Vertical Distributions of Soil Nutrients and Their Stoichiometric Ratios as Affected by Long Term Grazing and Enclosing in a Semi-Arid Grassland of Inner Mongolia
Abstract
1. Introduction
2. Materials and Methods
2.1. Study Site and Experimental Design
2.2. Sampling and Analysis
2.3. Statistical Analysis
3. Results
3.1. Soil Nutrients
3.1.1. Contents of Soil SOC, TN, TP and TK
3.1.2. Contents of Soil Ca, Mg and S
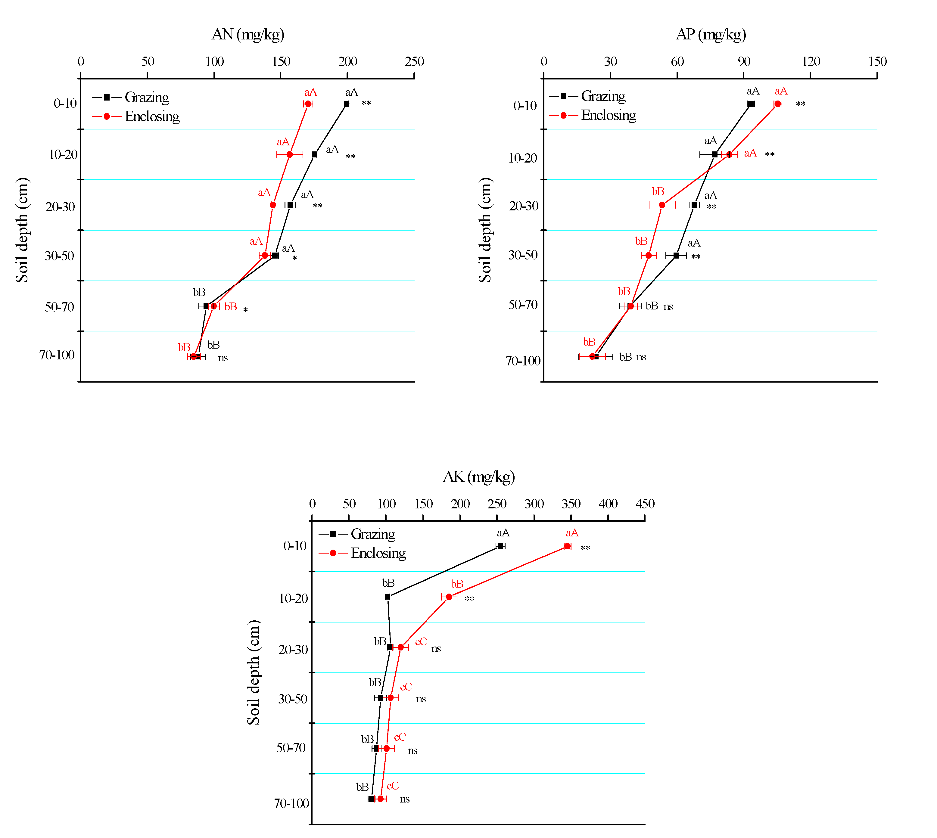
3.1.3. Contents of Soil AN, AP and AK
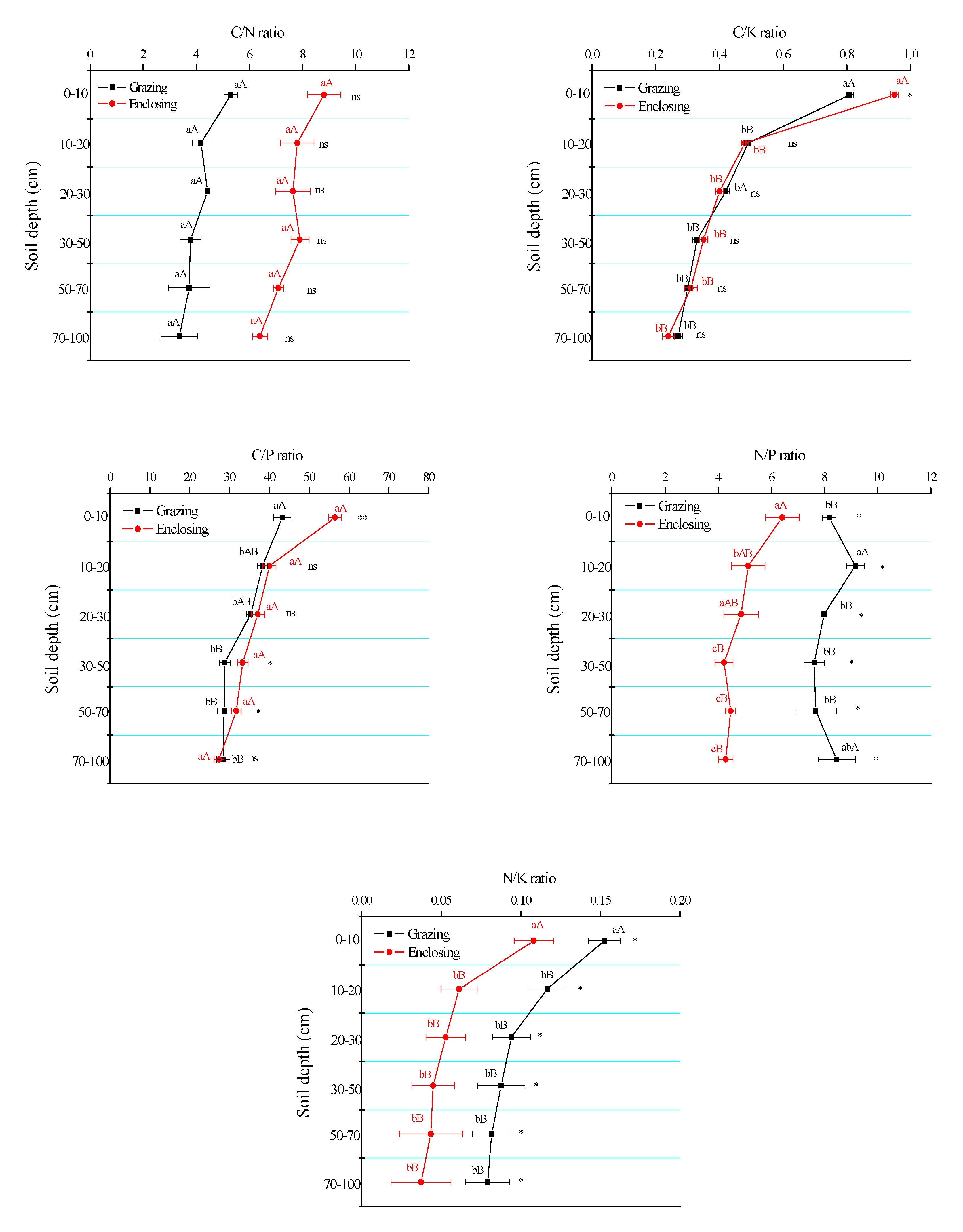
3.2. Stoichiometric Ratios of Soil Nutrients
3.3. Correlations of Soil Nutrient Contents and Their Stoichiometric Ratios
4. Discussion
4.1. Soil Nutrients
4.2. Soil Stoichiometric Ratios
5. Conclusions
Author Contributions
Funding
Conflicts of Interest
References
- Liu, J.H.; Wu, J.J.; Sua, H.B. Effects of grazing exclusion in Xilin Gol grassland differ between Regions. Ecol. Eng. 2017, 99, 271–281. [Google Scholar] [CrossRef]
- Mekuria, W.; Veldkamp, E.; Haile, M.; Nyssen, J.; Muys, B.; Gebrehiwot, K. Effectiveness of exclosures to restore degraded soils as a result of overgrazing in Tigray, Ethiopia. J. Arid Environ. 2007, 69, 270–284. [Google Scholar] [CrossRef]
- Su, H.; Liu, W.; Xu, H.; Wang, Z.S.; Zhang, H.F.; Hu, H.X.; Li, Y.G. Long-term livestock exclusion facilitates native woody plant encroachment in a sandy semiarid rangeland. Ecol. Evol. 2015, 5, 2445–2456. [Google Scholar] [CrossRef] [PubMed]
- Gillet, F.; Kohler, F.; Vandenberghe, C.; Buttler, A. Effect of dung deposition on small-scale patch structure and seasonal vegetation dynamics in mountain pastures. Agric. Ecosyst. Environ. 2010, 135, 34–41. [Google Scholar] [CrossRef]
- Xue, C.Y.; Jiao, F.; Zhang, H.D.; Ru, H.L. The characteristics of plant species and soil quality in the restoration process of the Loess Hilly Region. Pratacult. Sci. 2016, 33, 368–376. [Google Scholar]
- Baudron, F.; Mamo, M.; Tirfessa, T.; Argaw, A. Impact of farmland exclosure on the productivity and sustainability of a mixed crop-livestock system in the Central Rift Valley of Ethiopia. Agric. Ecosyst. Environ. 2015, 207, 109–118. [Google Scholar] [CrossRef]
