Changes in the Retinal Microvasculature Measured Using Optical Coherence Tomography Angiography According to Age
Abstract
1. Introduction
2. Methods
2.1. Study Population
2.2. Study Design
2.3. Subgroup Analysis
2.4. Statistical Analysis
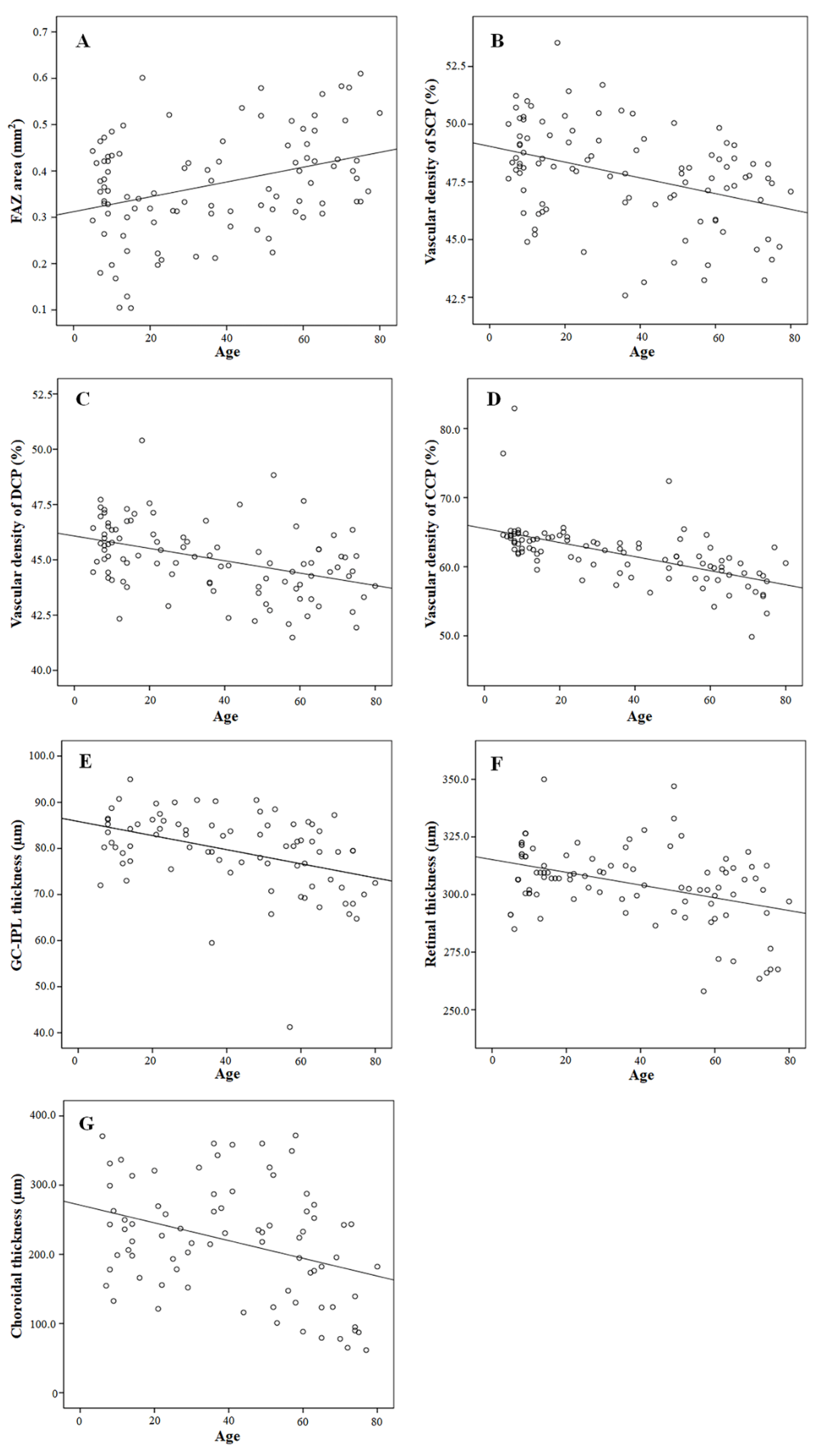
3. Results
4. Discussion
Author Contributions
Funding
Conflicts of Interest
References
- Centers for Disease Control and Prevention. Blindness caused by diabetes—Massachusetts, 1987–1994. JAMA 1996, 276, 1865–1866. [Google Scholar] [CrossRef]
- Rogers, S.; McIntosh, R.L.; Cheung, N.; Lim, L.; Wang, J.J.; Mitchell, P.; Kowalski, J.W.; Nguyen, H.; Wong, T.Y. The prevalence of retinal vein occlusion: Pooled data from population studies from the United States, Europe, Asia, and Australia. Ophthalmology 2010, 117, 313–319.e311. [Google Scholar] [CrossRef] [PubMed]
- Boyle, J.P.; Honeycutt, A.A.; Narayan, K.M.; Hoerger, T.J.; Geiss, L.S.; Chen, H.; Thompson, T.J. Projection of diabetes burden through 2050: Impact of changing demography and disease prevalence in the U.S. Diabetes Care 2001, 24, 1936–1940. [Google Scholar] [CrossRef] [PubMed]
- Chan, G.; Balaratnasingam, C.; Xu, J.; Mammo, Z.; Han, S.; Mackenzie, P.; Merkur, A.; Kirker, A.; Albiani, D.; Sarunic, M.V.; et al. In vivo optical imaging of human retinal capillary networks using speckle variance optical coherence tomography with quantitative clinico-histological correlation. Microvasc. Res. 2015, 100, 32–39. [Google Scholar] [CrossRef]
- Tan, P.E.; Balaratnasingam, C.; Xu, J.; Mammo, Z.; Han, S.X.; Mackenzie, P.; Kirker, A.W.; Albiani, D.; Merkur, A.B.; Sarunic, M.V.; et al. Quantitative Comparison of Retinal Capillary Images Derived By Speckle Variance Optical Coherence Tomography With Histology. Investig. Ophthalmol. Vis. Sci. 2015, 56, 3989–3996. [Google Scholar] [CrossRef]
- Giannakaki-Zimmermann, H.; Kokona, D.; Wolf, S.; Ebneter, A.; Zinkernagel, M.S. Optical Coherence Tomography Angiography in Mice: Comparison with Confocal Scanning Laser Microscopy and Fluorescein Angiography. Transl. Vis. Sci. Technol. 2016, 5, 11. [Google Scholar] [CrossRef]
- Kaizu, Y.; Nakao, S.; Wada, I.; Yamaguchi, M.; Fujiwara, K.; Yoshida, S.; Hisatomi, T.; Ikeda, Y.; Hayami, T.; Ishibashi, T.; et al. Imaging of Retinal Vascular Layers: Adaptive Optics Scanning Laser Ophthalmoscopy Versus Optical Coherence Tomography Angiography. Transl. Vis. Sci. Technol. 2017, 6, 2. [Google Scholar] [CrossRef]
