Sleep Impairment and Psychological Distress among Patients with Inflammatory Bowel Disease—beyond the Obvious
Abstract
1. Introduction
2. Materials and Methods
2.1. Sample Size Calculation
2.2. Subject Recruitment
2.3. Evaluated Parameters
2.4. Description of Instruments Used for Assessment of Sleep and Psychological Impairment
2.5. Statistical Analysis
2.6. Ethical Considerations
3. Results
3.1. Descriptive Statistics
3.2. Sleep Quality among Studied Groups
3.3. Influence of Disease Activity on Quality of Sleep
3.4. Exploring the Link between Sleep Impairment and Various Patient-Related Parameters
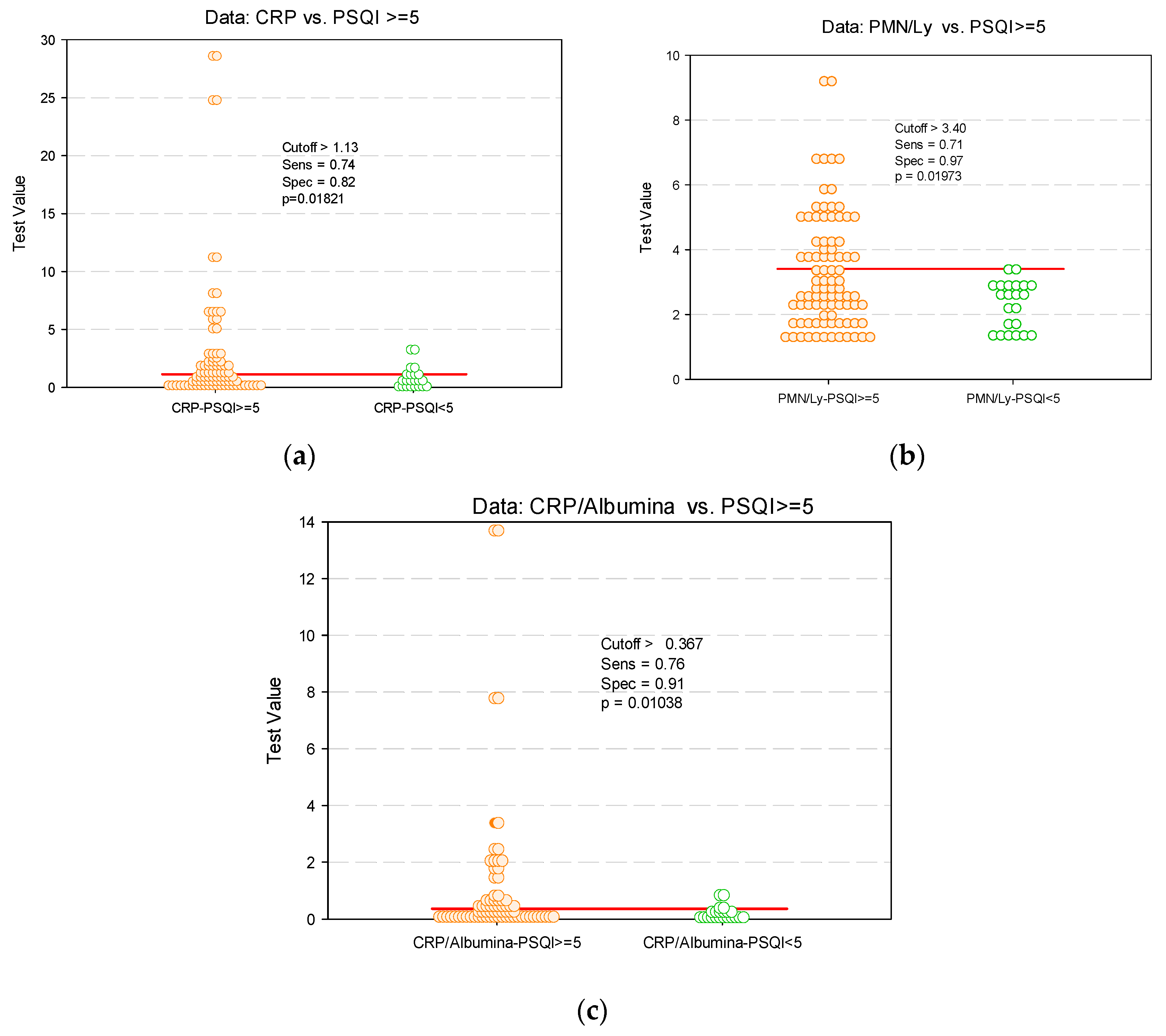
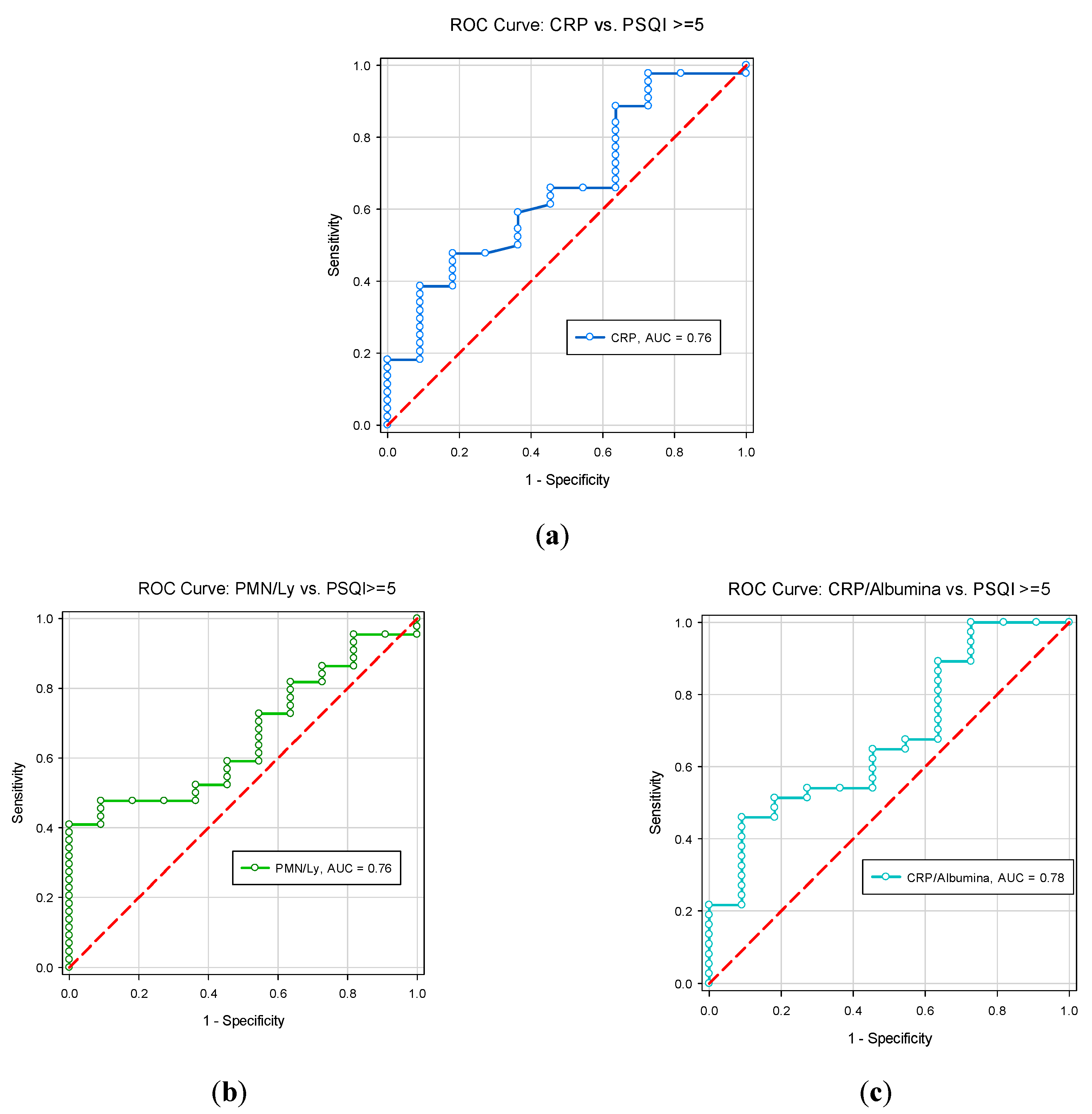
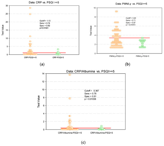
3.5. Identifying Cut-Off Values of Various Parameters as Predictors of Impaired Sleep
3.6. Exploring the Link between Sleep Impairment and Psychological Distress
3.7. Highlighting Particular Aspects Related to PSQI Components
3.8. Influence of Therapy on Sleep Quality
4. Discussion
5. Conclusions
Author Contributions
Funding
Acknowledgments
Conflicts of Interest
References
- Loddo, I.; Romano, C. Inflammatory bowel disease: Genetics, epigenetics, and pathogenesis. Front. Immunol. 2015, 6, 551. [Google Scholar] [CrossRef] [PubMed]
- Qazi, T.; Farraye, F.A. Sleep and inflammatory bowel disease: An important bi-directional relationship. Inflamm. Bowel Dis. 2019, 25, 843–852. [Google Scholar] [CrossRef] [PubMed]
- Ananthakrishnan, A.N.; Khalili, H.; Konijeti, G.G.; Higuchi, L.M.; de Silva, P.; Fuchs, C.S.; Richter, J.M.; Schernhammer, E.S.; Chan, A.T. Sleep duration affects risk for ulcerative colitis: A prospective cohort study. Clin. Gastroenterol. Hepatol. 2014, 12, 1879–1886. [Google Scholar] [CrossRef] [PubMed]
- Knowles, S.R.; Graff, L.A.; Wilding, H.; Hewitt, C.; Keefer, L.; Mikocka-Walus, A. Quality of life in inflammatory bowel disease: A systematic review and meta-analyses—Part I. Inflamm. Bowel Dis. 2018, 24, 742–751. [Google Scholar] [CrossRef] [PubMed]