- Bai, Y.F.; Wu, J.G.; Pan, Q.M.; Huang, J.H.; Wang, Q.B.; Li, F.S.; Buyantuyev, A.; Han, X.G. Positive linear relationship between productivity and diversity: Evidence from the Eurasian steppe. J. Appl. Ecol. 2007, 44, 1023–1034. [Google Scholar] [CrossRef]
- Frank, D.A.; Evans, R.D. Effects of native grazers on grassland N cycling in Yellowstone National Park. Ecology 1997, 78, 2238–2248. [Google Scholar] [CrossRef]
- Deléglise, C.; Loucougaray, G.; Alard, D. Effects of grazing exclusion on the spatial variability of subalpine plant communities: A multiscale approach. Basic Appl. Ecol. 2011, 12, 609–619. [Google Scholar] [CrossRef]
- Reeder, J.D.; Franks, C.D.; Milchunas, D.G. Root Biomass and Microbial Processes. Potential of U.S. Grazing Lands to Sequester Carbon and Mitigate the Greenhouse Effect; Lewis Publishers: New York, NY, USA, 2001; pp. 139–166. [Google Scholar]
- Paul, E. Nitrogen cycling in terrestrial ecosystems. Environ. Biogeochem. 1976, 1, 225–243. [Google Scholar]
- Bing, H.J.; Wu, Y.H.; Zhou, J.; Sun, H.Y.; Luo, J.; Wang, J.P.; Yu, D. Stoichiometric variation of carbon, nitrogen, and phosphorus in soils and its implication for nutrient limitation in alpine ecosystem of Eastern Tibetan Plateau. J. Soils Sediments 2015, 16, 405–416. [Google Scholar] [CrossRef]
- Gao, Y.; He, N.; Yu, G.-R.; Chen, W.; Wang, Q. Long-term effects of different land use types on C, N, and P stoichiometry and storage in subtropical ecosystems: A case study in China. Ecol. Eng. 2014, 67, 171–181. [Google Scholar] [CrossRef]
- Wang, M.M.; Chen, H.S.; Zhang, W.; Wang, K.L. Soil nutrients and stoichiometric ratios as affected by land use and lithology at country scale in a karst area, southwest China. Sci. Total Environ. 2018, 619–620, 1299–1307. [Google Scholar] [CrossRef] [PubMed]
- Tian, H.Q.; Chen, G.S.; Zhang, C.; Melillo, J.M.; Hall, C.A. Pattern and variation of C:N:P ratios in China’s soils: A synthesis of observational data. Biogeochemistry 2010, 98, 139–151. [Google Scholar] [CrossRef]
- Xu, X.F.; Thornton, P.E.; Post, W.M. A global analysis of soil microbial biomass carbon, nitrogen and phosphorus in terrestrial ecosystems. Glob. Ecol. Biogeogr. 2013, 22, 737–749. [Google Scholar] [CrossRef]
