Defining the Most Effective Patient Blood Management Combined with Tranexamic Acid Regime in Primary Uncemented Total Hip Replacement Surgery †
Abstract
1. Introduction
2. Patients AND Methods
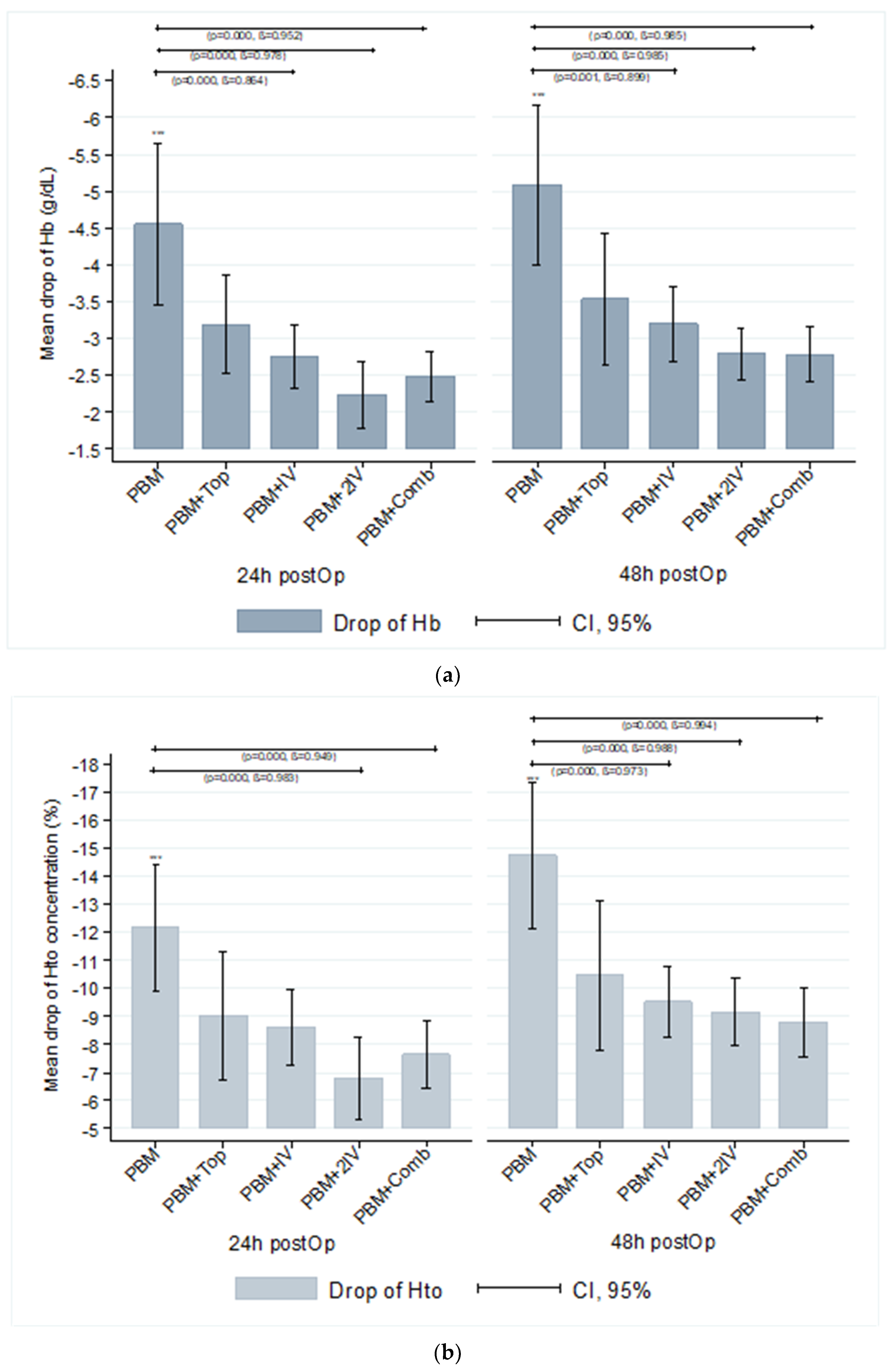
3. Results
4. Discussion
5. Conclusions
Author Contributions
Funding
Conflicts of Interest
References
- Ortega-Andreu, M.; Talavera, G.; Padilla-Eguiluz, N.G.; Perez-Chrzanowska, H.; Figueredo-Galve, R.; Rodriguez-Merchan, C.E.; Gómez-Barrena, E. Tranexamic Acid in a Multimodal Blood Loss Prevention Protocol to Decrease Blood Loss in Revision Total Knee Arthroplasty: A Cohort Study. Open Orthop. J. 2016, 10, 439–447. [Google Scholar] [CrossRef] [PubMed]
- Alshryda, S.; Sukeik, M.; Sarda, P.; Blenkinsopp, J.; Haddad, F.S.; Mason, J.M. A systematic review and meta-analysis of the topical administration of tranexamic acid in total hip and knee replacement. Bone Jt. J. 2014, 96-B, 1005–1015. [Google Scholar] [CrossRef] [PubMed]
- Sukeik, M.; Alshryda, S.; Haddad, F.S.; Mason, J.M. Systematic review and meta-analysis of the use of tranexamic acid in total hip replacement. J. Bone Jt. Surg. Br. 2011, 93, 39–46. [Google Scholar] [CrossRef] [PubMed]
- Wei, W.W.; Wei, B. Comparison of topical and intravenous tranexamic acid on blood loss and transfusion rates in total hip arthroplasty. J. Arthroplast. 2014, 29, 2113–2116. [Google Scholar] [CrossRef]
- Wei, Z.; Liu, M. The effectiveness and safety of tranexamic acid in total hip or knee arthroplasty: A meta-analysis of 2720 cases. Transfus. Med. 2015, 25, 151–162. [Google Scholar] [CrossRef]
- Gross, J.B. Estimating allowable blood loss: Corrected for dilution. Anesthesiology 1983, 58, 277–280. [Google Scholar] [CrossRef]
- Lopez-Picado, A.; Albinarrate, A.; Barrachina, B. Determination of Perioperative Blood Loss: Accuracy or Approximation? Anesth. Analg. 2017, 125, 280–286. [Google Scholar] [CrossRef]
- James, G.S. Tests of Linear Hypotheses in Univariate and Multivariate Analysis when the Ratios of the Population Variances are Unknown. Biometrika 1954, 41, 19–43. [Google Scholar] [CrossRef]
- Clarkson, D.B.; Fan, Y.-A.; Joe, H. A remark on algorithm 643: FEXACT: An algorithm for performing Fisher’s exact test in r x c contingency tables. ACM Trans. Math Softw. 1993, 19, 484–488. [Google Scholar] [CrossRef]
- Herve, M.C. KWALLIS2: Stata Module to Perform Kruskal-Wallis Test for Equality of Populations, S379201 ed.; Boston College Department of Economics: Boston, MA, USA, 1999. [Google Scholar]
- Boralessa, H.; Goldhill, D.R.; Tucker, K.; Mortimer, A.J.; Grant-Casey, J. National comparative audit of blood use in elective primary unilateral total hip replacement surgery in the UK. Ann. R. Coll. Surg. Engl. 2009, 91, 599–605. [Google Scholar] [CrossRef]
