Factors Associated with Ineffectiveness of Sildenafil Treatment in Patients with End-Stage Heart Failure and Elevated Pulmonary Vascular Resistance
Abstract
1. Introduction
2. Materials and Methods
- Severe PH defined as the presence of elevated systolic pulmonary artery pressure (sPAP ≥ 50 mmHg), the PVR > 3 Wood units or the transpulmonary gradient (TPG ≥ 15 mmHg) [1];
- reversibility of elevated PVR during the use of nitroprusside infusion;
- optimal medical and device therapy.
2.1. Laboratory Testing
2.2. Statistical Analysis
3. Results
4. Discussion
5. Conclusions
Author Contributions
Funding
Conflicts of Interest
References
- Galie, N.; Humbert, M.; Vachiery, J.L.; Gibbs, S.; Lang, I.; Torbicki, A.; Simonneau, G.; Peacock, A.; Vonk Noordegraaf, A.; Beghetti, M.; et al. 2015 ESC/ERS Guidelines for the diagnosis and treatment of pul-monary hypertension: The Joint Task Force for the Diagnosis and Treatment of Pulmonary Hypertension of the European Society of Cardiology (ESC) and the European Respiratory Society (ERS): Endorsed by: Associa-tion for European Paediatric and Congenital Cardiology (AEPC), International Society for Heart and Lung Transplantation (ISHLT). Eur. Respir. J. 2015, 46, 903–975. [Google Scholar] [PubMed]
- Delgado, J.F.; Conde, E.; Sánchez, S.; López-Ríos, F.; Gómez-Sánchez, M.A.; Escribano, P.; Sotelo, T.; Gómez de la Cámara, A.; Cortina, J.; de la Calzada, C.S. Pulmonary vascular remodeling in pulmonary hypertension due to chronic heart failure. Eur. J. Heart Fail. 2005, 7, 1011–1016. [Google Scholar] [CrossRef] [PubMed]
- Moraes, D.L.; Colucci, W.S.; Givertz, M.M. Secondary pulmonary hypertension in chronic heart failure: The role of the endothelium in pathophysiology and management. Circulation 2000, 102, 1718–1723. [Google Scholar] [CrossRef] [PubMed]
- Guazzi, M.; Arena, R. Pulmonary hypertension with left-sided heart disease. Nat. Rev. Cardiol. 2010, 7, 648–659. [Google Scholar] [CrossRef]
- Potter, B.J.; White, M.; Carrier, M.; Pellerin, M.; L’Allier, P.L.; Pelletier, G.B.; Racine, N.; Ducharme, A. Hemodynamic and Clinical Benefits Associated with Chronic Sildenafil Therapy in Advanced Heart Failure: Experience of the Montréal Heart Institute. Can. J. Cardiol. 2012, 28, 69–73. [Google Scholar] [CrossRef]
- Jasmin, J.-F.; Calderone, A.; Leung, T.-K.; Villeneuve, L.; Dupuis, J. Lung structural remodeling and pulmonary hypertension after myocardial infarction: Complete reversal with irbesartan. Cardiovasc. Res. 2003, 58, 621–631. [Google Scholar] [CrossRef]