- Cools, N.; Vesterdal, L.; De Vos, B.; Vanguelova, E.; Hansen, K. Tree species is the major factor explaining C:N ratios in European forest soils. For. Ecol. Manag. 2014, 311, 3–16. [Google Scholar] [CrossRef]
- Fan, Y.M.; Wu, H.Q.; Jin, G.L.; Xie, Y. Effects of Enclosure on stoichiometric characteristics of C, N, P in desert grassland ecosystem. Chin. J. Grassl. 2018, 40, 76–81. [Google Scholar]
- Tang, Z.; Xu, W.; Zhou, G.; Bai, Y.; Li, J.; Tang, X.; Chen, D.; Liu, Q.; Ma, W.; Xiong, G.; et al. Patterns of plant carbon, nitrogen, and phosphorus concentration in relation to productivity in China’s terrestrial ecosystems. Proc. Natl. Acad. Sci. USA 2018, 115, 4033–4038. [Google Scholar] [CrossRef]
- Ågren, G.I. The C:N:P stoichiometry of autotrophs-theory and observations. Ecol. Lett. 2004, 7, 185–191. [Google Scholar] [CrossRef]
- Liu, X.; Ma, J.; Ma, Z.W.; Li, L.H. Soil nutrient contents and stoichiometry as affected by land-use in an agro-pastoral region of northwest China. Catena 2017, 150, 146–153. [Google Scholar] [CrossRef]
- Sardans, J.; Peñuelas, J. Climate and taxonomy underlie different elemental concentrations and stoichiometries of forest species: The optimum “biogeochemical niche”. Plant Ecol. 2014, 215, 441–455. [Google Scholar] [CrossRef] [PubMed]
- Huang, Z.Y.; Chen, J.; Ai, X.Y.; Li, R.R.; Ai, Y.W.; Li, W. The texture, structure and nutrient availability of artificial soil on cut slopes restored with OSSS-Influence of restoration time. J. Environ. Manag. 2017, 200, 502–510. [Google Scholar] [CrossRef] [PubMed]
- Tian, L.M.; Zhao, L.; Wu, X.D.; Fang, H.B.; Zhao, Y.H.; Hu, G.J.; Yue, G.Y.; Sheng, Y.; Wu, J.C.; Chen, J.; et al. Soil moisture and texture primarily control the soil nutrient stoichiometry across the Tibetan grassland. Sci. Total Environ. 2018, 622–623, 192–202. [Google Scholar] [CrossRef] [PubMed]
- Liang, X.; Liu, S.; Wang, H.; Wang, J. Variation of carbon and nitrogen stoichiometry along a chronosequence of natural temperate forest in northeastern China. J. Plant Ecol. 2018, 11, 339–350. [Google Scholar] [CrossRef]
- Fan, H.B.; Wu, J.P.; Liu, W.F.; Yuan, Y.H.; Hu, L.; Cai, Q.K. Linkages of plant and soil C:N:P stoichiometry and their relationships to forest growth in subtropical plantations. Plant Soil 2015, 392, 127–138. [Google Scholar] [CrossRef]
