Long-Term Clinical Outcome of First Recurrence Skull Base Meningiomas
Abstract
1. Introduction
2. Materials and Methods
2.1. Study Population
2.2. Statistical Analysis
3. Results
3.1. Patient Characteristics
3.2. Operation Characteristics
3.3. Length of Hospital Stay and Postoperative Complications
3.4. Tumor Histology, Removal Rate, and Postoperative Radiotherapy of Each Reoperation
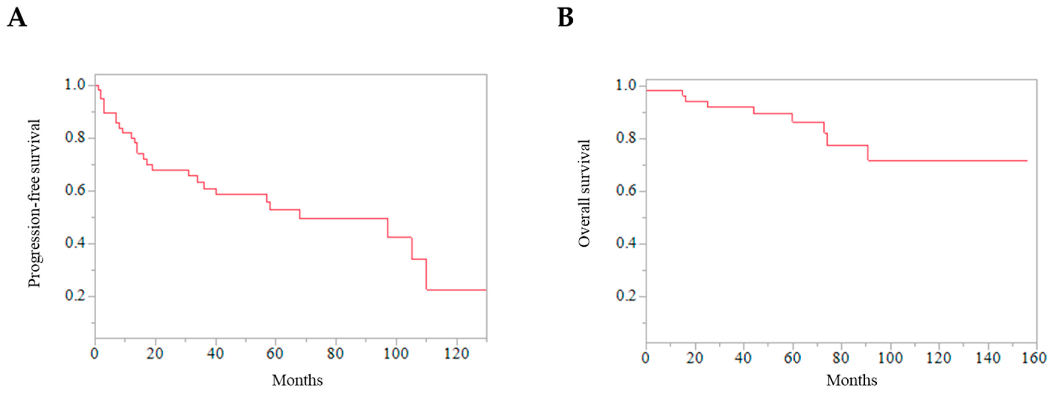
3.5. OS and PFS
3.6. Univariate and Multivariate Analyses
4. Discussion
5. Conclusions
Author Contributions
Funding
Conflicts of Interest
References
- Mansouri, A.; Klironomos, G.; Taslimi, S.; Kilian, A.; Gentili, F.; Khan, O.H.; Aldape, K.; Zadeh, G. Surgically resected skull base meningiomas demonstrate a divergent postoperative recurrence pattern compared with non-skull base meningiomas. J. Neurosurg. 2016, 125, 431–440. [Google Scholar] [CrossRef] [PubMed]
- McGovern, S.L.; Aldape, K.D.; Munsell, M.F.; Mahajan, A.; DeMonte, F.; Woo, S.Y. A comparison of World Health Organization tumor grades at recurrence in patients with non-skull base and skull base meningiomas. J. Neurosurg. 2010, 112, 925–933. [Google Scholar] [CrossRef] [PubMed]
- Hashimoto, N.; Rabo, C.S.; Okita, Y.; Kinoshita, M.; Kagawa, N.; Fujimoto, Y.; Morii, E.; Kishima, H.; Maruno, M.; Kato, A.; et al. Slower growth of skull base meningiomas compared with non-skull base meningiomas based on volumetric and biological studies. J. Neurosurg. 2012, 116, 574–580. [Google Scholar] [CrossRef] [PubMed]
- Cornelius, J.F.; Slotty, P.J.; Steiger, H.J.; Hanggi, D.; Polivka, M.; George, B. Malignant potential of skull base versus non-skull base meningiomas: Clinical series of 1,663 cases. Acta Neurochir. (Wien) 2013, 155, 407–413. [Google Scholar] [CrossRef]
- Kane, A.J.; Sughrue, M.E.; Rutkowski, M.J.; Shangari, G.; Fang, S.; McDermott, M.W.; Berger, M.S.; Parsa, A.T. Anatomic location is a risk factor for atypical and malignant meningiomas. Cancer 2011, 117, 1272–1278. [Google Scholar] [CrossRef]
- Magill, S.T.; Lee, D.S.; Yen, A.J.; Lucas, C.G.; Raleigh, D.R.; Aghi, M.K.; Theodosopoulos, P.V.; McDermott, M.W. Surgical outcomes after reoperation for recurrent skull base meningiomas. J. Neurosurg. 2018, 130, 876–883. [Google Scholar] [CrossRef]
- Meling, T.R.; Da Broi, M.; Scheie, D.; Helseth, E. Skull base versus non-skull base meningioma surgery in the elderly. Neurosurg. Rev. 2018. [Google Scholar] [CrossRef]
- Savardekar, A.R.; Patra, D.P.; Bir, S.; Thakur, J.D.; Mohammed, N.; Bollam, P.; Georgescu, M.M.; Nanda, A. Differential Tumor Progression Patterns in Skull Base Versus Non-Skull Base Meningiomas: A Critical Analysis from a Long-Term Follow-Up Study and Review of Literature. World Neurosurg. 2018, 112, e74–e83. [Google Scholar] [CrossRef]