- Novotny, H.R.; Alvis, D.L. A method of photographing fluorescence in circulating blood in the human retina. Circulation 1961, 24, 82–86. [Google Scholar] [CrossRef]
- Jia, Y.; Tan, O.; Tokayer, J.; Potsaid, B.; Wang, Y.; Liu, J.J.; Kraus, M.F.; Subhash, H.; Fujimoto, J.G.; Hornegger, J.; et al. Split-spectrum amplitude-decorrelation angiography with optical coherence tomography. Opt. Express 2012, 20, 4710–4725. [Google Scholar] [CrossRef]
- Shahlaee, A.; Samara, W.A.; Hsu, J.; Say, E.A.; Khan, M.A.; Sridhar, J.; Hong, B.K.; Shields, C.L.; Ho, A.C. In Vivo Assessment of Macular Vascular Density in Healthy Human Eyes Using Optical Coherence Tomography Angiography. Am. J. Ophthalmol. 2016, 165, 39–46. [Google Scholar] [CrossRef]
- Jia, Y.; Bailey, S.T.; Hwang, T.S.; McClintic, S.M.; Gao, S.S. Quantitative optical coherence tomography angiography of vascular abnormalities in the living human eye. Proc. Natl. Acad. Sci. USA 2015, 112, E2395–E2402. [Google Scholar] [CrossRef] [PubMed]
- Coscas, F.; Sellam, A.; Glacet-Bernard, A.; Jung, C.; Goudot, M.; Miere, A.; Souied, E.H. Normative Data for Vascular Density in Superficial and Deep Capillary Plexuses of Healthy Adults Assessed by Optical Coherence Tomography Angiography. Investig. Ophthalmol. Vis. Sci. 2016, 57, 211–223. [Google Scholar] [CrossRef] [PubMed]
- Gadde, S.G.; Anegondi, N.; Bhanushali, D.; Chidambara, L.; Yadav, N.K.; Khurana, A.; Sinha Roy, A. Quantification of Vessel Density in Retinal Optical Coherence Tomography Angiography Images Using Local Fractal Dimension. Investig. Ophthalmol. Vis. Sci. 2016, 57, 246–252. [Google Scholar] [CrossRef] [PubMed]
- Iafe, N.A.; Phasukkijwatana, N.; Chen, X.; Sarraf, D. Retinal Capillary Density and Foveal Avascular Zone Area Are Age-Dependent: Quantitative Analysis Using Optical Coherence Tomography Angiography. Investig. Ophthalmol. Vis. Sci. 2016, 57, 5780–5787. [Google Scholar] [CrossRef]
- Yu, J.; Gu, R.; Zong, Y.; Xu, H.; Wang, X.; Sun, X.; Jiang, C.; Xie, B.; Jia, Y.; Huang, D. Relationship Between Retinal Perfusion and Retinal Thickness in Healthy Subjects: An Optical Coherence Tomography Angiography Study. Investig. Ophthalmol. Vis. Sci. 2016, 57, 204–210. [Google Scholar] [CrossRef]