- Bai, Y.F.; Han, X.G.; Wu, J.G.; Chen, Z.Z.; Li, L.H. Ecosystem stability and compensatory effects in the Inner Mongolia grassland. Nature 2004, 431, 181–184. [Google Scholar] [CrossRef]
- Bai, Y.F.; Wu, J.G.; Clark, C.M.; Naeem, S.; Pan, Q.M.; Huang, J.H.; Zhang, L.X.; Han, X.G. Tradeoffs and thresholds in the effects of nitrogen addition on biodiversity and ecosystem functioning: Evidence from Inner Mongolia grasslands. Glob. Chang. Biol. 2010, 16, 358–372. [Google Scholar] [CrossRef]
- Hoffmann, C.; Giese, M.; Dickhoefer, U. Effects of grazing and climate variability on grassland ecosystem functions in Inner Mongolia: Synthesis of a 6 year grazing experiment. J. Arid Environ. 2016, 135, 50–63. [Google Scholar] [CrossRef]
- Lu, R.K. Analysis Methods of Soil Science and Agricultural Chemistry; Agriculture Science and Technology Press: Beijing, China, 1999. [Google Scholar]
- Wang, W.; Sardans, J.; Zeng, C.; Zhong, C.; Li, Y.; Peñuelas, J. Responses of soil nutrient concentrations and stoichiometry to different human land uses in a subtropical tidal wetland. Geoderma 2014, 232, 459–470. [Google Scholar] [CrossRef]
- Savadogo, P.; Sawadogo, L.; Tiveau, D. Effects of grazing intensity and prescribed fire on soil physical and hydrological properties and pasture yield in the savanna woodlands of Burkina Faso. Agric. Ecosyst. Environ. 2007, 118, 80–92. [Google Scholar] [CrossRef]
- Dickinson, C.H.; Underhay, V.S.H.; Ross, V. Effect of season, soil fauna and water content on the decomposition of cattle dung pats. New Phytol. 1981, 88, 129–141. [Google Scholar] [CrossRef]
- Bardgett, R.D.; Wardle, D.A.; Yeates, G.W. Linking aboveground and below-ground interactions: How plant responses to foliar herbivory influence soil organisms. Soil Biol. Biochem. 1998, 30, 1867–1878. [Google Scholar] [CrossRef]
- Hamilton, E.W.; Frank, D.A. Can plants stimulate soil microbes and their own nutrient supply? Evidence from a grazing tolerant grass. Ecology 2001, 82, 2397–2402. [Google Scholar] [CrossRef]
- Jobbágy, E.G.; Jackson, R.B. The vertical distribution of soil organic carbon and its relation to climate and vegetation. Ecol. Appl. 2000, 10, 423–436. [Google Scholar] [CrossRef]
