Macrotrabecular-Massive Subtype Is Associated with a High Risk of the Recurrence of Hepatocellular Carcinoma
Abstract
1. Background
2. Methods
2.1. Study Population
2.2. Baseline Characteristics of Patients Treated by Surgical Resection
2.3. Characteristics of Tumor and Stage Work Up
2.4. Pathologic Analysis by Pathologist
2.5. Definition of Early and Late Recurrence
2.6. Statistical Analysis
3. Results
3.1. Baseline Characteristics
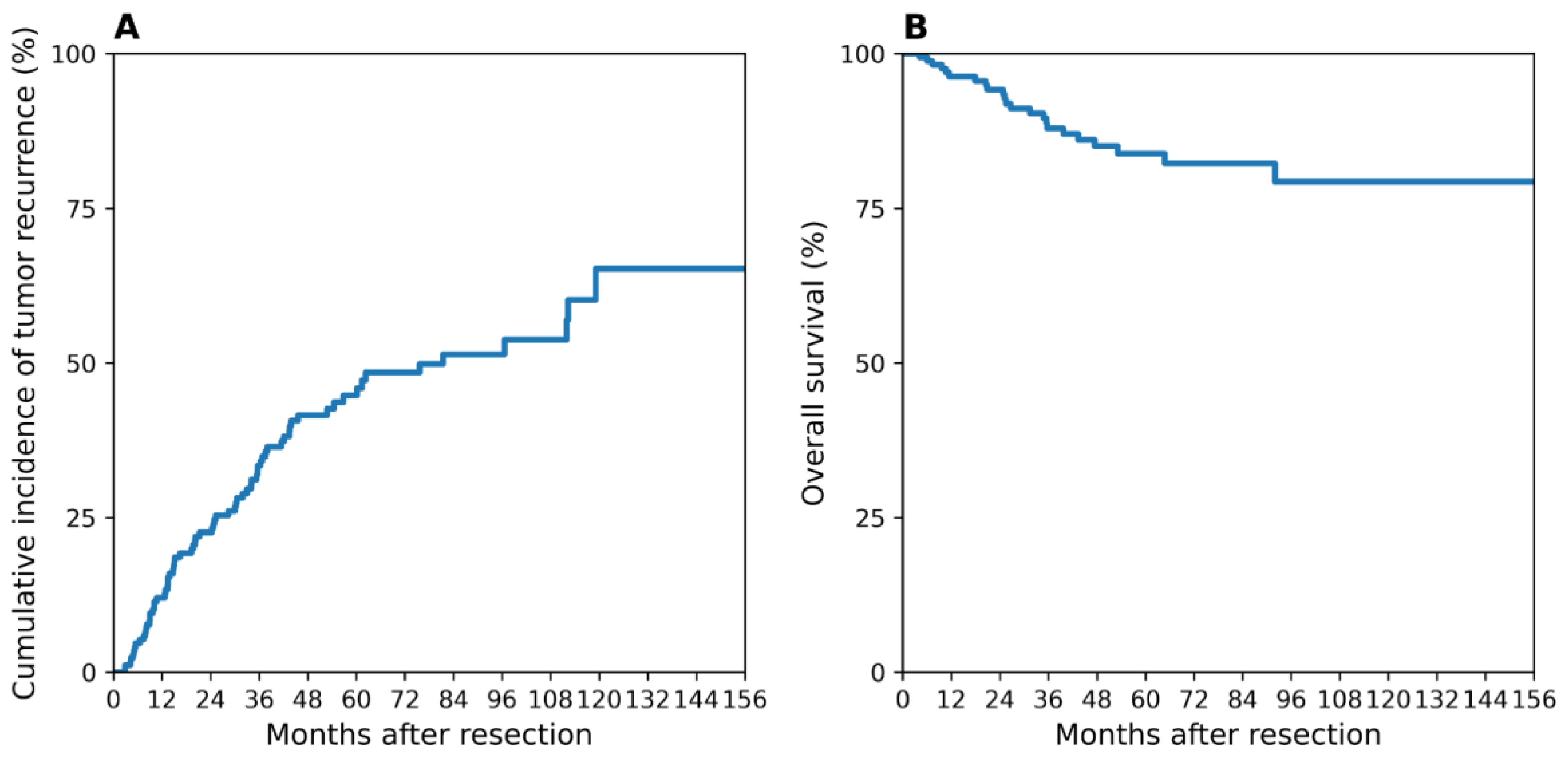
3.2. Recurrence and Survival
3.3. Early and Late Recurrence Patterns
4. Discussion
5. Conclusions
Supplementary Materials
Author Contributions
Funding
Institutional Review Board Statement
Informed Consent Statement
Data Availability Statement
Acknowledgments
Conflicts of Interest
Abbreviations
References
- Ferlay, J.; Soerjomataram, I.; Dikshit, R.; Eser, S.; Mathers, C.; Rebelo, M.; Parkin, D.M.; Forman, D.; Bray, F. Cancer incidence and mortality worldwide: Sources, methods and major patterns in GLOBOCAN 2012. Int. J. Cancer 2015, 136, E359–E386. [Google Scholar] [CrossRef]
- El-Serag, H.B. Hepatocellular carcinoma. N. Engl. J. Med. 2011, 365, 1118–1127. [Google Scholar] [CrossRef]
- Llovet, J.M.; Zucman-Rossi, J.; Pikarsky, E.; Sangro, B.; Schwartz, M.; Sherman, M.; Gores, G. Hepatocellular carcinoma. Nat. Rev. Dis. Primers 2016, 2, 16018. [Google Scholar] [CrossRef] [PubMed]
- Boyault, S.; Rickman, D.S.; de Reyniès, A.; Balabaud, C.; Rebouissou, S.; Jeannot, E.; Hérault, A.; Saric, J.; Belghiti, J.; Franco, D.; et al. Transcriptome classification of HCC is related to gene alterations and to new therapeutic targets. Hepatology 2007, 45, 42–52. [Google Scholar] [CrossRef]
- Nault, J.C.; Calderaro, J.; Di Tommaso, L.; Balabaud, C.; Zafrani, E.S.; Bioulac-Sage, P.; Roncalli, M.; Zucman-Rossi, J. Telomerase reverse transcriptase promoter mutation is an early somatic genetic alteration in the transformation of premalignant nodules in hepatocellular carcinoma on cirrhosis. Hepatology 2014, 60, 1983–1992. [Google Scholar] [CrossRef] [PubMed]
- Nault, J.C.; Mallet, M.; Pilati, C.; Calderaro, J.; Bioulac-Sage, P.; Laurent, C.; Laurent, A.; Cherqui, D.; Balabaud, C.; Zucman-Rossi, J. High frequency of telomerase reverse-transcriptase promoter somatic mutations in hepatocellular carcinoma and preneoplastic lesions. Nat. Commun. 2013, 4, 2218. [Google Scholar] [CrossRef] [PubMed]