- Zhang, Z.; Huang, X.; Meng, X.; Chen, T.; Gu, Y.; Wu, Y.; Wu, Z. In vivo assessment of macula in eyes of healthy children 8 to 16 years old using optical coherence tomography angiography. Sci. Rep. 2017, 7, 8936. [Google Scholar] [CrossRef]
- Garrity, S.T.; Iafe, N.A.; Phasukkijwatana, N.; Chen, X.; Sarraf, D. Quantitative Analysis of Three Distinct Retinal Capillary Plexuses in Healthy Eyes Using Optical Coherence Tomography Angiography. Investig. Ophthalmol. Vis. Sci. 2017, 58, 5548–5555. [Google Scholar] [CrossRef]
- Savastano, M.C.; Lumbroso, B.; Rispoli, M. In vivo characterization of retinal vascularization morphology using optical coherence tomography angiography. Retina 2015, 35, 2196–2203. [Google Scholar] [CrossRef]
- Wei, Y.; Jiang, H.; Shi, Y.; Qu, D.; Gregori, G.; Zheng, F.; Rundek, T.; Wang, J. Age-Related Alterations in the Retinal Microvasculature, Microcirculation, and Microstructure. Investig. Ophthalmol. Vis. Sci. 2017, 58, 3804–3817. [Google Scholar] [CrossRef]
- Yilmaz, I.; Ocak, O.B.; Yilmaz, B.S.; Inal, A.; Gokyigit, B.; Taskapili, M. Comparison of quantitative measurement of foveal avascular zone and macular vessel density in eyes of children with amblyopia and healthy controls: An optical coherence tomography angiography study. J. AAPOS 2017, 21, 224–228. [Google Scholar] [CrossRef]
- Stanga, P.E.; Sala-Puigdollers, A.; Caputo, S.; Jaberansari, H.; Cien, M.; Gray, J.; D’Souza, Y.; Charles, S.J.; Biswas, S.; Henson, D.B.; et al. In vivo imaging of cortical vitreous using 1050-nm swept-source deep range imaging optical coherence tomography. Am. J. Ophthalmol. 2014, 157, 397–404.e392. [Google Scholar] [CrossRef] [PubMed]
- Sato, R.; Kunikata, H.; Asano, T.; Aizawa, N.; Kiyota, N.; Shiga, Y.; Nishiguchi, K.M.; Kato, K.; Nakazawa, T. Quantitative analysis of the macula with optical coherence tomography angiography in normal Japanese subjects: The Taiwa Study. Sci. Rep. 2019, 9, 8875. [Google Scholar] [CrossRef] [PubMed]
- Zhang, Q.; Zheng, F.; Motulsky, E.H.; Gregori, G.; Chu, Z.; Chen, C.L.; Li, C.; de Sisternes, L.; Durbin, M.; Rosenfeld, P.J.; et al. A Novel Strategy for Quantifying Choriocapillaris Flow Voids Using Swept-Source OCT Angiography. Investig. Ophthalmol. Vis. Sci. 2018, 59, 203–211. [Google Scholar] [CrossRef] [PubMed]
- Spaide, R.F. Choriocapillaris Flow Features Follow a Power Law Distribution: Implications for Characterization and Mechanisms of Disease Progression. Am. J. Ophthalmol. 2016, 170, 58–67. [Google Scholar] [CrossRef]