- Wang, Z.; Wang, Z.Y.; Han, Q.F.; Li, W.J.; Han, L.N.; Ding, R.X.; Jia, Z.K.; Yang, B.P. Soil carbon and nitrogen variation characteristics of Alfalfa grassland in Loess Plateau Area. Acta Agrestia Sin. 2013, 21, 1074–1079. [Google Scholar]
- Zhang, L.X.; Fan, J.W.; Zhang, W.Y.; Tang, F.P. Impact of the Beijing and Tianjin Sand Source Control Project on the grassland soil organic carbon storage: A case study of Xilingol League, Inner Mongolia, China. Chin. J. Appl. Ecol. 2014, 25, 374–380. [Google Scholar]
- Yin, X.R.; Liang, C.Z.; Wang, L.X.; Wang, W.; Liu, Z.L.; Liu, X.P. Ecological stoichiometry of plant nutrients at different restoration succession stages in typical steppe of Inner Mongolia, China. J. Plant Ecol. 2010, 34, 39–47. [Google Scholar] [CrossRef]
- Bui, E.N.; Henderson, B.L. C:N:P stoichiometry in Australian soils with respect to vegetation and environmental factors. Plant Soil 2013, 373, 553–568. [Google Scholar] [CrossRef]
- Liu, W.J.; Chen, S.Y.; Qin, X. Storage, patterns, and control of soil organic carbon and nitrogen in the northeastern margin of the Qinghai-Tibetan Plateau. Environ. Res. Lett. 2012, 7, 035401. [Google Scholar] [CrossRef]
- Yang, Y.; Fang, J.; Guo, D.; Ji, C.; Ma, W. Vertical patterns of soil carbon, nitrogen and carbon: Nitrogen stoichiometry in Tibetan grasslands. Biogeosci. Discuss. 2010, 7, 1–24. [Google Scholar] [CrossRef]
- Ågren, G.I. Stoichiometry and nutrition of plant growth in natural communities. Annu. Rev. Ecol. Evol. Syst. 2008, 39, 153–170. [Google Scholar] [CrossRef]
- Tian, H.; Gai, J.P.; Zhang, J.L.; Christie, P.; Li, X.L. Arbuscular mycorrhizal fungi associated with wild forage plants in typical steppe of eastern Inner Mongolia. Eur. J. Soil Biol. 2009, 45, 321–327. [Google Scholar] [CrossRef]
- Zhu, Q.L.; Xing, X.Y.; Zhang, H.; An, S.S. Soil ecological stoichiometry under different vegetation area on loess hilly-gully region. Acta Ecol. Sin. 2013, 33, 4674–4682. [Google Scholar]
- Güsewell, S.; Koerselman, W.; Verhoeven, J.T.A. Biomass N:P ratios as indicators of nutrient limitation for plant populations in wetlands. Ecol. Appl. 2003, 13, 372–384. [Google Scholar] [CrossRef]