- Zucman-Rossi, J.; Villanueva, A.; Nault, J.C.; Llovet, J.M. Genetic Landscape and Biomarkers of Hepatocellular Carcinoma. Gastroenterology 2015, 149, 1226–1239.e1224. [Google Scholar] [CrossRef]
- Totoki, Y.; Tatsuno, K.; Covington, K.R.; Ueda, H.; Creighton, C.J.; Kato, M.; Tsuji, S.; Donehower, L.A.; Slagle, B.L.; Nakamura, H.; et al. Trans-ancestry mutational landscape of hepatocellular carcinoma genomes. Nat. Genet. 2014, 46, 1267–1273. [Google Scholar] [CrossRef]
- Hoshida, Y.; Nijman, S.M.; Kobayashi, M.; Chan, J.A.; Brunet, J.P.; Chiang, D.Y.; Villanueva, A.; Newell, P.; Ikeda, K.; Hashimoto, M.; et al. Integrative transcriptome analysis reveals common molecular subclasses of human hepatocellular carcinoma. Cancer Res. 2009, 69, 7385–7392. [Google Scholar] [CrossRef]
- Erofeeva, L.M.; Mnikhovich, M.V. Comparative Characterization of Lymphoid Infiltration in Different Molecular-Biological Subtypes of Invasive Breast Cancer. Bull. Exp. Biol. Med. 2021, 171, 62–67. [Google Scholar] [CrossRef]
- Ménard, S.; Tomasic, G.; Casalini, P.; Balsari, A.; Pilotti, S.; Cascinelli, N.; Salvadori, B.; Colnaghi, M.I.; Rilke, F. Lymphoid infiltration as a prognostic variable for early-onset breast carcinomas. Clin. Cancer Res. 1997, 3, 817–819. [Google Scholar]
- Schumacher, T.N.; Thommen, D.S. Tertiary lymphoid structures in cancer. Science 2022, 375, eabf9419. [Google Scholar] [CrossRef] [PubMed]
- Sautès-Fridman, C.; Petitprez, F.; Calderaro, J.; Fridman, W.H. Tertiary lymphoid structures in the era of cancer immunotherapy. Nat. Rev. Cancer 2019, 19, 307–325. [Google Scholar] [CrossRef] [PubMed]
- Paijens, S.T.; Vledder, A.; de Bruyn, M.; Nijman, H.W. Tumor-infiltrating lymphocytes in the immunotherapy era. Cell. Mol. Immunol. 2021, 18, 842–859. [Google Scholar] [CrossRef]
- Rhee, H.; Cho, E.S.; Nahm, J.H.; Jang, M.; Chung, Y.E.; Baek, S.E.; Lee, S.; Kim, M.J.; Park, M.S.; Han, D.H.; et al. Gadoxetic acid-enhanced MRI of macrotrabecular-massive hepatocellular carcinoma and its prognostic implications. J. Hepatol. 2021, 74, 109–121. [Google Scholar] [CrossRef] [PubMed]