- Munoz, M.; Gomez-Ramirez, S.; Cuenca, J.; Garcia-Erce, J.A.; Iglesias-Aparicio, D.; Haman-Alcober, S.; Ariza, D.; Naveira, E. Very-short-term perioperative intravenous iron administration and postoperative outcome in major orthopedic surgery: A pooled analysis of observational data from 2547 patients. Transfusion 2014, 54, 289–299. [Google Scholar] [PubMed]
- Theusinger, O.M.; Kind, S.L.; Seifert, B.; Borgeat, L.; Gerber, C.; Spahn, D.R. Patient blood management in orthopaedic surgery: A four-year follow-up of transfusion requirements and blood loss from 2008 to 2011 at the Balgrist University Hospital in Zurich, Switzerland. Blood Transfus. 2014, 12, 195–203. [Google Scholar] [PubMed]
- Frew, N.; Alexander, D.; Hood, J.; Acornley, A. Impact of a blood management protocol on transfusion rates and outcomes following total hip and knee arthroplasty. Ann. R. Coll. Surg. Engl. 2016, 98, 380–386. [Google Scholar] [CrossRef] [PubMed]
- Roberts, I. The CRASH-2 trial of an antifibrinolytic agent in traumatic haemorrhage: An international collaboration. Indian J. Med. Res. 2007, 125, 5–7. [Google Scholar] [PubMed]
- Roberts, I.; Shakur, H.; Coats, T.; Hunt, B.; Balogun, E.; Barnetson, L.; Cook, L.; Kawahara, T.; Perel, P.; Prieto-Merino, D.; et al. The CRASH-2 trial: A randomised controlled trial and economic evaluation of the effects of tranexamic acid on death, vascular occlusive events and transfusion requirement in bleeding trauma patients. Health Technol. Assess. 2013, 17, 1–79. [Google Scholar]
- Zhao, Z.; Ma, J.; Ma, X. Comparative efficacy and safety of different hemostatic methods in total hip arthroplasty: A network meta-analysis. J. Orthop. Surg. Res. 2019, 14, 3. [Google Scholar] [CrossRef]
- Sukeik, M.; Alshryda, S.; Powell, J.; Haddad, F.S. The effect of tranexamic acid on wound complications in primary total Hip Arthroplasty: A meta-analysis. Surgeon 2020, 18, 53–61. [Google Scholar] [CrossRef]
- Farmer, S.L.; Towler, S.C.; Leahy, M.F.; Hofmann, A. Drivers for change: Western Australia Patient Blood Management Program (WA PBMP), World Health Assembly (WHA) and Advisory Committee on Blood Safety and Availability (ACBSA). Best Pract. Res. Clin. Anaesthesiol. 2013, 27, 43–58. [Google Scholar] [CrossRef]
- Hines, J.T.; Hernandez, N.M.; Amundson, A.W.; Pagnano, M.W.; Sierra, R.J.; Abdel, M.P. Intravenous tranexamic acid safely and effectively reduces transfusion rates in revision total hip arthroplasty. Bone Jt. J. 2019, 101-B, 104–109. [Google Scholar] [CrossRef]