- Lewis, G.D.; Shah, R.; Shahzad, K.; Camuso, J.M.; Pappagianopoulos, P.P.; Hung, J.; Tawakol, A.; Gerszten, R.E.; Systrom, D.M.; Bloch, K.D.; et al. Sildenafil Improves Exercise Capacity and Quality of Life in Patients with Systolic Heart Failure and Secondary Pulmonary Hypertension. Circulation 2007, 116, 1555–1562. [Google Scholar] [CrossRef] [PubMed]
- Botha, P.; Parry, G.; Dark, J.; MacGowan, G.A. Acute Hemodynamic Effects of Intravenous Sildenafil Citrate in Congestive Heart Failure: Comparison of Phosphodiesterase Type-3 and -5 Inhibition. J. Heart Lung Transpl. 2009, 28, 676–682. [Google Scholar] [CrossRef]
- Guazzi, M.; Arena, R. The impact of pharmacotherapy on the cardiopulmonary exercise test response in patients with heart failure: A mini review. Curr. Vasc. Pharmacol. 2009, 7, 557–569. [Google Scholar] [CrossRef]
- Freitas, A.F., Jr.; Bacal, F.; Oliveira, J.L., Jr.; Santos, R.H.; Moreira, L.F.; Silva, C.P.; Mangini, S.; Carneiro, R.M.; Fiorelli, A.I.; Bocchi, E.A. Impact of sublingual sildenafil on pulmonary hypertension in patients with heart failure. Arq. Bras. Cardiol. 2009, 92, 116–126. [Google Scholar]
- Guazzi, M.; Arena, R.; Pinkstaff, S.; Guazzi, M.D. Six months of sildenafil therapy improves heart rate recov-ery in patients with heart failure. Int. J. Cardiol. 2009, 136, 341–343. [Google Scholar] [CrossRef] [PubMed]
- Guazzi, M.; Myers, J.; Peberdy, M.A.; Bensimhon, D.; Chase, P.; Arena, R. Ventilatory efficiency and dyspnea on exertion improvements are related to reduced pulmonary pressure in heart failure patients receiving Sildenafil. Int. J. Cardiol. 2010, 144, 410–412. [Google Scholar] [CrossRef] [PubMed]
- De Vecchis, R.; Cesaro, A.; Ariano, C.; Giasi, A.; Cioppa, C. Phosphodiesterase-5 Inhibitors Improve Clinical Outcomes, Exercise Capacity and Pulmonary Hemodynamics in Patients with Heart Failure with Reduced Left Ventricular Ejection Fraction: A Meta-Analysis. J. Clin. Med. Res. 2017, 9, 488–498. [Google Scholar] [CrossRef] [PubMed]
- Guazzi, M.; Samaja, M.; Arena, R.; Vicenzi, M.; Guazzi, M.D. Long-Term Use of Sildenafil in the Therapeutic Management of Heart Failure. J. Am. Coll. Cardiol. 2007, 50, 2136–2144. [Google Scholar] [CrossRef]
- Huber, L.C.; Bye, H.; Brock, M. The pathogenesis of pulmonary hypertension—An update. Swiss Med. Wkly. 2015, 145, 14202. [Google Scholar] [CrossRef]
- Sarli, B.; Topsakal, R.; Kaya, E.G.; Akpek, M.; Lam, Y.Y.; Kaya, M.G. Tenascin-C as Predictor of Left Ventricular Remodeling and Mortality in Patients with Dilated Cardiomyopathy. J. Investig. Med. 2013, 61, 728–732. [Google Scholar] [CrossRef]