- Meylan, M.; Petitprez, F.; Becht, E.; Bougoüin, A.; Pupier, G.; Calvez, A.; Giglioli, I.; Verkarre, V.; Lacroix, G.; Verneau, J.; et al. Tertiary lymphoid structures generate and propagate anti-tumor antibody-producing plasma cells in renal cell cancer. Immunity 2022, 55, 527–541.e525. [Google Scholar] [CrossRef]
- Ziol, M.; Poté, N.; Amaddeo, G.; Laurent, A.; Nault, J.C.; Oberti, F.; Costentin, C.; Michalak, S.; Bouattour, M.; Francoz, C.; et al. Macrotrabecular-massive hepatocellular carcinoma: A distinctive histological subtype with clinical relevance. Hepatology 2018, 68, 103–112. [Google Scholar] [CrossRef]
- Peng, Z.; Jiang, M.; Cai, H.; Chan, T.; Dong, Z.; Luo, Y.; Li, Z.P.; Feng, S.T. Gd-EOB-DTPA-enhanced magnetic resonance imaging combined with T1 mapping predicts the degree of differentiation in hepatocellular carcinoma. BMC Cancer 2016, 16, 625. [Google Scholar] [CrossRef]
- Zhou, L.; Rui, J.A.; Zhou, W.X.; Wang, S.B.; Chen, S.G.; Qu, Q. Edmondson-Steiner grade: A crucial predictor of recurrence and survival in hepatocellular carcinoma without microvascular invasio. Pathol. Res. Pract. 2017, 213, 824–830. [Google Scholar] [CrossRef]
- Wu, J.; Liu, S.; Zhang, Y.; Ding, W.; Zhao, Q.; Wang, Y.; Xiao, F.; Yu, X.; Xie, X.; Liu, S.; et al. Prediction of Macrotrabecular-Massive Hepatocellular Carcinoma and Associated Prognosis Using Contrast-enhanced US and Clinical Features. Radiol. Imaging Cancer 2025, 7, e240419. [Google Scholar] [CrossRef]
- Calderaro, J.; Couchy, G.; Imbeaud, S.; Amaddeo, G.; Letouzé, E.; Blanc, J.F.; Laurent, C.; Hajji, Y.; Azoulay, D.; Bioulac-Sage, P.; et al. Histological subtypes of hepatocellular carcinoma are related to gene mutations and molecular tumour classification. J. Hepatol. 2017, 67, 727–738. [Google Scholar] [CrossRef]
- Calderaro, J.; Ziol, M.; Paradis, V.; Zucman-Rossi, J. Molecular and histological correlations in liver cancer. J. Hepatol. 2019, 71, 616–630. [Google Scholar] [CrossRef]
- Kurebayashi, Y.; Ojima, H.; Tsujikawa, H.; Kubota, N.; Maehara, J.; Abe, Y.; Kitago, M.; Shinoda, M.; Kitagawa, Y.; Sakamoto, M. Landscape of immune microenvironment in hepatocellular carcinoma and its additional impact on histological and molecular classification. Hepatology 2018, 68, 1025–1041. [Google Scholar] [CrossRef]
