Safety, Feasibility, and User Experience of Automated Insulin Delivery Systems During Hajj (Muslim Pilgrimage)
Abstract
1. Background
2. Research Design and Methods
2.1. Participants
2.2. Outcomes and Covariates
- (1)
- Pre-Hajj week: 26 May–2 June 2025;
- (2)
- During Hajj week: 3–10 June 2025;
- (3)
- Post-Hajj week: 11–18 June 2025.
- (1)
- Pre-Hajj week: 4–11 June 2024;
- (2)
- During Hajj week: 12–19 June 2024;
- (3)
- Post-Hajj week: 20–27 June 2024.
- -
- Time below range (TBR): both Level 1 (TBR < 70 mg/dL; <3.9 mmol/L) and Level 2 (<54 mg/dL; <3 mmol/L);
- -
- Time above range (TAR): both Level 1 (TAR > 180; >10 mmol/L) and Level 2 (>250; >13.9 mmol/L);
- -
- Glycemia Risk Index (GRI);
- -
- Coefficient of variation (CV);
- -
- Insulin total daily dose (TDD) and the relative percentages of basal and bolus insulin within TDD.
2.3. Qualitative Evaluation
2.4. Statistical Analysis
3. Results
3.1. Participant Characteristics
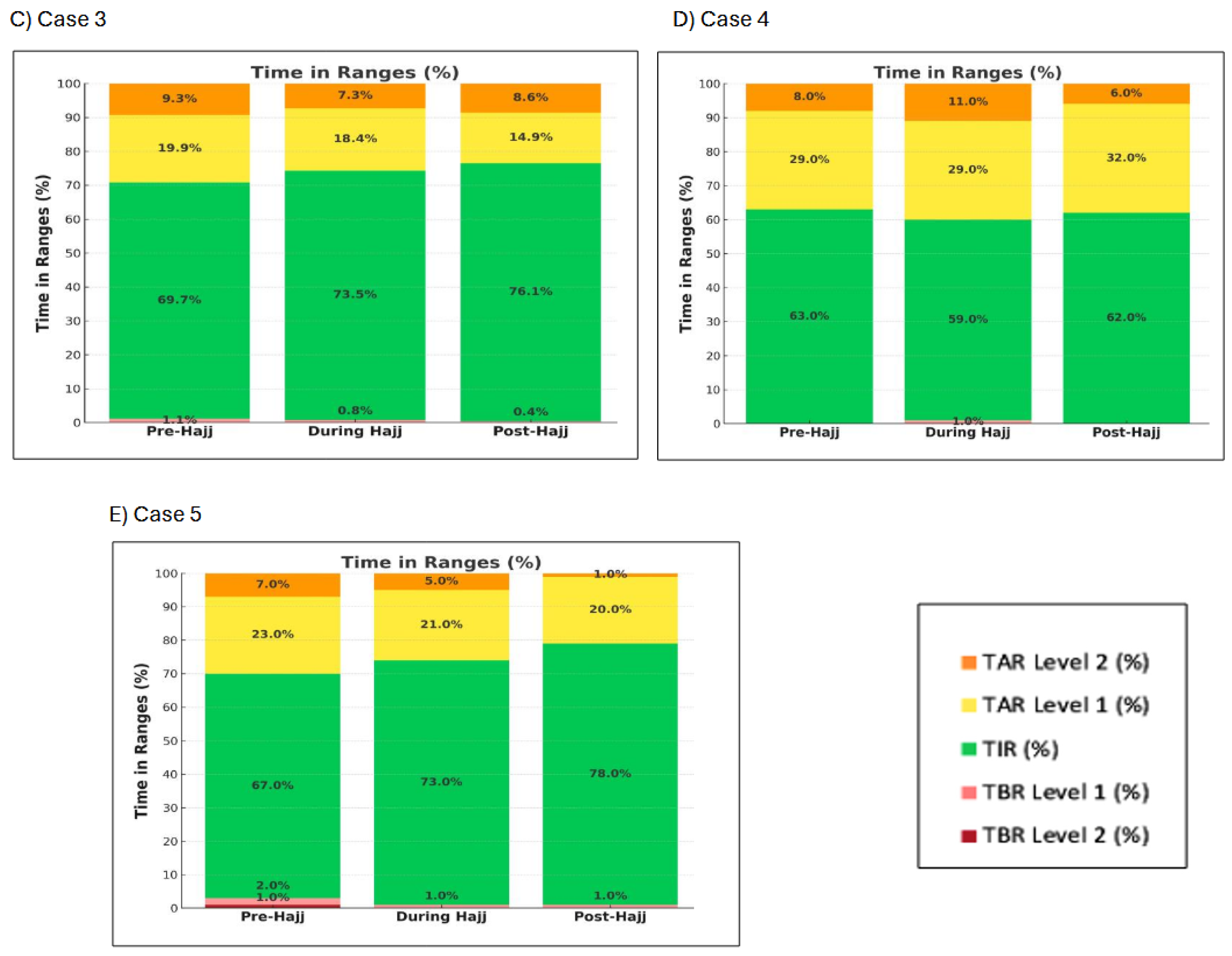
3.2. Changes in Glycemic Control and Insulin Doses from Pre- to During Hajj
3.3. Changes in Glycemic Control and Insulin Doses from Pre-Hajj to Post-Hajj
3.4. Participant Experiences and Feedback About T1D and Hajj
4. Discussion
5. Conclusions
Funding
Institutional Review Board Statement
Informed Consent Statement
Data Availability Statement
Acknowledgments
Conflicts of Interest
References
- International Diabetes Federation. IDF Diabetes Atlas, 11th ed.; International Diabetes Federation: Brussels, Belgium, 2025. [Google Scholar]
- General Authority for Statistics, Kingdom of Saudi Arabia. Hajj Statistics 2025. Published 2025. Available online: https://www.stats.gov.sa/en/w/news/49 (accessed on 11 October 2025).
- Alsafadi, H.; Goodwin, W.; Syed, A. Diabetes care during Hajj. Clin. Med. 2011, 11, 218–221. [Google Scholar] [CrossRef] [PubMed]
- Clingingsmith, D.; Khwaja, A.I.; Kremer, M. Estimating the impact of the Hajj: Religion and tolerance in Islam’s global gathering. Q. J. Econ. 2009, 124, 1133–1170. [Google Scholar] [CrossRef]
- Khogeer, Z.; Alnifaee, R.; Alyamani, S.; Alharbi, K.; Hanbzaza, S.; Mashhor, A.; Alfelali, M.; Barasheed, O. Acute complications of diabetes among pilgrims during Hajj 2017: A brief report. Diabetes Ther. 2020, 11, 747–751. [Google Scholar] [CrossRef] [PubMed]
- Shaikh, S.; Ashraf, H.; Shaikh, K.; Iraqi, H.; Mbaye, M.N.; Kake, A.; Mohamed, G.A.; Selim, S.; Naseri, M.W.; Syed, I.; et al. Diabetes care during Hajj. Diabetes Ther. 2020, 11, 2829–2844. [Google Scholar] [CrossRef] [PubMed]
- Mo, C.; Huang, X.; Lu, X.; Zhou, Y.; Su, Y.; Zhang, H. Knowledge, Attitude, and Practice of Insulin Pump Among Non-Endocrinology Nurses in South China. Diabetes Metab. Syndr. Obes. 2023, 16, 3417–3423. [Google Scholar] [CrossRef] [PubMed]
- Edelman, S.; Cheatham, W.W.; Norton, A.; Close, K.L. Patient perspectives on the benefits and challenges of diabetes and digital technology. Clin. Diabetes 2024, 42, 243–256. [Google Scholar] [CrossRef] [PubMed]