- Lemee, J.M.; Corniola, M.V.; Da Broi, M.; Joswig, H.; Scheie, D.; Schaller, K.; Helseth, E.; Meling, T.R. Extent of Resection in Meningioma: Predictive Factors and Clinical Implications. Sci. Rep. 2019, 9, 5944. [Google Scholar] [CrossRef]
- Voss, K.M.; Spille, D.C.; Sauerland, C.; Suero Molina, E.; Brokinkel, C.; Paulus, W.; Stummer, W.; Holling, M.; Jeibmann, A.; Brokinkel, B. The Simpson grading in meningioma surgery: Does the tumor location influence the prognostic value? J. Neurooncol. 2017, 133, 641–651. [Google Scholar] [CrossRef]
- Schneider, M.; Schuss, P.; Guresir, A.; Wach, J.; Hamed, M.; Vatter, H.; Guresir, E. Cranial Nerve Outcomes After Surgery for Frontal Skull Base Meningiomas: The Eternal Quest of the Maximum-Safe Resection with the Lowest Morbidity. World Neurosurg. 2019. [Google Scholar] [CrossRef] [PubMed]
- Dasanu, C.A.; Samara, Y.; Codreanu, I.; Limonadi, F.M.; Hamid, O.; Alvarez-Argote, J. Systemic therapy for relapsed/refractory meningioma: Is there potential for antiangiogenic agents? J. Oncol. Pharm. Pract. 2019, 25, 638–647. [Google Scholar] [CrossRef] [PubMed]
- Kaley, T.J.; Wen, P.; Schiff, D.; Ligon, K.; Haidar, S.; Karimi, S.; Lassman, A.B.; Nolan, C.P.; DeAngelis, L.M.; Gavrilovic, I.; et al. Phase II trial of sunitinib for recurrent and progressive atypical and anaplastic meningioma. Neuro. Oncol. 2015, 17, 116–121. [Google Scholar] [CrossRef] [PubMed]
- Shih, K.C.; Chowdhary, S.; Rosenblatt, P.; Weir, A.B., 3rd; Shepard, G.C.; Williams, J.T.; Shastry, M.; Burris, H.A., 3rd; Hainsworth, J.D. A phase II trial of bevacizumab and everolimus as treatment for patients with refractory, progressive intracranial meningioma. J. Neurooncol. 2016, 129, 281–288. [Google Scholar] [CrossRef] [PubMed]
- Wang, C.; Kaprealian, T.B.; Suh, J.H.; Kubicky, C.D.; Ciporen, J.N.; Chen, Y.; Jaboin, J.J. Overall survival benefit associated with adjuvant radiotherapy in WHO grade II meningioma. Neuro. Oncol. 2017, 19, 1263–1270. [Google Scholar] [CrossRef] [PubMed]
- Bagshaw, H.P.; Burt, L.M.; Jensen, R.L.; Suneja, G.; Palmer, C.A.; Couldwell, W.T.; Shrieve, D.C. Adjuvant radiotherapy for atypical meningiomas. J. Neurosurg. 2017, 126, 1822–1828. [Google Scholar] [CrossRef] [PubMed]
- Zhu, H.; Bi, W.L.; Aizer, A.; Hua, L.; Tian, M.; Den, J.; Tang, H.; Chen, H.; Wang, Y.; Mao, Y.; et al. Efficacy of adjuvant radiotherapy for atypical and anaplastic meningioma. Cancer Med. 2019, 8, 13–20. [Google Scholar] [CrossRef]