- Finn, R.S.; Qin, S.; Ikeda, M.; Galle, P.R.; Ducreux, M.; Kim, T.Y.; Kudo, M.; Breder, V.; Merle, P.; Kaseb, A.O.; et al. Atezolizumab plus Bevacizumab in Unresectable Hepatocellular Carcinoma. N. Engl. J. Med. 2020, 382, 1894–1905. [Google Scholar] [CrossRef]
- Rui, R.; Zhou, L.; He, S. Cancer immunotherapies: Advances and bottlenecks. Front. Immunol. 2023, 14, 1212476. [Google Scholar] [CrossRef]
- Garnelo, M.; Tan, A.; Her, Z.; Yeong, J.; Lim, C.J.; Chen, J.; Lim, K.H.; Weber, A.; Chow, P.; Chung, A.; et al. Interaction between tumour-infiltrating B cells and T cells controls the progression of hepatocellular carcinoma. Gut 2017, 66, 342–351. [Google Scholar] [CrossRef]
- Gabrielson, A.; Wu, Y.; Wang, H.; Jiang, J.; Kallakury, B.; Gatalica, Z.; Reddy, S.; Kleiner, D.; Fishbein, T.; Johnson, L.; et al. Intratumoral CD3 and CD8 T-cell Densities Associated with Relapse-Free Survival in HCC. Cancer Immunol. Res. 2016, 4, 419–430. [Google Scholar] [CrossRef] [PubMed]
- Sia, D.; Jiao, Y.; Martinez-Quetglas, I.; Kuchuk, O.; Villacorta-Martin, C.; Castro de Moura, M.; Putra, J.; Camprecios, G.; Bassaganyas, L.; Akers, N.; et al. Identification of an Immune-specific Class of Hepatocellular Carcinoma, Based on Molecular Features. Gastroenterology 2017, 153, 812–826. [Google Scholar] [CrossRef] [PubMed]
- Kim, H.; Choi, G.H.; Na, D.C.; Ahn, E.Y.; Kim, G.I.; Lee, J.E.; Cho, J.Y.; Yoo, J.E.; Choi, J.S.; Park, Y.N. Human hepatocellular carcinomas with “Stemness”-related marker expression: Keratin 19 expression and a poor prognosis. Hepatology 2011, 54, 1707–1717. [Google Scholar] [CrossRef] [PubMed]
- Korean Liver Cancer Association (KLCA); National Cancer Center (NCC) Korea. 2022 KLCA-NCC Korea practice guidelines for the management of hepatocellular carcinoma. Clin. Mol. Hepatol. 2022, 28, 583–705. [Google Scholar] [CrossRef]
- Yau, T.; Hsu, C.; Kim, T.Y.; Choo, S.P.; Kang, Y.K.; Hou, M.M.; Numata, K.; Yeo, W.; Chopra, A.; Ikeda, M.; et al. Nivolumab in advanced hepatocellular carcinoma: Sorafenib-experienced Asian cohort analysis. J. Hepatol. 2019, 71, 543–552. [Google Scholar] [CrossRef] [PubMed]