- Ali, T.; Madhoun, M.F.; Orr, W.C.; Rubin, D.T. Assessment of the relationship between quality of sleep and disease activity in inflammatory bowel disease patients. Inflamm. Bowel Dis. 2013, 19, 2440–2443. [Google Scholar] [CrossRef] [PubMed]
- Ranjbaran, Z.; Keefer, L.; Farhadi, A.; Stepanski, E.; Sedghi, S.; Keshavarzian, A. Impact of sleep disturbances in inflammatory bowel disease. J. Gastroenterol. Hepatol. 2007, 22, 1748–1753. [Google Scholar] [CrossRef] [PubMed]
- Keefer, L.; Stepanski, E.J.; Ranjbaran, Z.; Benson, L.M.; Keshavarzian, A. An initial report of sleep disturbance in inactive inflammatory bowel disease. J. Clin. Sleep Med. 2006, 2, 409–416. [Google Scholar] [CrossRef] [PubMed]
- Habibi, F.; Mahdavi, S.B.; Khaniabadi, B.M.; Habibi, M.E.; Gharavinia, A.; Baghaei, A.; Emami, M.H. Sleep quality and associated factors in Iranian inflammatory bowel disease patients. J. Res. Med. Sci. 2019, 24, 59. [Google Scholar] [CrossRef] [PubMed]
- Kryger, M.; Roth, T.; Dement, W. Principles and Practice of Sleep Medicine: Expert Consult, Premium Edition 5th ed.; Elsevier Saunders: St Louis, MO, USA, 2010. [Google Scholar]
- Ali, T.; Orr, W. Sleep disturbances and inflammatory bowel disease. Inflamm. Bowel Dis. 2014, 20, 1986–1995. [Google Scholar] [CrossRef] [PubMed]
- Buysse, D.J.; Reynolds, C.F.; Monk, T.H.; Berman, S.R.; Kupfer, D.J. The Pittsburgh Sleep Quality Index: A new instrument for psychiatric practice and research. Psychiatry Res. 1989, 28, 193–213. [Google Scholar] [CrossRef]
- Ibáñez, V.; Silva, J.; Cauli, O. A survey on sleep assessment methods. Peer J. 2018, 6, e4849. [Google Scholar] [CrossRef] [PubMed]
- Zigmond, A.S.; Snaith, R.P. The hospital anxiety and depression scale. Acta. Psychiatr. Scand. 1983, 67, 361–370. [Google Scholar] [CrossRef] [PubMed]
- Sobolewska-Wlodarczyk, A.; Wlodarczyk, M.; Banasik, J.; Gasiorowska, A.; Wisniewska-Jarosinska, M.; Fichna, J. Sleep disturbance and disease activity in adult patients with inflammatory bowel disease. J. Physiol. Pharmacol. 2018, 69, 423–428. [Google Scholar] [CrossRef]
- Marinelli, C.; Savarino, E.V.; Marsilio, I.; Lorenzon, G.; Gavaruzzi, T.; D’Incà, R.; Zingone, F. Sleep disturbance in inflammatory bowel disease: Prevalence and risk factors—A cross-sectional study. Scie. Rep. 2020, 10, 507. [Google Scholar] [CrossRef] [PubMed]