- Faramand, A.; Kano, H.; Niranjan, A.; Park, K.J.; Flickinger, J.C.; Lunsford, L.D. Tumor Control and Cranial Nerve Outcomes After Adjuvant Radiosurgery for Low-Grade Skull Base Meningiomas. World Neurosurg. 2019, 127, e221–e229. [Google Scholar] [CrossRef]
- Park, S.; Cha, Y.J.; Suh, S.H.; Lee, I.J.; Lee, K.S.; Hong, C.K.; Kim, J.W. Risk group-adapted adjuvant radiotherapy for WHO grade I and II skull base meningioma. J. Cancer Res. Clin. Oncol. 2019, 145, 1351–1360. [Google Scholar] [CrossRef]
- DeMonte, F.; McDermott, M.W.; Al-Mefty, O. Al-Mefty’s Meningiomas, 2nd ed.; Thieme Medical: New York, NY, USA, 2011. [Google Scholar]
- Huang, R.Y.; Unadkat, P.; Bi, W.L.; George, E.; Preusser, M.; McCracken, J.D.; Keen, J.R.; Read, W.L.; Olson, J.J.; Seystahl, K.; et al. Response assessment of meningioma: 1D, 2D, and volumetric criteria for treatment response and tumor progression. Neuro. Oncol. 2019, 21, 234–241. [Google Scholar] [CrossRef]
- Morimoto, Y.; Tamura, R.; Ohara, K.; Kosugi, K.; Oishi, Y.; Kuranari, Y.; Yoshida, K.; Toda, M. Prognostic significance of VEGF receptors expression on the tumor cells in skull base chordoma. J. Neurooncol. 2019, 144, 65–77. [Google Scholar] [CrossRef] [PubMed]
- Tsermoulas, G.; Turel, M.K.; Wilcox, J.T.; Shultz, D.; Farb, R.; Zadeh, G.; Bernstein, M. Management of multiple meningiomas. J. Neurosurg. 2018, 128, 1403–1409. [Google Scholar] [CrossRef] [PubMed]
- Simpson, D. The recurrence of intracranial meningiomas after surgical treatment. J. Neurol. Neurosurg. Psychiatry. 1957, 20, 22–39. [Google Scholar] [CrossRef] [PubMed]
- Tamura, R.; Tomio, R.; Mohammad, F.; Toda, M.; Yoshida, K. Analysis of various tracts of mastoid air cells related to CSF leak after the anterior transpetrosal approach. J. Neurosurg. 2018, 130, 360–367. [Google Scholar] [CrossRef]
- Gallagher, M.J.; Jenkinson, M.D.; Brodbelt, A.R.; Mills, S.J.; Chavredakis, E. WHO grade 1 meningioma recurrence: Are location and Simpson grade still relevant? Clin. Neurol. Neurosurg. 2016, 141, 117–121. [Google Scholar] [CrossRef]
- Meling, T.R.; Da Broi, M.; Scheie, D.; Helseth, E. Meningiomas: Skull base versus non-skull base. Neurosurg. Rev. 2019, 42, 163–173. [Google Scholar] [CrossRef]
- Wang, Y.C.; Chuang, C.C.; Wei, K.C.; Hsu, Y.H.; Hsu, P.W.; Lee, S.T.; Wu, C.T.; Tseng, C.K.; Wang, C.C.; Chen, Y.L.; et al. Skull base atypical meningioma: Long term surgical outcome and prognostic factors. Clin. Neurol. Neurosurg. 2015, 128, 112–116. [Google Scholar] [CrossRef]