- Demirkaya, N.; van Dijk, H.W.; van Schuppen, S.M.; Abramoff, M.D.; Garvin, M.K.; Sonka, M.; Schlingemann, R.O.; Verbraak, F.D. Effect of age on individual retinal layer thickness in normal eyes as measured with spectral-domain optical coherence tomography. Investig. Ophthalmol. Vis. Sci. 2013, 54, 4934–4940. [Google Scholar] [CrossRef]
- Zhang, X.; Francis, B.A.; Dastiridou, A.; Chopra, V.; Tan, O.; Varma, R.; Greenfield, D.S.; Schuman, J.S.; Huang, D. Longitudinal and Cross-Sectional Analyses of Age Effects on Retinal Nerve Fiber Layer and Ganglion Cell Complex Thickness by Fourier-Domain OCT. Transl. Vis. Sci. Technol. 2016, 5, 1. [Google Scholar]
- Driver, J.A.; Djousse, L.; Logroscino, G.; Gaziano, J.M.; Kurth, T. Incidence of cardiovascular disease and cancer in advanced age: Prospective cohort study. Br. Med. J. 2008, 337, a2467. [Google Scholar] [CrossRef]
- Shin, Y.U.; Cho, H.; Kim, J.M.; Bae, K.; Kang, M.H.; Shin, J.P.; Nam, E.; Kang, S.W. Prevalence and associated factors of retinal vein occlusion in the Korean National Health and Nutritional Examination Survey, 2008–2012: A cross-sectional observational study. Medicine (Baltimore) 2016, 95, e5185. [Google Scholar] [CrossRef]
- Sampson, D.M.; Gong, P.; An, D.; Menghini, M.; Hansen, A.; Mackey, D.A.; Sampson, D.D.; Chen, F.K. Axial Length Variation Impacts on Superficial Retinal Vessel Density and Foveal Avascular Zone Area Measurements Using Optical Coherence Tomography Angiography. Investig. Ophthalmol. Vis. Sci. 2017, 58, 3065–3072. [Google Scholar] [CrossRef]
- Niestrata-Ortiz, M.; Fichna, P.; Stankiewicz, W.; Stopa, M. Sex-Related Variations of Retinal and Choroidal Thickness and Foveal Avascular Zone in Healthy and Diabetic Children Assessed by Optical Coherence Tomography Imaging. Ophthalmologica 2019, 241, 173–178. [Google Scholar] [CrossRef]



| Variable | G1 (n = 36) | G2 (n = 20) | G3 (n = 22) | G4 (n = 22) | Total (n = 100) |
|---|---|---|---|---|---|
| Male/Female | 15/21 | 10/10 | 10/12 | 15/7 | 50/50 |
| Age (years) | 10.19 ± 3.38 | 29.2 ± 6.53 | 52.35 ± 6.02 | 69.09 ± 5.76 | 35.90 ± 24.23 |
| SE (D) | −0.56 ± 1.21 | −0.60 ± 1.10 | −0.50 ± 1.28 | 0.41 ± 1.10 | −0.34 ± 1.23 |
| FAZ Area (mm2) | p-Value a | p-Value b | ||||||
|---|---|---|---|---|---|---|---|---|
| G1 | G2 | G3 | G4 | Total | G1 vs. G2 | G1 vs. G3 | G1 vs. G4 | |