- Franz, M.; Brehm, B.R.; Richter, P.; Gruen, K.; Neri, D.; Kosmehl, H.; Hekmat, K.; Renner, A.; Gummert, J.; Figulla, H.R.; et al. Changes in extra cellular matrix remodelling and re-expression of fibronectin and tenascin-C splicing variants in human myocardial tissue of the right atrial auricle: Implications for a targeted therapy of cardiovascular diseases using human SIP format antibodies. J. Mol. Histol. 2010, 41, 39–50. [Google Scholar] [CrossRef]
- Wallner, K.; Sharifi, B.G.; Shah, P.K.; Noguchi, S.; DeLeon, H.; Wilcox, J.N. Adventitial remodeling after angioplasty is associated with expres-sion of tenascin mRNA by adventitial myofibroblasts. J. Am. Coll. Cardiol. 2001, 37, 655–661. [Google Scholar] [CrossRef]
- Terasaki, F.; Okamoto, H.; Onishi, K.; Sato, A.; Shimomura, H.; Tsukada, B.; Imanaka-Yoshida, K.; Hiroe, M.; Yoshida, T.; Kitaura, Y.; et al. Higher Serum Tenascin-C Levels Reflect the Severity of Heart Failure, Left Ventricular Dysfunction and Remodeling in Patients with Dilated Cardiomyopathy. Circ. J. 2007, 71, 327–330. [Google Scholar] [CrossRef] [PubMed]
- Ihida-Stansbury, K.; Mckean, D.M.; Lane, K.B.; Loyd, J.E.; Wheeler, L.A.; Morrell, N.W.; Jones, P.L. Tenascin-C is induced by mutated BMP type II receptors in familial forms of pulmonary arterial hypertension. Am. J. Physiol. Cell. Mol. Physiol. 2006, 291, 694–702. [Google Scholar] [CrossRef]
- Franz, M.; Berndt, A.; Grün, K.; Kuethe, F.; Fritzenwanger, M.; Figulla, H.R.; Jung, C. Serum levels of tenscin-C variants in congestive heart failure patients: Comparative analysis of ischemic, dilated, and hypertensive cardiomyopathy. Clin. Lab. 2014, 60, 1007–1013. [Google Scholar] [CrossRef]
- Correia-Pinto, J.; Henriques-Coelho, T.; Roncon-Albuquerque, R., Jr.; Lourenço, A.P.; Melo-Rocha, G.; Vasques-Nóvoa, F.; Gillebert, T.C.; Leite-Moreira, A.F. Time course and mechanisms of left ventricular systolic and diastolic dysfunction in monocrotaline-induced pulmonary hypertension. Basic Res. Cardiol. 2009, 104, 535–545. [Google Scholar] [CrossRef]
- Rabinovitch, M. Elastase and the pathobiology of unexplained pulmonary hypertension. Chest 1998, 114, 213S–224S. [Google Scholar] [CrossRef]
- Jones, P.L.; Chapados, R.; Baldwin, H.S.; Raff, G.W.; Vitvitsky, E.V.; Spray, T.L.; Gaynor, J.W. Altered hemodynamics controls matrix metalloproteinase ac-tivity and tenascin-C expression in neonatal pig lung. Am. J. Physiol. Lung. Cell Mol. Physiol. 2002, 282, 26–35. [Google Scholar] [CrossRef][Green Version]