- Hood, M.M.; Wilson, R.; Gorenz, A.; Jedel, S.; Raeisi, S.; Hobfoll, S.; Keshavarzian, A. Sleep quality in ulcerative colitis: Associations with inflammation, psychological distress, and quality of life. Int. J. Behav. Med. 2018, 25, 517–525. [Google Scholar] [CrossRef] [PubMed]
- Ananthakrishnan, A.N.; Long, M.D.; Martin, C.F.; Sandler, R.S.; Kappelman, M.D. Sleep disturbance and risk of active disease in patients with Crohn’s disease and ulcerative colitis. Clin. Gastroenterol. Hepatol. 2013, 11, 965–971. [Google Scholar] [CrossRef] [PubMed]
- Sofia, M.A.; Lipowska, A.M.; Perez, E.Y.; Zmeter, N.; Kavitt, R.T.; Rubin, D.T. P207 Poor sleep quality is a risk factor for hospitalisation and surgery in Crohn’s disease. J. Crohns Colitis 2018, 12, S204. [Google Scholar] [CrossRef]
- Stevens, B.W.; Borren, N.Z.; Velonias, G.; Conway, G.; Cleland, T.; Andrews, E.; Khalili, H.; Garber, J.G.; Xavier, R.J.; Yajnik, V.; et al. Vedolizumab therapy is associated with an improvement in sleep quality and mood in inflammatory bowel diseases. Dig. Dis. Scie. 2017, 62, 197–206. [Google Scholar] [CrossRef] [PubMed]
- Graff, L.A.; Vincent, N.; Walker, J.R.; Clara, I.; Carr, R.; Ediger, J.; Miller, N.; Rogala, L.; Rawsthorne, P.; Lix, L.; et al. A population based study of fatigue and sleep difficulties in inflammatory bowel disease. Inflamm. Bowel Dis. 2011, 17, 1882–1889. [Google Scholar] [CrossRef] [PubMed]
- Wilson, R.G.; Stevens, B.W.; Guo, A.Y.; Russell, C.N.; Thornton, A.; Cohen, M.A.; Sturgeon, H.C.; Giallourakis, C.; Khalili, H.; Nguyen, D.D.; et al. High C-reactive protein is associated with poor sleep quality independent of nocturnal symptoms in patients with inflammatory bowel disease. Dig. Dis. Sci. 2015, 60, 2136–2143. [Google Scholar] [CrossRef] [PubMed]





| Characteristics | Study Group | Control Group n = 66 | Statistic Test | p-Value | |
|---|---|---|---|---|---|
| Ulcerative Colitis n = 76 | Crohn’s Disease n = 34 | ||||
| Age, year (mean ± SD) | 45.1 ± 14.9 | 44.3 ± 16.1 | 1.6957 † | 0.4283 | |