| 0.341 ± 0.116 | 0.331 ± 0.091 | 0.377 ± 0.104 | 0.444 ± 0.091 | 0.370 ± 0.111 | 0.001 | 0.983 | 0.602 | 0.002 |
| OCTA Parameter | Vascular Density (%) | p-Value a | p-Value b | ||||||
|---|---|---|---|---|---|---|---|---|---|
| G1 | G2 | G3 | G4 | Total | G1 vs. G2 | G1 vs. G3 | G1 vs. G4 | ||
| SCP | |||||||||
| center | 21.22 ± 4.86 | 20.53 ± 3.09 | 18.46 ± 4.65 | 16.20 ± 3.28 | 19.39 ± 4.58 | <0.001 | 0.934 | 0.090 | <0.001 |
| parafovea | 48.54 ± 1.92 | 48.56 ± 2.25 | 46.57 ± 1.97 | 47.08 ± 1.81 | 47.81 ± 2.13 | <0.001 | 1.000 | 0.030 | 0.037 |
| DCP | |||||||||
| center | 17.94 ± 4.04 | 17.63 ± 3.97 | 15.33 ± 4.18 | 14.36 ± 3.80 | 16.54 ± 4.23 | <0.001 | 0.992 | 0.096 | 0.007 |
| parafovea | 51.72 ± 2.89 | 50.53 ± 2.36 | 48.24 ± 3.68 | 48.96 ± 2.76 | 50.14 ± 3.22 | <0.001 | 0.476 | <0.001 | 0.004 |
| CCP | |||||||||
| center | 63.80 ± 5.06 | 60.76 ± 3.55 | 59.75 ± 6.73 | 53.02 ± 7.38 | 59.94 ± 6.99 | <0.001 | 0.241 | 0.064 | <0.001 |
| parafovea | 64.44 ± 4.04 | 61.98 ± 2.41 | 61.47 ± 3.58 | 57.95 ± 2.99 | 61.88 ± 4.18 | <0.001 | 0.057 | 0.014 | <0.001 |
| OCT Parameter | Thickness (μm) | p-Value a | p-Value b | ||||||
|---|---|---|---|---|---|---|---|---|---|
| G1 | G2 | G3 | G4 | Total | G1 vs. G2 | G1 vs. G3 | G1 vs. G4 | ||
| GCIPL thickness | |||||||||
| center | 45.72 ± 6.96 | 46.85 ± 5.85 | 46.20 ± 7.95 | 41.67 ± 7.84 | 45.05 ± 7.38 | 0.098 | 0.963 | 0.997 | 0.306 |
| parafovea | 92.54 ± 5.95 | 92.94 ± 6.99 | 87.91 ± 10.78 | 85.53 ± 8.46 | 89.53 ± 8.46 | 0.007 | 0.999 | 0.285 | 0.027 |
| RT | |||||||||
| center | 232.92 ± 16.66 | 237.30 ± 13.02 | 237.65 ± 19.12 | 222.59 ± 24.02 | 232.46 ± 19.04 | 0.031 | 0.892 | 0.794 | 0.171 |
| parafovea | 310.76 ± 12.63 | 308.93 ± 8.60 | 303.73 ± 19.74 | 294.23 ± 18.94 | 305.24 ± 16.37 | 0.001 | 0.973 | 0.355 | 0.001 |
| CT | |||||||||
| center | 244.78 ± 71.16 | 242.05 ± 71.29 | 243.40 ± 107.00 | 166.29 ± 71.89 | 222.87 ± 87.36 | 0.006 | 1 | 1 | 0.02 |
| parafovea | 241.14 ± 67.56 | 241.10 ± 65.43 | 232.77 ± 93.80 | 162.43 ± 75.38 | 218.09 ± 82.37 | 0.003 | 1 | 0.987 | 0.011 |
| OCT & OCTA Parameter | G1 + G2 | G3 + G4 | p-Value |
|---|---|---|---|
| FAZ (mm2) | 0.338 ± 0.107 | 0.412 ± 0.102 | <0.001 |
| SCP VD (%) | |||
| center | 20.98 ± 4.29 | 17.28 ± 4.10 | <0.001 |
| parafovea | 48.55 ± 2.02 | 46.84 ± 1.88 | <0.001 |
| DCP VD (%) | |||
| center | 17.83 ± 3.98 | 14.82 ± 3.97 | <0.001 |