- Rimassa, L.; Assenat, E.; Peck-Radosavljevic, M.; Pracht, M.; Zagonel, V.; Mathurin, P.; Rota Caremoli, E.; Porta, C.; Daniele, B.; Bolondi, L.; et al. Tivantinib for second-line treatment of MET-high, advanced hepatocellular carcinoma (METIV-HCC): A final analysis of a phase 3, randomised, placebo-controlled study. Lancet Oncol. 2018, 19, 682–693. [Google Scholar] [CrossRef] [PubMed]
- Forner, A.; Reig, M.; Bruix, J. Hepatocellular carcinoma. Lancet 2018, 391, 1301–1314. [Google Scholar] [CrossRef] [PubMed]




| Variables | Recurrence N = 74 | No-Recurrence N = 97 | p-Value |
|---|---|---|---|
| Age, years | 65.1 ± 8.6 | 61.6 ± 10.8 | 0.021 |
| Male (%) | 58 (78.4) | 78 (80.4) | 0.744 |
| BMI, kg/m2 | 24.1 ± 3.0 | 24.3 ± 3.1 | 0.868 |
| Etiology | 0.691 | ||
| HBV (%) | 55 (74.3) | 79 (81.4) | |
| HCV (%) | 3 (4.1) | 3 (3.1) | |
| Alcohol (%) | 1 (1.4) | 0 (0) | |
| NASH (%) | 8 (10.8) | 8 (8.2) | |
| Unknown (%) | 7 (9.5) | 7 (7.2) | |
| Diabetes (%) | 14 (18.9) | 23 (23.7) | 0.451 |
| Hypertension (%) | 25 (33.8) | 31 (32.0) | 0.801 |
| Liver cirrhosis (%) | 35 (47.3) | 49 (50.5) | 0.677 |
| AFP | 2308 ± 1153 | 1727 ± 817 | 0.672 |
| PIVKA-II | 2233 ± 919 | 4681 ± 3194 | 0.536 |
| Child–Pugh class | 0.634 | ||
| A (%) | 73 (98.6) | 94 (96.9) | |
| B (%) | 1 (1.4) | 3 (3.1) | |
| C (%) | 0 (0) | 0 (0) | |
| Maximal tumor size, cm | 4.3 ± 3.2 | 3.4 ± 2.5 | 0.032 |
| Tumor number | 1.5 ± 1.6 | 1.4 ± 2.4 | 0.877 |
| Resection margin positive (%) | 2 (2.7) | 3 (3.1) | 1.000 |
| Microvascular invasion (%) | 29 (39.2) | 34 (35.1) | 0.578 |
| Portal vein invasion (%) | 8 (10.8) | 8 (8.2) | 0.604 |
| Bile duct invasion (%) | 2 (2.7) | 3 (3.1) | |
| BCLC stage | 0.230 | ||
| Stage 0 (%) | 14 (18.9) | 28 (28.9) | |
| Stage A (%) | 49 (66.2) | 60 (61.9) | |
| Stage B (%) | 11 (14.9) | 9 (9.3) | |
| Stage C (%) | 0 (0) | 0 (0) | |
| Stage D (%) | 0 (0) | 0 (0) | |
| AJCC 8th stage | 0.244 | ||
| Stage IA (%) | 13 (17.6) | 29 (29.9) | |
| Stage IB (%) | 28 (37.8) | 38 (39.2) | |
| Stage II (%) | 21 (28.4) | 21 (21.6) | |
| Stage IIIA (%) | 2 (2.7) | 0 (0) | |
| Stage IIIB (%) | 9 (12.2) | 8 (8.2) | |
| Stage IVA (%) | 1 (1.4) | 1 (1.0) | |
| Stage IVB (%) | 0 (0) | 0 (0) | |
| Lymphoid cell infiltration positive (%) | 59 (79.7) | 85 (87.6) | 0.160 |
| Tertiary lymphoid structure positive (%) | 2 (2.7) | 7 (7.2) | 0.302 |