- Barrachina, B.; Lopez-Picado, A.; Remon, M.; Fondarella, A.; Iriarte, I.; Bastida, R.; Rodríguez-Gascón, A.; Achaerandio, M.A.; Iturricastillo, M.C.; Aizpuru, F.; et al. Tranexamic Acid Compared with Placebo for Reducing Total Blood Loss in Hip Replacement Surgery: A Randomized Clinical Trial. Anesth. Analg. 2016, 122, 986–995. [Google Scholar] [CrossRef] [PubMed]
- Gómez Barbero, P.; Gómez Aparicio, M.S.; Blas Dobón, J.A.; Pelayo de Tomás, J.M.; Morales Suárez-Varela, M.; Rodrigo Pérez, J.L. Aplicación del tranexámico intravenoso o intraarticular en el control del sangrado posquirúrgico tras una artroplastia total de cadera. Estudio prospectivo, controlado y aleatorizado. Rev. Esp. Cir. Ortop. Traumatol. 2019, 63, 138–145. [Google Scholar] [CrossRef] [PubMed]
- Gulabi, D.; Yuce, Y.; Erkal, K.H.; Saglam, N.; Camur, S. The combined administration of systemic and topical tranexamic acid for total hip arthroplasty: Is it better than systemic? Acta Orthop. Traumatol. Turc. 2019, 53, 297–300. [Google Scholar] [CrossRef]
- Perez-Jimeno, N.; Munoz, M.; Mateo, J.; Mayoral, A.P.; Herrera, A. Efficacy of topical tranexamic acid within a blood-saving programme for primary total hip arthroplasty: A pragmatic, open-label randomised study. Blood Transfus. 2018, 16, 490–497. [Google Scholar] [PubMed]
- Xie, J.; Ma, J.; Yue, C.; Kang, P.; Pei, F. Combined use of intravenous and topical tranexamic acid following cementless total hip arthroplasty: A randomised clinical trial. Hip. Int. 2016, 26, 36–42. [Google Scholar] [CrossRef]
- Ye, W.; Liu, Y.; Liu, W.F.; Li, X.L.; Fei, Y.; Gao, X. Comparison of efficacy and safety between oral and intravenous administration of tranexamic acid for primary total knee/hip replacement: A meta-analysis of randomized controlled trial. J. Orthop. Surg. Res. 2020, 15, 21. [Google Scholar] [CrossRef] [PubMed]
- Fraval, A.; Effeney, P.; Fiddelaers, L.; Smith, B.; Towell, B.; Tran, P. OBTAIN A: Outcome Benefits of Tranexamic Acid in Hip Arthroplasty. A Randomized Double-Blinded Controlled Trial. J. Arthroplast. 2017, 32, 1516–1519. [Google Scholar] [CrossRef]
- Yi, Z.; Bin, S.; Jing, Y.; Zongke, Z.; Pengde, K.; Fuxing, P. Tranexamic Acid Administration in Primary Total Hip Arthroplasty: A Randomized Controlled Trial of Intravenous Combined with Topical Versus Single-Dose Intravenous Administration. J. Bone Jt. Surg. Am. 2016, 98, 983–991. [Google Scholar] [CrossRef]



| Variables | Group 1 PBM (n = 29) | Group 2 PBM + Topical (n = 18) | Group 3 PBM + IV (n = 42) | Group 4 PBM + 2IV (n = 41) | Group 5 PBM + Combined (n = 23) | p-Value * | |||||
|---|---|---|---|---|---|---|---|---|---|---|---|