| 46.2 ± 15.6 | 42.6 ± 13.5 | ||||
| Gender (M/F), n (%) | 36/40 | 20/14 | 26/40 | 3.4368 ‡ | 0.1793 |
| (47.4%/52.6%) | (58.8%/41.2%) | (39.4%/60.6%) | |||
| Environment (U/R), n (%) | 58/18 | 26/8 | 42/24 | 3.28561 ‡ | 0.1934 |
| (76.3%/23.7%) | (76.5%/23.5%) | (63.6%/36.4%) | |||
| Disease Activity | Study Group | Statistic Test | p-Value | |
|---|---|---|---|---|
| Ulcerative Colitis n = 76 | Crohn’s Disease n = 34 | |||
| Active disease, n (%) | 44 (57.9%) | 10 (29.4%) | 7.625 ‡ | 0.0201 * |
| Mayo or CDAI score, median (Q25; Q75) | 3 (1; 7) | 129 (43; 200) | - | - |
| Hemoglobin, (mean ± SD) | 12.87 ± 2.33 | |||
| 12.55 ± 2.42 | 13.63 ± 1.95 | 4.9888 # | 0.0276* | |
| Seric iron level, (mean ± SD) | 56 ± 34.51 | 64.25 ± 43.26 | 1.1026 # | 0.2961 |
| Albumin, (mean ± SD) | 3.97 ± 0.58 | 4.05 ± 0.47 | 0.3582 # | 0.5509 |
| Leucocytes, (mean ± SD) | 8358 ± 2887 | 8644 ± 3280 | 0.2112 # | 0.6468 |
| PMN/Ly, median (Q25; Q75) | 2.65 (1.72; 3.80) | 2.75 (2.26; 3.86) | 0.9055 § | 0.3651 |
| Platelets, median (Q25; Q75) | 314657 (287775; 341540) | 325529 (293124; 357934) | 0.2267 § | 0.6349 |
| ESR 1h, (median (Q25;Q75) | 7.8 (5.9;9.8) | 6.4 (4.9;7.9) | 1.0525 § | 0.3083 |
| CRP, (median (Q25;Q75) | 2.2 (1.22; 3.19) | 3.25 (0.85; 5.64) | 0.4269 § | 0.6694 |
| CRP/Albumin, (mean ± SD) | 0.83 ± 2.32 | 1.13 ± 2.11 | 0.3322 # | 0.5657 |
| Fibrinogen, median (Q25;Q75) | 417 (402; 432) | 439 (408; 470) | 2.1885 # | 0.1424 |
| Fecal calprotectin, median (Q25;Q75) | 384.6 (293.9; 475.3) | 269.5 (265.2; 272.5) | 1.1856 § | 0.0237 * |
| Peripheric arthritis, n (%) | 14 (18.4%) | 2 (5.9%) | 3.1473 ‡ | 0.0345 * |
| Sacroiliitis, n (%) | 6 (7.9%) | - | 4.5902 ‡ | 0.0321 * |
| Pyoderma gangrenosum, n (%) | 1 (1.3%) | - | - | |
| Uveitis, n (%) | 2 (2.6%) | - | - | |
| Total EIM (% among disease subtype), n (%) | 21 (27.6%) | 2 (5.9%) | 17.6101 ‡ | 0.0001 * |
| Autoimmune thyroiditis, n (%) | 6 (7.9%) | 2 (5.9%) | 0.1463 ‡ | 0.7072 |
| Arterial hypertension, n (%) | 16 (21.1%) | 4 (11.7%) | 0.8094 ‡ | 0.3683 |
| Diabetes mellitus, n (%) | 10 (13.2%) | 6 (17.6%) | 0.3808 ‡ | 0.5371 |