| parafovea | 51.29 ± 2.75 | 48.62 ± 3.21 | <0.001 |
| CCP VD (%) | |||
| center | 62.72 ± 4.78 | 56.22 ± 7.77 | <0.001 |
| parafovea | 63.56 ± 3.72 | 59.63 ± 3.70 | <0.001 |
| GC-IPL thickness (µm) | |||
| center | 46.32 ± 6.34 | 43.88 ± 8.13 | 0.143 |
| parafovea | 92.75 ± 6.44 | 86.54 ± 9.07 | <0.001 |
| RT (µm) | |||
| center | 234.48 ± 15.48 | 229.76 ± 22.86 | 0.252 |
| parafovea | 310.11 ± 11.31 | 298.75 ± 19.68 | <0.001 |
| CT (µm) | |||
| center | 243.34 ± 70.28 | 203.90 ± 97.70 | 0.042 |
| parafovea | 241.12 ± 65.54 | 196.74 ± 91.03 | 0.015 |
| OCT&OCTA Parameters | Center | Parafovea | ||
|---|---|---|---|---|
| R | p-Value | R | p-Value | |
| SCP VD | −0.540 | <0.001 | −0.017 | 0.865 |
| DCP VD | −0.428 | <0.001 | 0.033 | 0.75 |
| CCP VD | −0.214 | 0.034 | −0.299 | 0.003 |
| GC-IPL thickness | −0.471 | <0.001 | −0.331 | 0.003 |
| RT | −0.351 | <0.001 | −0.346 | 0.015 |
| CT | −0.231 | 0.04 | −0.236 | 0.036 |
© 2020 by the authors. Licensee MDPI, Basel, Switzerland. This article is an open access article distributed under the terms and conditions of the Creative Commons Attribution (CC BY) license (http://creativecommons.org/licenses/by/4.0/).
Share and Cite
Park, S.H.; Cho, H.; Hwang, S.J.; Jeon, B.; Seong, M.; Yeom, H.; Kang, M.H.; Lim, H.W.; Shin, Y.U. Changes in the Retinal Microvasculature Measured Using Optical Coherence Tomography Angiography According to Age. J. Clin. Med. 2020, 9, 883. https://doi.org/10.3390/jcm9030883
Park SH, Cho H, Hwang SJ, Jeon B, Seong M, Yeom H, Kang MH, Lim HW, Shin YU. Changes in the Retinal Microvasculature Measured Using Optical Coherence Tomography Angiography According to Age. Journal of Clinical Medicine. 2020; 9(3):883. https://doi.org/10.3390/jcm9030883
Chicago/Turabian StylePark, Seung Hun, Heeyoon Cho, Sun Jin Hwang, Beomseo Jeon, Mincheol Seong, Hosuck Yeom, Min Ho Kang, Han Woong Lim, and Yong Un Shin. 2020. "Changes in the Retinal Microvasculature Measured Using Optical Coherence Tomography Angiography According to Age" Journal of Clinical Medicine 9, no. 3: 883. https://doi.org/10.3390/jcm9030883
APA StylePark, S. H., Cho, H., Hwang, S. J., Jeon, B., Seong, M., Yeom, H., Kang, M. H., Lim, H. W., & Shin, Y. U. (2020). Changes in the Retinal Microvasculature Measured Using Optical Coherence Tomography Angiography According to Age. Journal of Clinical Medicine, 9(3), 883. https://doi.org/10.3390/jcm9030883