- Wu, W.; He, X.D.; Zhou, Q.X. Review on N:P Stoichiometry in Eco-system. J. Desert Res. 2010, 30, 296–302. [Google Scholar] [CrossRef]
- Wassen, M.J.; Olde Venterink, H.G.M.; De Swart, E.O.A.M. Nutrient concentrations in mire vegetation as measure of nutrient limitation in mire ecosystems. J. Veg. Sci. 1995, 6, 5–16. [Google Scholar] [CrossRef]
- Zhao, F.Z.; Kang, D.; Han, X.H.; Yang, G.H.; Feng, Y.Z.; Ren, G.X. Soil stoichiometry and carbon storage in long-term afforestation soil affected by understory vegetation diversity. Ecol. Eng. 2015, 74, 415–422. [Google Scholar] [CrossRef]
- Yin, Y.L.; Wang, Y.Q.; Li, S.X. Effects of enclosing on soil microbial community diversity and soil stoichiometric characteristics in a degraded alpine meadow. Chin. J. Appl. Ecol. 2019, 30, 127–136. [Google Scholar]
- McNaughton, S.J. Ecology of a grazing ecosystem: The Serengeti. Ecol. Monogr. 1985, 55, 259–294. [Google Scholar] [CrossRef]
- Frank, A.S.K.; Wardle, G.M.; Dickman, C.R.; Greenville, A.C. Habitat- and rainfall-dependent biodiversity responses to cattle removal in an arid woodland–grassland environment. Ecol. Appl. 2014, 24, 2013–2028. [Google Scholar] [CrossRef]
- Ding, X.H.; Gong, L.; Wang, D.B.; Wu, X.; Liu, G.H. Grazing effects on eco-stoichiometry of plant and soil in Hulunbeir, Inner Mogolia. Acta Ecol. Sin. 2012, 32, 4722–4730. [Google Scholar] [CrossRef]
- Janssen, B.H. Nitrogen mineralization in relation to C:N ratio and decomposability of organic materials. Plant Soil 1996, 181, 39–45. [Google Scholar] [CrossRef]




| SOC | TN | TP | TK | Ca | Mg | S | AN | AP | AK | C/N | C/P | C/K | N/P | N/K | |
|---|---|---|---|---|---|---|---|---|---|---|---|---|---|---|---|
| SOC | 1.000 | ||||||||||||||
| TN | 0.661 * | 1.000 | |||||||||||||
| TP | 0.954 ** | 0.792 ** | 1.000 | ||||||||||||
| TK | −0.559 | −0.841 ** | −0.700 * | 1.000 | |||||||||||
| Ca | 0.365 | 0.793 ** | 0.510 | −0.792 ** | 1.000 | ||||||||||
| Mg | 0.827 ** | 0.923 ** | 0.902 ** | −0.815 ** | 0.778 ** | 1.000 | |||||||||
| S | 0.897 ** | 0.890 ** | 0.961 ** | −0.765 ** | 0.684 * | 0.963 ** | 1.000 | ||||||||
| AN | 0.772 ** | 0.707* | 0.852 ** | −0.544 | 0.240 | 0.697 * | 0.764 ** | 1.000 | |||||||
| AP | 0.904 ** | 0.689 * | 0.915 ** | −0.493 | 0.220 | 0.741 ** | 0.828 ** | 0.919 ** | 1.000 | ||||||