- Nanda, A.; Bir, S.C.; Maiti, T.K.; Konar, S.K.; Missios, S.; Guthikonda, B. Relevance of Simpson grading system and recurrence-free survival after surgery for World Health Organization Grade I meningioma. J. Neurosurg. 2017, 126, 201–211. [Google Scholar] [CrossRef]
- De Almeida, A.N.; Pereira, B.J.A.; Pires Aguiar, P.H.; Paiva, W.S.; Cabrera, H.N.; da Silva, C.C.; Teixeira, M.J.; Marie, S.K.N. Clinical Outcome, Tumor Recurrence, and Causes of Death: A Long-Term Follow-Up of Surgically Treated Meningiomas. World Neurosurg. 2017, 102, 139–143. [Google Scholar] [CrossRef]
- Scheitzach, J.; Schebesch, K.M.; Brawanski, A.; Proescholdt, M.A. Skull base meningiomas: Neurological outcome after microsurgical resection. J. Neurooncol. 2014, 116, 381–386. [Google Scholar] [CrossRef]
- Park, K.S.; Kim, K.H.; Park, S.H.; Hwang, J.H.; Lee, D.H. Intracranial meningioma with leptomeningeal dissemination : Retrospective study with review of the literature. J. Korean Neurosurg. Soc. 2015, 57, 258–265. [Google Scholar] [CrossRef] [PubMed]
- Koch, M.J.; Agarwalla, P.K.; Royce, T.J.; Shih, H.A.; Oh, K.; Niemierko, A.; Mauceri, T.C.; Curry, W.T.; Barker, F.G.; Loeffler, J.S. Brachytherapy as an Adjuvant for Recurrent Atypical and Malignant Meningiomas. Neurosurgery 2019. [Google Scholar] [CrossRef] [PubMed]
- Zhang, Y.; Chen, J.H.; Chen, T.Y.; Lim, S.W.; Wu, T.C.; Kuo, Y.T.; Ko, C.C.; Su, M.Y. Radiomics approach for prediction of recurrence in skull base meningiomas. Neuroradiology 2019. [Google Scholar] [CrossRef] [PubMed]
- Ko, C.C.; Lim, S.W.; Chen, T.Y.; Chen, J.H.; Li, C.F.; Shiue, Y.L. Prediction of progression in skull base meningiomas: Additional benefits of apparent diffusion coefficient value. J. Neurooncol. 2018, 138, 63–71. [Google Scholar] [CrossRef] [PubMed]




| Parameter | Number (%) |
|---|---|
| Sex | |
| Male | 12 (17.4) |
| Female | 53 (82.6) |
| Time since prior surgery | |
| < 10 years | 48 (73.8) |
| ≥ 10 years | 17 (26.2) |
| WHO grading | |
| I | 52 (80.0) |
| II | 12 (18.5) |
| III | 1 (1.5) |
| Tumor size (mm) | 37 (4-70) |
| Diameter ≥ 60mm | 11 (16.9) |
| Diameter ≥ 30mm, < 60mm | 32 (49.2) |
| Diameter < 30mm | 22 (33.9) |
| Lesions | |
| Multiple | 10 (15.4) |
| Single | 55 (84.6) |
| Location | |
| Anterior cranial fossa | 9 (13.9) |
| Olfactory groove | 2 (3.1) |
| Tuberculum sellae | 7 (10.8) |
| Middle cranial fossa | 28 (43.1) |
| Sphenoid wing | 4 (6.2) |
| Anterior clinoid process | 5 (7.7) |
| Cavernous sinus | 7 (10.8) |
| Floor | 7 (10.8) |
| Optic canal and orbit | 3 (4.6) |
| Meckel’s cave | 1 (1.5) |
| Spheno-orbital | 1 (1.5) |
| Posterior cranial fossa | 27 (41.5) |
| Petroclival | 9 (13.8) |
| Spheno-petroclival | 2 (3.1) |
| Petrosal bone | 7 (10.8) |
| Jugular foramen | 1 (1.5) |