- Schermuly, R.T.; Yilmaz, H.; Ghofrani, H.A.; Woyda, K.; Pullamsetti, S.; Schulz, A.; Gessler, T.; Dumitrascu, R.; Weissmann, N.; Grimminger, F.; et al. Inhaled Iloprost Reverses Vascular Remodeling in Chronic Experimental Pulmonary Hypertension. Am. J. Respir. Crit. Care Med. 2005, 172, 358–363. [Google Scholar] [CrossRef] [PubMed]
- Rohm, I.; Grün, K.; Müller, L.M.; Kretzschmar, D.; Fritzenwanger, M.; Yilmaz, A.; Lauten, A.; Jung, C.; Schulze, P.C.; Berndt, A.; et al. Increased Serum Levels of Fetal Tenascin-C Variants in Patients with Pulmonary Hypertension: Novel Biomarkers Reflecting Vascular Remodeling and Right Ventricular Dysfunction? Int. J. Mol. Sci. 2017, 18, 2371. [Google Scholar] [CrossRef] [PubMed]
- Fujimoto, N.; Onishi, K.; Sato, A.; Terasaki, F.; Tsukada, B.; Nozato, T.; Yamada, T.; Imanaka-Yoshida, K.; Yoshida, T.; Ito, M.; et al. Incremental Prognostic Values of Serum Tenascin-C Levels With Blood B-type Natriuretic Peptide Testing at Discharge in Patients With Dilated Cardiomyopathy and Decompensated Heart Failure. J. Card. Fail. 2009, 15, 898–905. [Google Scholar] [CrossRef]
- Schumann, C.; Lepper, P.M.; Frank, H.; Schneiderbauer, R.; Wibmer, T.; Kropf, C.; Stoiber, K.M.; Rüdiger, S.; Kruska, L.; Krahn, T.; et al. Circulating biomarkers of tissue remodelling in pulmonary hy-pertension. Biomarkers 2010, 15, 523–532. [Google Scholar] [CrossRef] [PubMed]
- Lowe, G.D. Blood Viscosity and Cardiovascular Disease. Thromb. Haemost. 1992, 67, 494–498. [Google Scholar] [CrossRef]
- Ernst, E.; Weihmayr, T.; Schmid, M.; Baumann, M.; Matrai, A. Cardiovascular risk factors and hemorheology. Physical fitness, stress and obesity. Atherosclerosis 1986, 59, 263–269. [Google Scholar] [CrossRef]
- Koenig, W.; Ernst, E. The possible role of hemorheology in atherothrombogenesis. Atherosclerosis 1992, 94, 93–107. [Google Scholar] [CrossRef]
- Henn, V.; Slupsky, J.R.; Gräfe, M.; Anagnostopoulos, I.; Förster, R.; Müller-Berghaus, G.; Kroczek, R.A. CD40 ligand on activated platelets triggers an inflammatory reaction of endothelial cells. Nat. Cell Biol. 1998, 391, 591–594. [Google Scholar] [CrossRef] [PubMed]
- Smith, E.B.; Keen, G.A.; Grant, A.; Stirk, C. Fate of fibrinogen in human arterial intima. Arteriosclerosis 1990, 10, 263–275. [Google Scholar] [CrossRef]
- Sen, U.; Tyagi, N.; Patibandla, P.K.; Dean, W.L.; Tyagi, S.C.; Roberts, A.M.; Lominadze, D. Fibrinogen-induced endothelin-1 production from endothelial cells. Am. J. Physiol. Cell Physiol. 2009, 296, 840–847. [Google Scholar] [CrossRef]
