sector in China; United Nations: Geneva, Switzerland, 2001. [Google Scholar]
- FAO. The State of Food and Agriculture 2016 (SOFA): Climate Change, Agriculture and Food Security; Food and Agriculture Organization: Rome, Italy, 2016. [Google Scholar]
- Ali, A.; Erenstein, O. Assessing farmer use of climate change adaptation practices and impacts on food security and poverty in Pakistan. Clim. Risk Manag. 2017, 16, 183–194. [Google Scholar] [CrossRef]
- Wang, X.; Zhang, L.; Evers, J.B.; Mao, L.; Wei, S.; Pan, X.; Zhao, X.; van der Werf, W.; Li, Z. Predicting the effects of environment and management on cotton fibre growth and quality: A functional-structural plant modelling approach. AoB Plants 2014, 6, plu040. [Google Scholar] [CrossRef]
- Wang, Z.; Chen, J.; Xing, F.; Han, Y.; Chen, F.; Zhang, L.; Li, Y.; Li, C. Response of cotton phenology to climate change on the North China Plain from 1981 to 2012. Sci. Rep. 2017, 7, 1–10. [Google Scholar] [CrossRef] [PubMed][Green Version]
- Habib-Ur-Rahman, M.H.; Ahmad, A.; Wang, X.; Wajid, A.; Nasim, W.; Hussain, M.; Ahmad, B.; Ahmad, I.; Ali, Z.; Ishaque, W.; et al. Multi-model projections of future climate and climate change impacts uncertainty assessment for cotton production in Pakistan. Agric. For. Meteorol. 2018, 253, 94–113. [Google Scholar] [CrossRef]
- Statista. World Cotton Production by Country; Statista: Hamburg, Germany, 2017; Available online: https://www.statista.com/ (accessed on 15 March 2017).
- Iqbal, M.; Ul-Allah, S.; Naeem, M.; Ijaz, M.; Sattar, A.; Sher, A. Response of cotton genotypes to water and heat stress: From field to genes. Euphytica 2017, 213, 1–11. [Google Scholar] [CrossRef]
- Amin, A.; Nasim, W.; Mubeen, M.; Sarwar, S.; Urich, P.; Ahmad, A.; Wajid, A.; Khaliq, T.; Rasul, F.; Hammad, H.M.; et al. Regional climate assessment of precipitation and temperature in Southern Punjab (Pakistan) using SimCLIM climate model for different temporal scales. Theor. Appl. Climatol. 2018, 131, 121–131. [Google Scholar] [CrossRef]
- Zulfiqar, F.; Thapa, G.B. Determinants and intensity of adoption of “better cotton” as an innovative cleaner production alternative. J. Clean. Prod. 2018, 172, 3468–3478. [Google Scholar] [CrossRef]
- Zhang, L.; van der Werf, W.; Zhang, S.; Li, B.; Spiertz, J.H.J. Temperature-mediated developmental delay may limit yield of cotton in relay intercrops with wheat. Field Crops Res. 2008, 106, 258–268. [Google Scholar] [CrossRef]
- Amin, A.; Nasim, W.; Mubeen, M.; Ahmad, A.; Nadeem, M.; Urich, P.; Fahad, S.; Ahmad, S.; Wajid, A.; Tabassum, F.; et al. Simulated CSM-CROPGRO-cotton yield under projected future climate by SimCLIM for southern Punjab, Pakistan. Agric. Syst. 2018, 167, 213–222. [Google Scholar] [CrossRef]
- Huang, J.; Ji, F. Effects of climate change on phenological trends and seed cotton yields in oasis of arid regions. Int. J. Biometeorol. 2015, 59, 877–888. [Google Scholar] [CrossRef] [PubMed]
- Zhang, L.; Van Der Werf, W.; Cao, W.; Li, B.; Pan, X.; Spiertz, J.H.J. Development and validation of SUCROS-cotton: A potential crop growth simulation model for cotton. NJAS Wagening. J. Life Sci. 2008, 56, 59–83. [Google Scholar] [CrossRef][Green Version]
- Zhang, D.; Zhang, L.; Liu, J.; Han, S.; Wang, Q.; Evers, J.; Liu, J.; van der Werf, W.; Li, L. Plant density affects light interception and yield in cotton grown as companion crop in young jujubefile plantations. Field Crops Res. 2014, 169, 132–139. [Google Scholar] [CrossRef]
- Raza, M.A.; Bin Khalid, M.H.; Zhang, X.; Feng, L.Y.; Khan, I.; Hassan, M.J.; Ahmed, M.; Ansar, M.; Chen, Y.K.; Fan, Y.F.; et al. Effect of planting patterns on yield, nutrient accumulation and distribution in maize and soybean under relay intercropping systems. Sci. Rep. 2019, 9, 1–14. [Google Scholar] [CrossRef][Green Version]