| Mean ± sd | (min–max) | Mean ± sd | (min–max) | Mean ± sd | (min–max) | Mean ± sd | (min–max) | Mean ± sd | (min–max) | ||
| n | (%) | n | (%) | n | (%) | n | (%) | n | (%) | ||
| Age (yo) | 64 ± 17 | (18–83) | 68 ± 13 | (33–88) | 65 ± 9 | (49–82) | 70 ± 11 | (43–91) | 72 ± 9 | (48–87) | 0.028 |
| Female sex | 15 | (52%) | 8 | (44%) | 16 | (38%) | 22 | (53%) | 11 | (48%) | 0.668 |
| Weight (kg) | 71 ± 20 | (40–156) | 71 ± 14 | (50–101) | 75 ± 15 | (42–110) | 76 ± 12 | (50–108) | 70 ± 9 | (50–84) | 0.247 |
| Body Mass Index (BMI) | 27 ± 7 | (15–56) | 27 ± 4 | (21–36) | 28 ± 5 | (18–39) | 30 ± 5 | (20–44) | 27 ± 3 | (21–35) | 0.171 |
| Obesity category: | |||||||||||
| Healthy weight | 11 | (38%) | 6 | (33%) | 11 | (26%) | 7 | (17%) | 5 | (22%) | |
| Overweight | 10 | (34%) | 10 | (56%) | 18 | (43%) | 15 | (37%) | 15 | (65%) | 0.055 |
| Obese | 8 | (28%) | 2 | (11%) | 13 | (31%) | 19 | (46%) | 3 | (13%) | |
| ASA class | 2.2 ± 0.6 | (1–3) | 2.0 ± 0.7 | (1–3) | 2.2 ± 0.5 | (1–3) | 2.2 ± 0.4 | (1–3) | 2.2 ± 0.3 | (2–3) | 0.965 |
| I | 4 | (14%) | 4 | (22%) | 3 | (7%) | 1 | (2%) | 0 | (%) | 0.123 |
| II | 16 | (55%) | 9 | (50%) | 28 | (67%) | 31 | (76%) | 19 | (83%) | |
| III | 9 | (31%) | 5 | (28%) | 11 | (26%) | 9 | (22%) | 4 | (17%) | |
| Left side | 10 | (35%) | 9 | (50%) | 19 | (45%) | 14 | (34%) | 12 | (52%) | 0.309 |
| Preoperative intake of Iron/EPO | |||||||||||
| None | 27 | (93%) | 15 | (83%) | 34 | (81%) | 28 | (67%) | 18 | (78%) | 0.087 |
| Iron | 2 | (7%) | 2 | (11%) | 5 | (12%) | 12 | (29%) | 2 | (9%) | |
| Iron-EPO | 0 | (0%) | 1 | (6%) | 3 | (7%) | 1 | (2%) | 3 | (13%) | |
| Variables | Group 1 PBM (n = 29) | Group 2 PBM + Topical (n = 18) | Group 3 PBM + IV (n = 42) | Group 4 PBM + 2IV (n = 41) | Group 5 PBM + Combined (n = 23) | p-Value | |||||
|---|---|---|---|---|---|---|---|---|---|---|---|
| Mean | (CI, 95%) | Mean | (CI, 95%) | Mean | (CI, 95%) | Mean | (CI, 95%) | Mean | (CI, 95%) | ||
| Haemoglobin concentration (g/dL) | |||||||||||
| PreOp | 15.0 | (14.1–15.9) | 14.9 | (14.4–15.5) | 14.6 | (14.1–15.0) | 14.4 | (13.9–14.7) | 14.5 | (14.0–14.9) | 0.371 * |
| 24 h postOp | 10.5 | (9.8–11.1) | 11.7 | (11.1–12.4) | 11.9 | (11.4–12.3) | 12.0 | (11.5–12.6) | 12.0 | (11.4–12.6) | 0.000 ** |
| 48 h postOp | 9.9 | (9.3–10.6) | 11.4 | (10.5–12.5) | 11.4 | (10.9–11.9) | 11.5 | (11.1–12.0) | 11.7 | (11.2–12.2) | 0.000 ** |
| Haematocrit concentration (%) | |||||||||||
| PreOp | 44.4 | (12.8–45.9) | 45.3 | (43.8–46.8) | 44.3 | (43.1–45.4) | 44.2 | (42.9–45.5) | 44.0 | (42.6–45.3) | 0.840 * |
| 24 h postOp | 32.2 | (30.2–34.5) | 36.3 | (34.0–38.5) | 35.7 | (34.2–37.1) | 37.4 | (35.9–38.9) | 36.4 | (34.6–38.1) | 0.000 ** |