| Tentorial | 5 (7.7) |
| Foramen magnum | 3 (4.6) |
| Meningiomatosis | 1 (1.5) |
| Parameter | Number (%) |
|---|---|
| Operation | 85 |
| First reoperation | 53 (63.3) |
| Second reoperation | 23 (26.7) |
| Third reoperation | 9 (10.0) |
| Two-staged surgery | 4 (4.7) |
| Symptomatic progression | 49 (60.5) |
| Visual impairment | 20 (24.7) |
| Proptosis | 7 (8.6) |
| Facial numbness | 7 (8.6) |
| Headache | 3 (3.7) |
| Gait disturbance | 3 (3.7) |
| Cognitive changes | 2 (2.5) |
| Hearing disturbance | 2 (2.5) |
| Other symptoms | 5 (6.2) |
| Radiological progression | 32 (39.5) |
| Variable | First Reope | Second Reope | Third Reope | Total |
|---|---|---|---|---|
| Number of operations | 53 | 23 | 9 | 85 |
| Craniotomy | 47 | 19 | 6 | 72 |
| Frontotemporal approach | 14 | 8 | 4 | 26 |
| Orbitozygomatic approach | 5 | 2 | 0 | 7 |
| Anterior transpetrosal approach | 8 | 3 | 0 | 11 |
| Combined transpetrosal approach | 6 | 2 | 0 | 8 |
| Posterior transpetrosal approach | 1 | 0 | 0 | 1 |
| Lateral suboccipital approach | 3 | 0 | 0 | 3 |
| Transcondylar fossa approach | 3 | 1 | 0 | 4 |
| Other approach | 7 | 3 | 2 | 12 |
| Endonasal endoscopic surgery | 6 | 3 | 3 | 12 |
| Combined approach (Craniotomy+ Endonasal endoscopic surgery) | 0 | 1 | 0 | 1 |
| # Removal rate | 81 | |||
| Gross total removal (Simpson grade I and II) | 21 | 5 | 1 | 27 |
| Subtotal removal (Simpson grade III) | 19 | 11 | 3 | 33 |
| Partial removal (Simpson grade IV) | 10 | 6 | 5 | 21 |
| Variable | First Reope | Second Reope | Third Reope | Total |
|---|---|---|---|---|
| Number of operations | 53 | 23 | 9 | 85 |
| Mean length of hospital stay (days) | 22.1 | 19.6 | 45.9 | |
| Number of patients with complications (Total number of complications) | 20 (35) | 8 (9) | 4 (4) | 32 (48) |
| Complications | 35 | 9 | 4 | 48 |
| New cranial nerve deficits | 15 | 2 | 0 | 17 |
| CN II | 3 | 0 | 0 | 3 |
| CN III | 1 | 0 | 0 | 1 |
| CN IV | 2 | 0 | 0 | 2 |
| CN V | 1 | 0 | 0 | 1 |
| CN VI | 3 | 0 | 0 | 3 |
| CN VII | 5 | 2 | 0 | 7 |
| Other neurological deficits | 4 | 2 | 0 | 6 |
| Diabetes insipidus | 2 | 2 | 0 | 4 |
| Hemiparesis | 1 | 0 | 0 | 1 |
| Dysphagia | 1 | 0 | 0 | 1 |
| Postoperative hematoma | 1 | 1 | 0 | 2 |
| Cerebral infarction | 1 | 0 | 0 | 1 |
| Cerebral contusion | 0 | 1 | 0 | 1 |
| Cerebral edema | 1 | 2 | 0 | 3 |
| Vascular injuries | 0 | 0 | 1 | 1 |
| CSF leakage | 2 | 0 | 0 | 2 |
| Hydrocephalus | 1 | 0 | 1 | 2 |
| Infection | 8 | 0 | 1 | 9 |
| Meningitis | 4 | 0 | 0 | 4 |
| Urinary tract infection | 1 | 0 | 1 | 2 |
| Other infection | 3 | 0 | 0 | 3 |
| Other complications | 2 | 1 | 1 | 4 |