- Zaharieva, D.P.; Messer, L.H.; Paldus, B.; O’Neal, D.N.; Maahs, D.M.; Riddell, M.C. Glucose Control During Physical Activity and Exercise Using Closed Loop Technology in Adults and Adolescents with Type 1 Diabetes. Can. J. Diabetes 2020, 44, 740–749, Erratum in Can. J. Diabetes 2021, 45, 96. https://doi.org/10.1016/j.jcjd.2020.12.003. [Google Scholar] [CrossRef] [PubMed]
- Jayawardene, D.C.; McAuley, S.A.; Horsburgh, J.C.; Gerche, A.; Jenkins, A.J.; Ward, G.M.; MacIsaac, R.J.; Roberts, T.J.; Grosman, B.; Kurtz, N.; et al. Closed-Loop Insulin Delivery for Adults with Type 1 Diabetes Undertaking High-Intensity Interval Exercise Versus Moderate-Intensity Exercise: A Randomized, Crossover Study. Diabetes Technol. Ther. 2017, 19, 340–348. [Google Scholar] [CrossRef] [PubMed]
- Gregory, G.A.; Robinson, T.I.G.; Linklater, S.E.; Wang, F.; Colagiuri, S.; de Beaufort, C.; Donaghue, K.C.; Harding, J.L.; Wander, P.L.; Zhang, X.; et al. Global incidence, prevalence, and mortality of type 1 diabetes in 2021 with projection to 2040: A modelling study. Lancet Diabetes Endocrinol. 2022, 10, 741–760. [Google Scholar] [CrossRef] [PubMed]





| All (n = 6) | Case 1 | Case 2 | Case 3 | Case 4 | Case 5 | Case 6 | |
|---|---|---|---|---|---|---|---|
| Age, mean ± SD, years | 33 ± 3.7 | 33 | 26 | 34 | 36 | 32 | 36 |
| Gender, n (%) | 5 Female (83%), 1 Male (17%) | F | M | F | F | F | F |
| Diabetes Duration, mean ± SD, years | 18 ± 8.2 | 4 | 15 | 23 | 23 | 14 | 26 |
| Pump type, n (%) | 2 Medtrum, 1 OmniPod 5, 2 MiniMed 780G, 1 Loop (Omnipod + Dexcom G6) | Medtrum | OmniPod 5 | Medtrum | 780G | 780G | Open-Source AID |
| Previous Hajj experience | All first-time pilgrims | First time | First time | First time | First time | First time | First time |
| Self-reported glucose control during Hajj | Excellent (3), Very good (2), Not available (1) | Very good | Excellent | Excellent | Excellent | NA | Very good |
| Available pump/CGM data? | - | Yes | Yes | Yes | Yes | Yes | NA |
| Pre-Hajj | During Hajj | Post-Hajj | |
|---|---|---|---|
| Glucose CV, mean, % | 35.6 | 32.66 | 33.1 |
| GRI, mean | 50.3 | 51.0 | 39.3 * |
| Insulin: Total daily dose (TDD), mean, units | 47.57 | 44.93 | 42.74 |
| Insulin: Basal (%) | 48.52 | 49.08 | 49.42 |
| Insulin: Bolus (%) | 51.48 | 50.92 | 50.58 |
| Severe hypoglycemia, n (%) | 0 (0) | 0 (0) | 0 (0) |
| Diabetic ketoacidosis (DKA), n (%) | 0 (0) | 0 (0) | 0 (0) |
| ER visit due to diabetes, n (%) | 0 (0) | 0 (0) | 0 (0) |
| Hospitalization due to diabetes, n (%) | 0 (0) | 0 (0) | 0 (0) |
| Theme | Summary of Responses | Example Participant Quotes (Translated from Arabic) |
|---|---|---|