| 48 h postOp | 29.6 | (27.1–32.1) | 34.8 | (32.1–37.5) | 34.8 | (33.3–36.2) | 35.0 | (33.7–36.3) | 35.2 | (33.6–36.8) | 0.004 * |
| Blood loss | |||||||||||
| Intraoperative blood loss | 950.0 | (711–1188) | 286.1 | (200–371) | 253.1 | (209–296) | 252.4 | (207–297) | 252.2 | (186–318) | 0.000 * |
| Total blood loss at 24 h postOp | 613.5 | (485– 741) | 464.2 | (328–599) | 462.6 | (381–543) | 354.1 | (277–431) | 376.3 | (317–434) | 0.005 * |
| Total blood loss at 48 h postOp | 738.3 | (598–878) | 537.5 | (373–701) | 513.7 | (431–598) | 487.0 | (417–556) | 434.2 | (367–501) | 0.005 * |
| Length of hospital Stay | 9.5 | (8.3–10.6) | 6.5 | (5.6–7.4) | 8.0 | (7.2–8.9) | 2.7 | (2.3–3.0) | 2.4 | (2.0–2.7) | 0.000 * |
| LOS category n (%): | 0.000 ¥ | ||||||||||
| 2 days | 0 | - | 0 | - | 0 | - | 28 | (68.3%) | 18 | (78.3%) | |
| 3–5 days | 1 | (3.4%) | 6 | (33.3%) | 2 | (4.7%) | 11 | (26.8) | 5 | (21.7%) | |
| 6–10 days | 21 | (72.4%) | 11 | (61.1%) | 33 | (78.6%) | 2 | (4.9%) | 0 | - | |
| >10 days | 7 | (24.1%) | 1 | (5.6%) | 7 | (16.7%) | 0 | - | 0 | - | |
| Variable | Coeficient | Confidence Interval (95%) | p-Value |
|---|---|---|---|
| Group of treatment: | |||
| PBM | (base) | ||
| PBM + Topical | −238.05 | (−398.02, −78.08) | 0.004 |
| PBM + IV | −240.54 | (−374.97, −106.11) | 0.000 |
| PBM + 2IV | −293.15 | (−435.00, −151.31) | 0.000 |
| PBM + Combined | −294.65 | (−441.80, −147.50) | 0.000 |
| Gender: | |||
| Female | (base) | ||
| Male | 80.79 | (1.39, 160.19) | 0.046 |
| Age (yo) | 3.15 | (0.12, 6.18) | 0.042 |
| Body Mass Index: | |||
| Healthy weight | (base) | ||
| Overweight | 121.50 | (39.57, 203.43) | 0.004 |
| Obesity | 286.17 | (177.63, 394.72) | 0.000 |
| ASA: | |||
| I | (base) | ||
| II | −162.87 | (−313.00, −12.74) | 0.033 |
| III | −105.77 | (−277.51, 65.97) | 0.227 |
| Pre−operative Haemoglobin classification: | |||
| <12 mg/dL | (base) | ||
| 12–14 g/dL | 71.65 | (−144.53, 287.83) | 0.516 |
| >14 g/dL | 208.50 | (7.11, 409.90) | 0.042 |
| Constant | 334.88 | (60.79, 608.96) | 0.017 |
| Article | Blood Saving Protocol | TXA Scheme | Dose | n | TBV Lossat 48 h | SD | Delta |
|---|---|---|---|---|---|---|---|
| Our study | PBM | none | __ | 29 | 738.3 | 367.4 | |
| Pérez-Jimeno 2018 | PBM-like | none | __ | 129 | 728 a | 252 | −10.3 ns |
| Yi 2016 | Placebo | __ | 50 | 1221 | 386 | 482.7 *** | |
| Wei 2014 | Placebo | __ | 100 | 1364 | 279 | 625.7 *** | |
| Fraval 2017 | Placebo | __ | 51 | 1394 | 426 | 655.7 *** | |
| Barrachina 2016 | Placebo | __ | 37 | 2215 | 1136 | 1476.7 *** | |
| Our study | PBM | 2 TXA IV | 20 mg/kg | 41 | 487.0 | 221.4 | |