| Biliary lithiasis, n (%) | 2 (2.6%) | 2 (5.9%) | 0.7084 ‡ | 0.4179 |
| Characteristics | Study Group | Control Group | Statistic Test | p-Value | |
|---|---|---|---|---|---|
| Ulcerative Colitis n = 76 | Crohn’s Disease n = 34 | ||||
| PSQI, median (Q25;Q75) | 8 (5; 10) | 4(3; 7) | 31.3107 ^ | <0.0001 * | |
| 8 (6; 11) | 7(5; 10) | ||||
| HADS-A, median (Q25;Q75) | 7 (5; 10) | 4 (2; 6) | 38.605 ^ | <0.0001 * | |
| 8 (5; 10) | 7(6; 10) | ||||
| HADS-D, median (Q25;Q75) | 8 (5; 11) | 5 (4; 7) | 10.1394 ^ | 0.0063 * | |
| 8 (5; 11) | 8(4; 10) | ||||
| PSQI Score vs. | Correlation Coefficient | p-Value |
|---|---|---|
| Mayo | 0.411212 | 0.0001 * |
| CDAI | 0.0040 | 0.982 |
| PSQI Score vs. | Correlation Coefficient | p-Value |
|---|---|---|
| Age | 0.0399 | 0.6790 |
| Extraintestinal manifestations | 0.2754 | 0.0172 * |
| Hemoglobin | 0.0719 | 0.460 |
| Fecal Calprotectin | 0.4772 | 0.03608 * |
| CRP | 0.2183 | 0.0013 * |
| Fb | 0.2073 | 0.0029 * |
| PMN/Ly | 0.2101 | 0.0280 * |
| CRP/Albumin | 0.3226 | 0.0010 * |
| PSQI Score (PSQI Score ≥5) vs. | Correlation Coefficient | p-Value |
|---|---|---|
| HADS depression | 0.4157 | 0.00001 * |
| HADS anxiety | 0.4062 | 0.00001 * |
| Sleep medication use | 0.2062 | 0.03061 * |
| Study Group | Control Group (n = 66) | Statistic Test | p–Value | ||
|---|---|---|---|---|---|
| RCUH (n = 76) | CROHN (n = 34) | ||||
| PSQI—median (Q25;Q75) | 8 (5; 10) | 8(6; 10) | 4(3; 7) | 4(3; 7)^ | <0.0001 * |
| Comp 1—subjective sleep quality, n (%) | 0/1/2/3 12/32/20/12 (13.2%/31.6%/39.5%/15.8%) | 0/1/2/3 0/26/6/2 (0%/76.5%/17.7%/5.9%) | 0/1/2/3 34/26/4/2 (51.5%/39.4%/6.1%/3.1%) | 36.4388 ‡ | <0.0001 * |
| Comp 2—sleep latency, n (%) | 12/32/20/12 (15.8%/42.1%/26.3%/15.8%) | 10/6/16/2 (29.4%/17.7%/47.1%/5.9%) | 18/28/14/6 (27.3%/42.4%/21.2%/9.1%) | 15.7472 ‡ | 0.0151 * |
| Comp 3—sleep duration, n (%) | 8/48/14/6 (10.5%/63.2%/18.4%/7.9%) | 6/22/2/4 (17.7%/64.7%/5.9%/11.8%) | 26/30/10/0 (39.4%/45.5%/15.2%/0%) | 14.2552 ‡ | 0.0269 * |
| Comp 4—habitual sleep efficiency, n (%) | 20/32/10/14 (26.3%/42.2%/13.2%/18.4%) | 14/16/2/2 (41.2%/47.1%/5.9%/5.9%) | 52/10/4/0 (78.8%/15.2%/6.1%/0%) | 26.0609 ‡ | 0.0002 * |