- Raza, M.A.; Feng, L.Y.; van der Werf, W.; Iqbal, N.; Khan, I.; Khan, A.; Din, A.M.U.; Naeem, M.; Meraj, T.A.; Hassan, M.J.; et al. Optimum strip width increases dry matter, nutrient accumulation, and seed yield of intercrops under the relay intercropping system. Food Energy Secur. 2020, 9, e199. [Google Scholar] [CrossRef][Green Version]
- Li, Y.; Yao, N.; Sahin, S.; Appels, W.M. Spatiotemporal variability of four precipitation-based drought indices in Xinjiang, China. Theor. Appl. Climatol. 2017, 129, 1017–1034. [Google Scholar] [CrossRef]
- Wang, B.; Zhang, M.; Wei, J.; Wang, S.; Li, S.; Ma, Q.; Li, X.; Pan, S. Changes in extreme events of temperature and precipitation over Xinjiang, northwest China, during 1960–2009. Quat. Int. 2013, 298, 141–151. [Google Scholar] [CrossRef]
- Zhou, X.; Bi, S.; Yang, Y.; Tian, F.; Ren, D. Comparison of ET estimations by the three-temperature model, SEBAL model and eddy covariance observations. J. Hydrol. 2014, 519, 769–776. [Google Scholar] [CrossRef]
- Gu, S.; Zhang, L.; Yan, Z.; Van Der Werf, W.; Evers, J.B. Quantifying within-plant spatial heterogeneity in carbohydrate availability in cotton using a local-pool model. Ann. Bot. 2018, 121, 1005–1017. [Google Scholar] [CrossRef] [PubMed]
- Ahmad, S.; Abbas, G.; Fatima, Z.; Khan, R.J.; Anjum, M.A.; Ahmed, M.; Khan, M.A.; Porter, C.H.; Hoogenboom, G. Quantification of the impacts of climate warming and crop management on canola phenology in Punjab, Pakistan. J. Agron. Crop Sci. 2017, 203, 442–452. [Google Scholar] [CrossRef]
- Zafar, S.A.; Noor, M.A.; Waqas, M.A.; Wang, X.; Shaheen, T.; Raza, M.; Rahman, M.U. Temperature Extremes in Cotton Production and Mitigation Strategies. In Past, Present and Future Trends in Cotton Breeding; IntechOpen: Rijeka, Croatia, 2018. [Google Scholar] [CrossRef][Green Version]
- Arshad, A.; Qamar, H.; Siti-Sundar, R.; Yue, Z.; Zubair, M.; Raza, M.A.; Habib-ur-Rehman, M.; Zhang, L. Phenotypic Plasticity of Spineless Safflower (Carthamus tinctorius L.) Cultivars in Response to Exogenous Application of Salicylic Acid under Rainfed Climate Conditions. Pak. J. Agric. Res. 2020, 33, 729–743. [Google Scholar]
- FAO. Planning, Implementing and Evaluating Climate-Smart Agriculture in Smallholder Farming Systems. The Experience of the MICCA Pilot Projects in Kenya and the United Republic of Tanzania. 2016. Available online: http://www.fao.org/3/a-i5805e.pdf (accessed on 21 January 2021).
- Maimaiti, M.M.; Li, X.Y.; Ai, X.T.; Zheng, J.Y.; Wang, J.D.; Tu, X.J.; Duo, L.K.; Liang, Y.J. The characteristic analysis of super-high yield cotton field in Xinjiang. Cott. Sci. 2012, 34, 31–35. [Google Scholar]
- Pettigrew, W.T. The effect of higher temperatures on cotton lint yield production and fiber quality. Crop Sci. 2008, 48, 278–285. [Google Scholar] [CrossRef][Green Version]
- Tian, L.W.; Cui, J.P.; Xu, H.J.; Guo, R.S.; Zhu, B. The analysis of relationship between supply and demand of Xinjiang sea island cotton (Gossypiumbarbadense L.) fibre in 2012. Cott. Sci. 2014, 1, 3–10. [Google Scholar]
- Mao, L.; Zhang, L.; Sun, X.; van der Werf, W.; Evers, J.B.; Zhao, X.; Zhang, S.; Song, X.; Li, Z. Use of the beta growth function to quantitatively characterize the effects of plant density and a growth regulator on growth and biomass partitioning in cotton. Field Crops Res. 2018, 224, 28–36. [Google Scholar] [CrossRef]
- Zhao, W.; Du, M.; Xu, D.; Lu, H.; Tian, X.; Li, Z. Interactions of single mepiquat chloride application at different growth stages with climate, cultivar, and plant population for cotton yield. Crop Sci. 2017, 57, 1713–1724. [Google Scholar] [CrossRef]
- Saleem, M.F.; Shakoor, A.; Shahid, M.; Cheema, M.A.; Shakeel, A.; Shahid, M.; Tahir, M.U.; Bilal, M.F. Removal of early fruit branches as potential regulator of Cry1Ac, antioxidants, senescence and yield in Bt. cotton. Ind. Crops Prod. 2018, 124, 885–898. [Google Scholar] [CrossRef]