- Szczurek, W.; Gąsior, M.; Skrzypek, M.; Kaczmarski, J.; Szyguła-Jurkiewicz, B. Modified Model for End-Stage Liver Disease Is an Indicator of the Ineffectiveness of Sildenafil Treatment in Patients with Advanced Heart Failure and Increased Pulmonary Vascular Resistance. Transpl. Proc. 2020, 52, 2440–2446. [Google Scholar] [CrossRef]
- Navaneethan, S.D.; Wehbe, E.; Heresi, G.A.; Gaur, V.; Minai, O.A.; Arrigain, S.; Nally, J.V., Jr.; Schold, J.D.; Rahman, M.; Dweik, R.A. Presence and Outcomes of Kidney Disease in Patients with Pulmonary Hypertension. Clin. J. Am. Soc. Nephrol. 2014, 9, 855–863. [Google Scholar] [CrossRef]
- Thenappan, T.; Shah, S.J.; Gomberg-Maitland, M.; Collander, B.; Vallakati, A.; Shroff, P.; Rich, S. Clinical Characteristics of Pulmonary Hypertension in Patients with Heart Failure and Preserved Ejection Fraction. Circ. Heart Fail. 2011, 4, 257–265. [Google Scholar] [CrossRef]
- Mullens, W.; Abrahams, Z.; Francis, G.S.; Sokos, G.; Taylor, D.O.; Starling, R.C.; Young, J.B.; Tang, W.H.W. Importance of venous congestion for worsening of renal func-tion in advanced decompensated heart failure. J. Am. Coll. Cardiol. 2009, 53, 589–596. [Google Scholar] [CrossRef]
- Nickel, N.P.; O’Leary, J.M.; Brittain, E.L.; Fessel, J.P.; Zamanian, R.T.; West, J.D.; Austin, E.D. Kidney dysfunction in patients with pulmonary arterial hyper-tension. Pulm Circ. 2017, 7, 38–54. [Google Scholar] [CrossRef]
- Ross, E.A. Congestive Renal Failure: The Pathophysiology and Treatment of Renal Venous Hypertension. J. Card. Fail. 2012, 18, 930–938. [Google Scholar] [CrossRef]
- Rao, S.D.; Menachem, J.N.; Birati, E.Y.; Mazurek, J.A. Pulmonary Hypertension in Advanced Heart Failure: Assessment and Management of the Failing RV and LV. Curr. Heart Fail. Rep. 2019, 16, 119–129. [Google Scholar] [CrossRef] [PubMed]
- Ghio, S.; Gavazzi, A.; Campana, C.; Inserra, C.; Klersy, C.; Sebastiani, R.; Arbustini, E.; Recusani, F.; Tavazzi, L. Independent and additive prognostic value of right ventricular systolic function and pulmonary artery pressure in patients with chronic heart failure. J. Am. Coll. Cardiol. 2001, 37, 183–188. [Google Scholar] [CrossRef]
- Naeije, R.; Manes, A. The right ventricle in pulmonary arterial hypertension. Eur. Respir. Rev. 2014, 23, 476–487. [Google Scholar] [CrossRef]
- Westerhof, B.E.; Saouti, N.; Van Der Laarse, W.J.; Westerhof, N.; Noordegraaf, A.V. Treatment strategies for the right heart in pulmonary hypertension. Cardiovasc. Res. 2017, 113, 1465–1473. [Google Scholar] [CrossRef] [PubMed]