| Comp 5—sleep disturbances, n (%) | 4/60/12/0 (5.3%/78.9%/15.8%) | 4/28/2/0 (11.8%/82.4%/5.9%) | 12/42/12/0 (18.2%/63.6%/18.2%) | 9.8583 ‡ | 0.0401 * |
| Wake up for urine emission (yes), n (%) | 72 (94.7%) | 30 (88.2%) | 50 (75.8%) | 11.1233 ‡ | 0.0038 * |
| Wake up due to diarrhea (yes), n (%) | 24 (31.6%) | 8 (23.5%) | 0 (0%) | 24.489 ‡ | <0.001 * |
| Wake up due to nightmares (yes), n (%) | 26 (34.2%) | 12 (35.3%) | 18 (27.3%) | 1.0184 ‡ | 0.5974 |
| Wake up due to pain (yes), n (%): | 34 (44.7%) | 12 (35.3%) | 16 (24.2%) | 6.5024 ‡ | 0.0365 * |
| Abdominal pain, n (%) | 16 (21.05%) | 6 (17.65%) | 2 (3.03%) | -0.5518 ‡ | 0.0019 * |
| Joint pain, n (%) | 16 (21.05%) | 6 (17.65%) | 12 (18.18%) | -0.0720 ‡ | 0.6579 |
| Headache, n (%) | 2 (2.63%) | 0 (0%) | 2 (3.03%) | 0.0485 ‡ | 0.0915 * |
| Comp 6—use of sleep medication | 66/6/2/2 (86.8%/7.9%/2.6%/2.6%) | 28/4/0/2 (82.4%/11.7%/0%/5.9%) | 56/6/2/2 (84.9%/9.1%/3%/3%) | 2.1993 ‡ | 0.9004 |
| Comp 7—daytime dysfunction | 12/24/28/12 (15.8%/31.6%/36.8%/15.8%) | 0/18/8/8 (0%/52.9%/23.5%/23.5%) | 18/30/16/2 (27.3%/45.5%/24.2%/3.1%) | 24.1853 ‡ | 0.0004 * |
| Multiple Linear Regression | Unstandardized Coefficients | Standardized Coefficients | t | p-Value | |
|---|---|---|---|---|---|
| B | Std. Error | Beta | |||
| (Constant) | 4.544 | 0.814 | 5.579 | <0.001 * | |
| Comp 1—subjective sleep quality | 3.365 | 0.264 | 0.775 | 12.738 | <0.001 * |
| Comp 5—sleep disturbances | 3.312 | 0.712 | 0.409 | 4.653 | <0.001 * |
| Comp 6—use of sleep medication | 2.906 | 0.444 | 0.533 | 6.542 | <0.001 * |
| Comp 3—sleep duration | 2.884 | 0.352 | 0.619 | 8.192 | <0.001 * |
| Comp 4—habitual sleep efficiency | 2.820 | 0.217 | 0.781 | 12.978 | <0.001 * |
| Comp 7—daytime dysfunction | 2.508 | 0.295 | 0.633 | 8.505 | <0.001 * |
| Comp 2—sleep latency | 2.393 | 0.286 | 0.628 | 8.382 | <0.001 * |
| Multiple Linear Regression | Unstandardized Coefficients | Standardized Coefficients | t | p-Value | |
|---|---|---|---|---|---|
| B | Std. Error | Beta | |||
| (Constant) | 2.947 | 0.612 | 4.816 | <0.001 * | |