- Wang, Q.; Han, S.; Zhang, L.; Zhang, N.; Van Der Werf, W.; Evers, J.; Sun, H.; Su, Z.; Zhang, S. Density responses and spatial distribution of cotton yield and yield components in jujube (Zizyphus jujube)/cotton (Gossypium hirsutum) agroforestry. Eur. J. Agron. 2016, 79, 58–65. [Google Scholar] [CrossRef][Green Version]











| Country | Location | Genotype Origin | Varieties |
|---|---|---|---|
| Pakistan | South Punjab (cotton planting region) | a | MNH-786a, CIM-448a |
| b | FDH-170b, FH-628b, FDH-170b | ||
| c | CIM-496c, Neelam-121c, CIM-465c | ||
| d | CRSM-38d, NIBGE-2d | ||
| e | NIBGE-1e, NIAB-846e | ||
| g | IR-1524, VH-305, NIAB-78, B-821, NIAB-26, FH-113, AGC 999, CIM 109, TS-103, CYTO-177, FH-87, FH-657, MNH-516, IR 3701, B 820, BH 118, AA 703, AC 134, MM 58, B 803, FVH 49, 149-F, S 12, FH 629, MVH 518, VS-13, Tarzan-1, FH-113, TSR-2375, NIAB 846, FH Lalazar, CIM 240, CIM 1100, | ||
| Central Punjab | a | CIM-506a, CIM-499a, BH-100a, CIM-482a, MNH-786a | |
| b | FDH-228b, Sitara-008, NIBGE-901 | ||
| c | CIM-534c, NIAB-111c | ||
| d | NIAB-846d, NIAB-777d, CIM-473d | ||
| e | NIAB-2008e, FH-901e, CIM-446e, CIM-554e, BH-160e | ||
| g | AGC 777, NIBGE 6, FS 631, CIM 240, MG-6, CIM 707, Sitara 12, S 12, MNH 554, FVH 57, CYTO 124, BH 3297, B 803, MNH 552, IR 1524, MS 240, IR 1274, MNH 998, FH 901, CIM 110, CIM 435, CIM 602, CIM 600, FH 142, TCD 3, MNH 93, VH 259, CIM 109, Sitara 005, SLH 8, FH 685, NS 141 | ||
| China | Southern Xinjiang | f | Xinhai-21, Xinluzhong-36, Xinluzhong-37, Xinluzhong-42, Xinluzhong-47 and Xinluzhong-54, |
| b | Xinhai-24, Xinhai-35 and Xinhai-36 | ||
| f | Xinluzao-36, Xinluzao-37, Xinluzao-41, Xinluzao-48, | ||
| Northern Xinjiang | b | Xinluzao-50 and Xinluzao-57 | |
| f | Xinluzao-37 |
| Climate Variables | China Cotton Region | Xinjiang Cotton Region | ||
|---|---|---|---|---|
| Present Regression Coefficient | Production Change (%) | Present Regression Coefficient | Production Change (%) | |
| ∆Tavg | −0.1% °C−1 | −0.1 | 10.0% °C−1 | 12.7 |
| ∆DTR | 10.4% °C−1 | −5.5 | 4.8% °C−1 | −4.2 |
| ∆Prcp | 4.4% (100 mm)−1 | −1.1 | 14.4% (100 mm)−1 | 1.5 |
| Treatment | Biomass (g/plant) | Na+ (mg/g) | Stand Establishment (%) | Lint Yield (kg ha−1) | Earliness (%) |
|---|---|---|---|---|---|
| No-mulching | 1.57c | 11.3a | 47.7c | 900c | 64b |
| Conventional mulching | 1.71b | 10b | 59.5b | 1000b | 71.4a |
| Early mulching | 1.88a | 9.2c | 66.4a | 1071a | 73a |
Publisher’s Note: MDPI stays neutral with regard to jurisdictional claims in published maps and institutional affiliations. |
© 2021 by the authors. Licensee MDPI, Basel, Switzerland. This article is an open access article distributed under the terms and conditions of the Creative Commons Attribution (CC BY) license (http://creativecommons.org/licenses/by/4.0/).
Share and Cite
Arshad, A.; Raza, M.A.; Zhang, Y.; Zhang, L.; Wang, X.; Ahmed, M.; Habib-ur-Rehman, M. Impact of Climate Warming on Cotton Growth and Yields in China and Pakistan: A Regional Perspective. Agriculture 2021, 11, 97. https://doi.org/10.3390/agriculture11020097
Arshad A, Raza MA, Zhang Y, Zhang L, Wang X, Ahmed M, Habib-ur-Rehman M. Impact of Climate Warming on Cotton Growth and Yields in China and Pakistan: A Regional Perspective. Agriculture. 2021; 11(2):97. https://doi.org/10.3390/agriculture11020097
Chicago/Turabian StyleArshad, Adnan, Muhammad Ali Raza, Yue Zhang, Lizhen Zhang, Xuejiao Wang, Mukhtar Ahmed, and Muhammad Habib-ur-Rehman. 2021. "Impact of Climate Warming on Cotton Growth and Yields in China and Pakistan: A Regional Perspective" Agriculture 11, no. 2: 97. https://doi.org/10.3390/agriculture11020097