| Glucose Levels | Most participants reported stable glucose control throughout Hajj. Three participants described their control as excellent, and two as very good. No major complications occurred. One participant reported symptomatic hypoglycemia that required her to drink juice. | “My sugar remained stable throughout the pilgrimage.” “The pump made it easy to manage my glucose despite the long walking.” |
| Pump Use and Adjustments | Two participants adjusted their pump settings prior to Hajj. The rest did not need changes. All reported that using the pump during Hajj was easy. | “I didn’t need to change my settings.” “The use of pump during Hajj was very convenient with not challenges”. |
| Perceived Benefits | All participants emphasized peace of mind, flexibility, and confidence in performing rituals. They valued continuous insulin delivery and reduced fear of hypoglycemia. | “I felt safe and comfortable using the pump.” “It gave me peace of mind and helped me perform rituals confidently.” “It gave me peace of mind during the prolonged walking. I did not need to worry much about my sugar”. “I was worried about low sugar with walking but that did not happen”. |
| Challenges | Main difficulties included the heat, insulin storage, prolonged walking, and irregular meals. One participant experienced mild hypoglycemia, which was easily managed. | “It was hard to keep insulin cool in the heat. There were no enough coolers”. “The long walks are challenging”. “Irregular meals made glucose control harder.” “It was challenging to avoid low sugar. I had to carry snacks with me all the time”. “I had to eat frequent snacks throughout the day as opposed to fixed meals. I could not figure the proper doses for those snacks.” |
| Support and Preparation | All participants carried backup insulin and supplies. Preparation was key to success. | “The group I was with provided excellent medical support.” “I had all my supplies ready before travel.” |
| Current gaps and recommendations | Participants identified major gaps in awareness about insulin pumps and CGMs among the medical teams in Hajj. | “When I arrived to Arafat, my pump site failed, and I had no spare supplies. The GP physician said I didn’t need basal insulin since the CGM and pump were working”. “We need HCPs specialized in diabetes to be available and accessible during Hajj. It would be great to provide pilgrims with diabetes with digital wrist bands that contain the person’s medical history and is connected to the emergency medical teams in case of emergencies”. “Educate Hajj staff and teams about insulin pumps and CGMs.” |
| All participants recommended that people with type 1 diabetes use an insulin pump during Hajj and beyond | ||
| One participant emphasized the importance of planning ahead and changing the insulin reservoir early, before insulin runs out. |
| Recommendations | |
|---|---|