| Comp 1—subjective sleep quality | 2.707 | 0.340 | 0.706 | 7.970 | <0.001 * |
| Comp 4—habitual sleep efficiency | 2.534 | 0.538 | 0.508 | 4.712 | <0.001 * |
| Comp 7—daytime dysfunction | 2.526 | 0.310 | 0.713 | 8.142 | <0.001 * |
| Comp 5—sleep disturbances | 2.083 | 0.524 | 0.445 | 3.976 | <0.001 * |
| Comp 6—use of sleep medication | 1.974 | 0.481 | 0.456 | 4.104 | <0.001 * |
| Comp 2—sleep latency | 1.958 | 0.299 | 0.633 | 6.548 | <0.001 * |
| Comp 3—sleep duration | 1.758 | 0.456 | 0.435 | 3.860 | <0.001 * |
© 2020 by the authors. Licensee MDPI, Basel, Switzerland. This article is an open access article distributed under the terms and conditions of the Creative Commons Attribution (CC BY) license (http://creativecommons.org/licenses/by/4.0/).
Share and Cite
Gîlc-Blanariu, G.-E.; Ștefnescu, G.; Trifan, A.V.; Moscalu, M.; Dimofte, M.-G.; Ștefnescu, C.; Drug, V.L.; Afrsnie, V.-A.; Ciocoiu, M. Sleep Impairment and Psychological Distress among Patients with Inflammatory Bowel Disease—beyond the Obvious. J. Clin. Med. 2020, 9, 2304. https://doi.org/10.3390/jcm9072304
Gîlc-Blanariu G-E, Ștefnescu G, Trifan AV, Moscalu M, Dimofte M-G, Ștefnescu C, Drug VL, Afrsnie V-A, Ciocoiu M. Sleep Impairment and Psychological Distress among Patients with Inflammatory Bowel Disease—beyond the Obvious. Journal of Clinical Medicine. 2020; 9(7):2304. https://doi.org/10.3390/jcm9072304
Chicago/Turabian StyleGîlc-Blanariu, Georgiana-Emmanuela, Gabriela Ștefnescu, Anca Victorița Trifan, Mihaela Moscalu, Mihail-Gabriel Dimofte, Cristinel Ștefnescu, Vasile Liviu Drug, Vlad-Adrian Afrsnie, and Manuela Ciocoiu. 2020. "Sleep Impairment and Psychological Distress among Patients with Inflammatory Bowel Disease—beyond the Obvious" Journal of Clinical Medicine 9, no. 7: 2304. https://doi.org/10.3390/jcm9072304
APA StyleGîlc-Blanariu, G.-E., Ștefnescu, G., Trifan, A. V., Moscalu, M., Dimofte, M.-G., Ștefnescu, C., Drug, V. L., Afrsnie, V.-A., & Ciocoiu, M. (2020). Sleep Impairment and Psychological Distress among Patients with Inflammatory Bowel Disease—beyond the Obvious. Journal of Clinical Medicine, 9(7), 2304. https://doi.org/10.3390/jcm9072304