| Variable | First Reope | Second Reope | Third Reope | Total | |
|---|---|---|---|---|---|
| Number of operations | 53 | 23 | 9 | 85 | |
| Tumor histology | # Removal rate | ||||
| WHO grade I | GTR | 15 | 2 | 0 | 17 |
| STR | 16 | 7 | 0 | 23 | |
| PR | 10 | 4 | 4 | 18 | |
| WHO grade II | GTR | 6 | 3 | 1 | 10 |
| STR | 3 | 4 | 3 | 10 | |
| PR | 0 | 1 | 1 | 2 | |
| WHO grade III | PR | 0 | 1 | 0 | 1 |
| Adjuvant radiotherapy | 9 | 6 | 2 | 17 | |
| SRS/SRT | 8 | 3 | 2 | 13 | |
| IMRT/3D CRT | 1 | 3 | 0 | 4 | |
| WHO grade I | STR | 4 | 2 | 0 | 6 |
| PR | 2 | 0 | 1 | 3 | |
| WHO grade II | STR | 3 | 3 | 1 | 7 |
| PR | 0 | 1 | 0 | 1 | |
| Variables | Univariate Analysis | Multivariate Analysis | ||||
|---|---|---|---|---|---|---|
| HR | (95% CI) | p Value | HR | (95% CI) | p Value | |
| Age | 1.004 | (0.976–1.033) | 0.785 | |||
| Sex (Female) | 1.486 | (0.511–4.322) | 0.468 | |||
| Neurological progression (Present) | 1.672 | (0.750–3.731) | 0.209 | |||
| Time since prior surgery (≥10 years) | 0.562 | (0.193–1.636) | 0.291 | |||
| Tumor size (≥60 mm) | 1.896 | (0.756–4.759) | 0.173 | 2.203 | (0.862–5.630) | 0.099 |
| Lesion (Multiple) | 2.810 | (1.104–7.156) | 0.030 | 2.774 | (1.049–7.336) | 0.040 |
| WHO grade (II or III) | 6.686 | (2.685–16.647) | <0.001 | 7.031 | (2.739–18.050) | <0.0001 |
| Removal rate (PR) | 0.984 | (0.396–2.443) | 0.972 | |||
© 2019 by the authors. Licensee MDPI, Basel, Switzerland. This article is an open access article distributed under the terms and conditions of the Creative Commons Attribution (CC BY) license (http://creativecommons.org/licenses/by/4.0/).
Share and Cite
Kuranari, Y.; Tamura, R.; Tsuda, N.; Kosugi, K.; Morimoto, Y.; Yoshida, K.; Toda, M. Long-Term Clinical Outcome of First Recurrence Skull Base Meningiomas. J. Clin. Med. 2020, 9, 106. https://doi.org/10.3390/jcm9010106
Kuranari Y, Tamura R, Tsuda N, Kosugi K, Morimoto Y, Yoshida K, Toda M. Long-Term Clinical Outcome of First Recurrence Skull Base Meningiomas. Journal of Clinical Medicine. 2020; 9(1):106. https://doi.org/10.3390/jcm9010106
Chicago/Turabian StyleKuranari, Yuki, Ryota Tamura, Noboru Tsuda, Kenzo Kosugi, Yukina Morimoto, Kazunari Yoshida, and Masahiro Toda. 2020. "Long-Term Clinical Outcome of First Recurrence Skull Base Meningiomas" Journal of Clinical Medicine 9, no. 1: 106. https://doi.org/10.3390/jcm9010106
APA StyleKuranari, Y., Tamura, R., Tsuda, N., Kosugi, K., Morimoto, Y., Yoshida, K., & Toda, M. (2020). Long-Term Clinical Outcome of First Recurrence Skull Base Meningiomas. Journal of Clinical Medicine, 9(1), 106. https://doi.org/10.3390/jcm9010106