| Fraval 2017 | 2 TXA IV | 15 mg/kg | 50 | 1084 | 440 | 597.0 *** | |
| Barrachina 2016 | 2 TXA IV | 10 mg/kg | 36 | 1308 | 641 | 821.0 *** | |
| Our study | PBM | TXA TOP | 3 g | 18 | 537.5 | 330.1 | |
| Pérez-Jimeno 2018 | PBM-like | TXA TOP | 2 g | 125 | 539 a | 243 | 1.5 ns |
| Xie 2016 | TXA TOP | 3 g | 70 | 905 | 238 | 367.5 *** | |
| Wei 2014 | TXA TOP | 3 g | 102 | 963 | 421 | 425.5 *** | |
| Gomez 2019 | TXA IA | 2 g | 47 | 1280.0 | 352.6 | 742.5 *** | |
| Our study | PBM | TXA IV | 20 mg/kg | 42 | 513.7 | 265.3 | |
| Gulabi 2019 | TXA IV | 2 g | 26 | 848.81 | 224.1 | 335.1 *** | |
| Xie 2016 | TXA IV | 1.5 g | 70 | 878 | 686 | 364.3 *** | |
| Wei 2014 | TXA IV | 3 g | 101 | 959 | 422 | 445.3 *** | |
| Yi 2016 | TXA IV | 15 mg/kg | 50 | 1003 | 367 | 489.3 *** | |
| Borrachina 2016 | TXA IV | 15 mg/kg | 35 | 1377 | 689 | 863.3 *** | |
| Gomez 2019 | TXA IV | 15 mg/kg | 31 | 1515.4 | 499.3 | 1001.7 *** | |
| Our study | PBM | 3 TXA IV + TXA TOP | 20 mg/kg | 23 | 434.2 | 155.2 | |
| Gulabi 2019 | TXA IV + TOP | 3 g | 22 | 772.22 | 322.07 | 338.0 *** | |
| Xie 2016 | TXA IV + TOP | 3 g | 70 | 777 | 189 | 342.8 *** | |
| Yi 2016 | TXA IV + TXA IA | 3 g | 50 | 836 | 344 | 401.8 *** |
© 2020 by the authors. Licensee MDPI, Basel, Switzerland. This article is an open access article distributed under the terms and conditions of the Creative Commons Attribution (CC BY) license (http://creativecommons.org/licenses/by/4.0/).
Share and Cite
Pérez-Chrzanowska, H.; Padilla-Eguiluz, N.G.; Gómez-Barrena, E. Defining the Most Effective Patient Blood Management Combined with Tranexamic Acid Regime in Primary Uncemented Total Hip Replacement Surgery. J. Clin. Med. 2020, 9, 1952. https://doi.org/10.3390/jcm9061952
Pérez-Chrzanowska H, Padilla-Eguiluz NG, Gómez-Barrena E. Defining the Most Effective Patient Blood Management Combined with Tranexamic Acid Regime in Primary Uncemented Total Hip Replacement Surgery. Journal of Clinical Medicine. 2020; 9(6):1952. https://doi.org/10.3390/jcm9061952
Chicago/Turabian StylePérez-Chrzanowska, Hanna, Norma G. Padilla-Eguiluz, and Enrique Gómez-Barrena. 2020. "Defining the Most Effective Patient Blood Management Combined with Tranexamic Acid Regime in Primary Uncemented Total Hip Replacement Surgery" Journal of Clinical Medicine 9, no. 6: 1952. https://doi.org/10.3390/jcm9061952
APA StylePérez-Chrzanowska, H., Padilla-Eguiluz, N. G., & Gómez-Barrena, E. (2020). Defining the Most Effective Patient Blood Management Combined with Tranexamic Acid Regime in Primary Uncemented Total Hip Replacement Surgery. Journal of Clinical Medicine, 9(6), 1952. https://doi.org/10.3390/jcm9061952