- Noordegraaf, A.V.; Westerhof, B.E.; Westerhof, N. The Relationship Between the Right Ventricle and its Load in Pulmonary Hypertension. J. Am. Coll. Cardiol. 2017, 69, 236–243. [Google Scholar] [CrossRef]
- Ren, X.; Johns, R.A.; Gao, W.D. Right Heart in Pulmonary Hypertension: From Adaptation to Failure. Pulm. Circ. 2019, 9, 2045894019845611. [Google Scholar] [CrossRef]

| Parameters | All Included N = 132 c | Group A a N = 83 | Group B b N = 49 | pd |
|---|---|---|---|---|
| Basic parameters | ||||
| Age, years | 57.5 (50.5–62.00) | 57.00 (50.00–61.00) | 58.00 (51.00–62.00) | 0.31 |
| Male, n (%) | 119 (90.2) | 72 (86,7) | 47 (95.9) | 0.08 |
| NYHA IV, n (%) | 89 (67.4) | 53 (63.9) | 36 (73.5) | 0.25 |
| NYHA III, n (%) | 43 (32.6) | 30 (36.1) | 13 (26.5) | |
| Ischemic etiology of HF, n (%) | 92 (69.7) | 56 (67.5) | 36 (73.5) | 0.28 |
| BMI, kg/m2 | 26.44 (24.69–30.00) | 26.12 (24.69–29.26) | 27.16 (24.76–31.20) | 0.32 |
| Comorbidities | ||||
| Hypertension, n (%) | 64 (48.5) | 41 (49.4) | 23 (46.9) | 0.78 |
| Type 2 diabetes, n (%) | 57 (43.2) | 39 (47) | 18 (36.4) | 0.25 |
| Persistent FA, n (%) | 64 (49.5) | 43 (51.8) | 25 (51) | 0.93 |
| Laboratory parameters | ||||
| Hemoglobin, mmol/L | 8.30 (7.50–9.10) | 8.30 (7.50–9.10) | 8.40 (7.70–9.20) | 0.62 |
| Creatinine, µmol/L | 117.5 (101.5–138.00) | 114.50 (99.00–136.00) | 126.00 (107.00–153.00) | 0.052 |
| Total bilirubin, µmol/L | 24.50 (16.05–34.85) | 18.50 (13.00–24.60) | 38.50 (29.40–44.60) | <0.001 d |
| Albumin, g/L | 42.00 (40.00–44.00) | 41.22 (4.52) | 42.49 (3.54) | 0.09 |
| Uric acid, µmol/L | 457.00 (383.00–585.00) | 438.00 (381.00–521.00) | 567.00 (420.00–640.00) | 0.007 d |
| Urea, µmol/L | 9.70 (6.80–13.50) | 9.40 (6.70–13.00) | 10.95 (6.80–16.05) | 0.19 |
| Sodium, mmol/L | 138 (134.0–140.0) | 137.65 (4.63) | 137.37 (4.93) | 0.74 |
| Fibrinogen, mg/dL | 396.00 (337.00–397.00) | 354.00 (313.00–419.00) | 478.00 (416.00–531.00) | <0.001 d |
| AST, U/L | 24.50 (20.00–31.00) | 26.00 (20.00–37.00) | 23.00 (19.00–28.00) | 0.03 |
| ALT, U/L | 20.50 (16.00–30.00) | 23.00 (16.00–34.00) | 20.00 (17.00–24.00) | 0.08 |
| ALP, U/L | 99.00 (76.00–126.00) | 93.50 (70.00–123.00) | 112.00 (89.00–133.00) | 0.008 d |
| GGTP, U/L | 134 (86.00–182.00) | 98.00 (65.00–139.00) | 201.00 (153.00–244.00) | <0.001 d |
| Cholesterol, mmol/L | 3.91 (3.00–4.67) | 4.03 (2.96–4.74) | 3.81 (3.04–4.50) | 0.26 |
| hs-CRP, mg/L | 7.2 (3.4–12.50) | 4.31 (2.38–8.16) | 14.27 (11.10–21.33) | <0.001 d |