| AK | 0.962 ** | 0.508 | 0.887 ** | −0.460 | 0.301 | 0.750 ** | 0.813 ** | 0.626 * | 0.817 ** | 1.000 | |||||
| C/N | 0.414 | −0.391 | 0.231 | 0.331 | −0.526 | −0.117 | 0.025 | 0.179 | 0.303 | 0.525 | 1.000 | ||||
| C/P | 0.968 ** | 0.518 | 0.865 ** | −0.377 | 0.170 | 0.686 * | 0.780 ** | 0.734 ** | 0.888 ** | 0.933 ** | 0.547 | 1.000 | |||
| C/K | 0.998 ** | 0.695 * | 0.966 ** | −0.612 * | 0.418 | 0.856 ** | 0.916 ** | 0.775 ** | 0.897 ** | 0.957 ** | 0.372 | 0.951 ** | 1.000 | ||
| N/P | 0.184 | 0.826 ** | 0.323 | −0.633 * | 0.731 ** | 0.607 * | 0.516 | 0.322 | 0.268 | 0.015 | −0.795 ** | 0.063 | 0.220 | 1.000 | |
| N/K | 0.667 * | 0.998 ** | 0.804 ** | −0.866 ** | 0.807 ** | 0.931 ** | 0.896 ** | 0.708 ** | 0.684 * | 0.520 | −0.379 | 0.516 | 0.704 * | 0.807 ** | 1.000 |
© 2020 by the authors. Licensee MDPI, Basel, Switzerland. This article is an open access article distributed under the terms and conditions of the Creative Commons Attribution (CC BY) license (http://creativecommons.org/licenses/by/4.0/).
Share and Cite
Hu, J.; Zhou, D.; Li, Q.; Wang, Q. Vertical Distributions of Soil Nutrients and Their Stoichiometric Ratios as Affected by Long Term Grazing and Enclosing in a Semi-Arid Grassland of Inner Mongolia. Agriculture 2020, 10, 382. https://doi.org/10.3390/agriculture10090382
Hu J, Zhou D, Li Q, Wang Q. Vertical Distributions of Soil Nutrients and Their Stoichiometric Ratios as Affected by Long Term Grazing and Enclosing in a Semi-Arid Grassland of Inner Mongolia. Agriculture. 2020; 10(9):382. https://doi.org/10.3390/agriculture10090382
Chicago/Turabian StyleHu, Juan, Daowei Zhou, Qiang Li, and Qicun Wang. 2020. "Vertical Distributions of Soil Nutrients and Their Stoichiometric Ratios as Affected by Long Term Grazing and Enclosing in a Semi-Arid Grassland of Inner Mongolia" Agriculture 10, no. 9: 382. https://doi.org/10.3390/agriculture10090382
APA StyleHu, J., Zhou, D., Li, Q., & Wang, Q. (2020). Vertical Distributions of Soil Nutrients and Their Stoichiometric Ratios as Affected by Long Term Grazing and Enclosing in a Semi-Arid Grassland of Inner Mongolia. Agriculture, 10(9), 382. https://doi.org/10.3390/agriculture10090382