| Pre-Hajj Preparation | AID users should undergo a comprehensive pre-Hajj evaluation by a specialized healthcare team 2–4 weeks before travel to Hajj. Review the pump/CGM report and optimize the AID settings. Create a backup plan for device failure (i.e., doses of multiple daily injection). Prepare extra supplies (insulin, pump infusion sets, reservoirs/cartridges/pods, CGM sensors, batteries, glucagon emergency kit, and blood glucose and ketone meters). Distribute supplies across multiple bags to reduce risk of loss or damage. Carry the insulin in a portable cooler at all times. Carry a medical report. |
| During Hajj | Activate the exercise/temporary target mode during prolonged walking or heat exposure. Monitor glucose levels frequently and act promptly. Keep fast-acting carbohydrates readily available to treat hypoglycemia. Avoid exposing insulin or device to direct sunlight or heat. Carry at least one full set of infusion sets and sensor supplies at all times. Monitor ketone levels whenever DKA is suspected or when glucose levels remain elevated despite corrective insulin doses. |
| Post-Hajj Follow-Up | Conduct post-Hajj reviews to assess glycemic outcomes and overall Hajj experience and adjust management plans. Use insights gained to refine future diabetes management strategies for Hajj. |
| Healthcare System Recommendations | Provide basic training for HCPs on insulin pumps and CGMs, including management of device failure. Establish specialized diabetes support units at Hajj healthcare facilities. Implement digital wristbands or medical ID systems linking pilgrims with diabetes to emergency services. |
Disclaimer/Publisher’s Note: The statements, opinions and data contained in all publications are solely those of the individual author(s) and contributor(s) and not of MDPI and/or the editor(s). MDPI and/or the editor(s) disclaim responsibility for any injury to people or property resulting from any ideas, methods, instructions or products referred to in the content. |
© 2026 by the author. Licensee MDPI, Basel, Switzerland. This article is an open access article distributed under the terms and conditions of the Creative Commons Attribution (CC BY) license.
Share and Cite
Al-Sofiani, M.E. Safety, Feasibility, and User Experience of Automated Insulin Delivery Systems During Hajj (Muslim Pilgrimage). J. Clin. Med. 2026, 15, 860. https://doi.org/10.3390/jcm15020860
Al-Sofiani ME. Safety, Feasibility, and User Experience of Automated Insulin Delivery Systems During Hajj (Muslim Pilgrimage). Journal of Clinical Medicine. 2026; 15(2):860. https://doi.org/10.3390/jcm15020860
Chicago/Turabian StyleAl-Sofiani, Mohammed E. 2026. "Safety, Feasibility, and User Experience of Automated Insulin Delivery Systems During Hajj (Muslim Pilgrimage)" Journal of Clinical Medicine 15, no. 2: 860. https://doi.org/10.3390/jcm15020860
APA StyleAl-Sofiani, M. E. (2026). Safety, Feasibility, and User Experience of Automated Insulin Delivery Systems During Hajj (Muslim Pilgrimage). Journal of Clinical Medicine, 15(2), 860. https://doi.org/10.3390/jcm15020860