| NT-proBNP, pg/mL | 3501 (2271–5736.5) | 3273 (1901–5670) | 4302(3000–6101) | 0.07 |
| Tenascin C, ng/L | 756.299 (357.96–2489.29) | 446.26 (185.36–678.92) | 3286.35 (1250.42–4312.33) | <0.001 d |
| Echocardiografic parameters | ||||
| RVEDd, mm | 40.00 (32.00–43.00) | 34.00 (31.00–41.00) | 42.00 (40.00–45.00) | <0.001 d |
| TAPSE, mm | 14 (13–16) | 15 (13–16) | 14 (12–15) | 0.06 |
| LVEDd, mm | 75.72 (9.13) | 75.52 (9.67) | 76.06 (8.23) | 0.72 |
| LA, mm | 55.00 (50.0–60.00) | 54.00 (49.00–60.00) | 58.00 (54.00–60.00) | 0.03 d |
| LVEF, % | 16.00 (15.00–20.00) | 18.00 (15.00–20.00) | 16.00 (15.00–19.00) | 0.27 |
| Treatment | ||||
| B-blockers, n (%) | 126 (95.5) | 78 (94.0) | 48 (98.0) | 0.41 |
| ACEI/ARB, n (%) | 99 (80.5) | 66 (79.5) | 41 (83.7) | 0.65 |
| Loop diuretics, n (%) | 130 (98.5) | 82 (98.8) | 48 (98.0) | 0.70 |
| MRA, n (%) | 130 (98.5) | 82 (98.8) | 48 (98.0) | 0.70 |
| Digoxin, n (%) | 37 (28.0) | 23 (27.7) | 14 (28.6) | 0.92 |
| Ivabradine, n (%) | 30 (22.7) | 19 (22.9) | 11 (22.4) | 0.95 |
| Amiodaron, n (%) | 37 (28.0) | 25 (30.1) | 12 (24.5) | 0.49 |
| Statin, n (%) | 88 (66.7) | 55 (66.3) | 33 (67.3) | 0.90 |
| Coumarin derivatives, n (%) | 99 (75.0) | 64 (77.1) | 35 (71.4) | 0.47 |
| ICD, n (%) | 71 (53.8) | 46 (55.4) | 25 (51) | 0.62 |
| CRT-D, n (%) | 59 (44.7) | 35 (42.2) | 24 (49) | 0.45 |
| Other | ||||
| VO2 max, mL/kg/min, median (IQR) | 12.00 (10.50–13.50) | 12.20 (10.60–13.40) | 11.40 (9.70–13.60) | 0.39 |
| Hemodynamic Results of Right Heart Catheterization | ||||||
|---|---|---|---|---|---|---|
| Parameters | Before Sildenafil Therapy | After 6 Months of Sildenafil Therapy | ||||
| Group A a | Group B b | p | Group A a | Group B b | pc | |
| sPAP, mmHg | 56.00 (52.00–60.00) d | 57.00 (55.00–62.00) | 0.08 | 43.00 (40.00–46.00) | 54.00 (51.00–58.00) | <0.001 c |
| mPAP, mmHg | 41.66 (5.65) | 45.14 (3.99) | <0.001 c | 32.00 (30.00–35.00.) | 43.00 (40.00–47.00) | <0.001 c |
| CI, l/min/m2 | 1.80 (1.70–1.90) | 1.70 (1.60–1.90) | 0.02 c | 1.96 (1.90–2.10) | 1.80 (1.70–1.90) | <0.001 c |
| TPG, mmHg | 18.94 (3.66) | 20.61 (3.59) | 0.01 c | 12.00 (10.00–13.00) | 19.00 (16.00–21.00) | <0.001 c |
| PVR, Wood units | 4.40 (4.10–5.25) | 5.48 (4.57–6.07) | <0.001 c | 1.76 (1.41–2.08) | 3.78 (3.35–4.470) | <0.001 c |
| Parameters | Univariable Data | Multivariable Data | ||
|---|---|---|---|---|
| OR | pa | OR | p | |
| Tenascin C | 1.003 (1.002–1.005) | <0.001 a | 1.004 (1.002–1.006) | 0.0003 a |
| Albumin | 1.077 (0.987–1.176) | 0.10 | ||
| Total bilirubin | 1.192 (1.122–1.266) | <0.001 a | ||
| hs-CRP | 1.423 (1.264–1.603) | <0.001 a | ||
| Fibrinogen | 1.013 (1.008–1.018) | <0.001 a | 1.019 (1.005–1.033) | 0.009 a |
| ALP | 1.007 (1.998–1.015) | 0.14 | ||
| GGTP | 1.020 (1.012–1.028) | <0.001 a | ||
| Creatinine | 1.012 (1.001–1.023) | 0.04 a | 1.025 (1.004–1.047) | 0.02 a |
| Uric acid | 1.004 (1.001–1.006) | 0.005 a | ||
| Urea | 1.051 (0.988–1.118) | 0.11 | ||
| RVEDd | 1.146 (1.078–1.219) | <0.001 a | 1.279 (1.074–1.525) | 0.006 a |
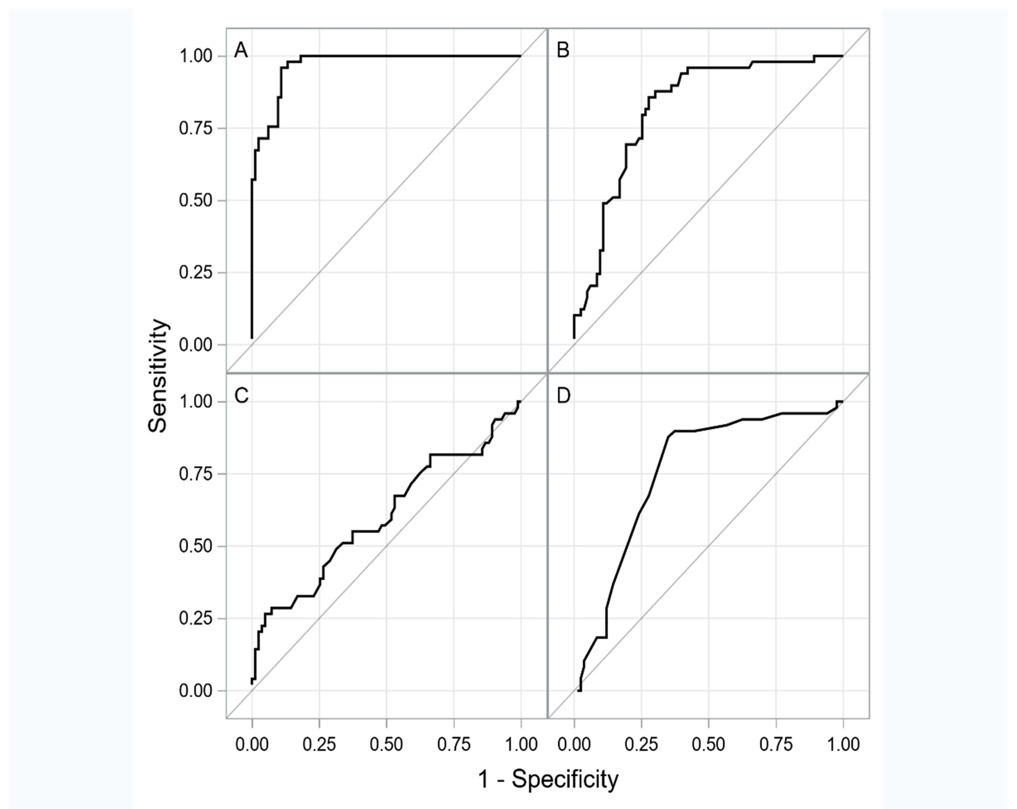
| AUC (±95 CI) | Cut-off | Sens. (±95 CI) | Spec. (±95 CI) | |
|---|---|---|---|---|
| Tenascin-C | 0.9680 (0.9444–0.9916) | >999 | 0.95 (0.86–0.99) | 0.89 (0.80–0.95) |
| Fibrinogen | 0.8187 (0.7456–0.8917) | >401 | 0.85 (0.73–0.94) | 0.77 (0.61–0.82) |
| RVEDd | 0.7577 (0.6723–0.8431) | >40 | 0.88 (0.75–0.95) | 0.65 (0.54–0.75) |
| Creatinine | 0.6025 (0.4981–0.7070) | >153 | 0.26 (0.15–0.41) | 0.95 (0.88–0.99) |
Publisher’s Note: MDPI stays neutral with regard to jurisdictional claims in published maps and institutional affiliations. |
© 2020 by the authors. Licensee MDPI, Basel, Switzerland. This article is an open access article distributed under the terms and conditions of the Creative Commons Attribution (CC BY) license (http://creativecommons.org/licenses/by/4.0/).
Share and Cite
Szczurek, W.; Gąsior, M.; Skrzypek, M.; Romuk, E.; Szyguła-Jurkiewicz, B. Factors Associated with Ineffectiveness of Sildenafil Treatment in Patients with End-Stage Heart Failure and Elevated Pulmonary Vascular Resistance. J. Clin. Med. 2020, 9, 3539. https://doi.org/10.3390/jcm9113539
Szczurek W, Gąsior M, Skrzypek M, Romuk E, Szyguła-Jurkiewicz B. Factors Associated with Ineffectiveness of Sildenafil Treatment in Patients with End-Stage Heart Failure and Elevated Pulmonary Vascular Resistance. Journal of Clinical Medicine. 2020; 9(11):3539. https://doi.org/10.3390/jcm9113539
Chicago/Turabian StyleSzczurek, Wioletta, Mariusz Gąsior, Michał Skrzypek, Ewa Romuk, and Bożena Szyguła-Jurkiewicz. 2020. "Factors Associated with Ineffectiveness of Sildenafil Treatment in Patients with End-Stage Heart Failure and Elevated Pulmonary Vascular Resistance" Journal of Clinical Medicine 9, no. 11: 3539. https://doi.org/10.3390/jcm9113539
APA StyleSzczurek, W., Gąsior, M., Skrzypek, M., Romuk, E., & Szyguła-Jurkiewicz, B. (2020). Factors Associated with Ineffectiveness of Sildenafil Treatment in Patients with End-Stage Heart Failure and Elevated Pulmonary Vascular Resistance. Journal of Clinical Medicine, 9(11), 3539. https://doi.org/10.3390/jcm9113539