| Tumor infiltrating lymphocyte positive (%) | 46 (62.2) | 67 (69.1) | 0.344 |
| Macrotrabecular-massive subtype (%) | 35 (47.3) | 21 (21.6) | <0.001 |
| Edmonson grade | 0.698 | ||
| 0 (%) | 0 (0) | 1 (1.0) | |
| 1 (%) | 0 (0) | 1 (1.0) | |
| 2 (%) | 19 (25.7) | 24 (24.7) | |
| 3 (%) | 45 (60.8) | 61 (62.9) | |
| 4 (%) | 9 (12.2) | 10 (10.3) | |
| 5 (%) | 1 (1.4) | 0 (0) | |
| Follow-up duration, years | 4.2 ± 2.9 | 4.5 ± 3.2 | 0.527 |
| Variables | Univariate Analysis | Multivariate Analysis | ||
|---|---|---|---|---|
| HR (95% CI) | p-Value | HR (95% CI) | p-Value | |
| Age, years | 1.036 (1.004–1.070) | 0.028 | 1.016 (0.992–1.041) | 0.195 |
| Liver cirrhosis | 1.137 (0.621–2.084) | 0.677 | 1.237 (0.748–2.046) | 0.407 |
| Maximal tumor size, cm | 1.132 (1.011–1.267) | 0.032 | 1.080 (0.996–1.175) | 0.062 |
| Resection margin positive | 1.149 (0.187–7.058) | 0.881 | ||
| Microvascular invasion | 1.194 (0.639–2.233) | 0.579 | 1.290 (0.768–2.167) | 0.337 |
| Portal vein invasion | 1.348 (0.481–3.779) | 0.570 | ||
| Lymphoid cell infiltration positive | 0.555 (0.242–1.272) | 0.164 | ||
| Tertiary lymphoid structure positive | 0.357 (0.072–1.771) | 0.208 | ||
| Tumor infiltrating lymphocyte positive | 0.736 (0.389–1.391) | 0.345 | ||
| Macrotrabecular-massive subtype | 3.248 (1.671–6.313) | 0.001 | 1.881 (1.143–3.095) | 0.013 |
| Variable | Early (<24 m) | Late (≥24 m) | p-Value |
|---|---|---|---|
| age, years | 63.5 ± 9.1 | 66.4 ± 8.0 | 0.157 |
| AFP, ng/mL | 2300.6 ± 9647.7 | 2316.0 ± 9779.6 | 0.995 |
| PIVKA-II, mAU/mL | 4478.4 ± 9865.0 | 278.0 ± 452.0 | 0.036 |
| MTM+ | 22/35 (62.9%) | 13/39 (33.3%) | 0.021 |
| MTM− | 13/35 (37.1%) | 26/39 (66.7%) | 0.021 |
| MVI (+), % | 19/35 (54.3%) | 10/39 (25.6%) | 0.023 |
| Cirrhosis (+), % | 22/35 (62.9%) | 15/39 (38.5%) | 0.063 |
| Male, % | 26/35 (74.3%) | 32/39 (82.1%) | 0.598 |
| Variables | OR | 95% CI | p-Value |
|---|---|---|---|
| MTM (+) vs. MTM (−) | 3.47 | 0.88–13.59 | 0.075 |
| MVI (+ vs. −) | 2.71 | 0.72–10.24 | 0.141 |
| Cirrhosis (yes vs. no) | 2.23 | 0.66–7.53 | 0.198 |
| Age (per year) | 0.97 | 0.90–1.05 | 0.488 |
| log10 (AFP) | 0.71 | 0.36–1.39 | 0.316 |
| log10 (PIVKA-II) | 1.55 | 0.72–3.34 | 0.262 |
Disclaimer/Publisher’s Note: The statements, opinions and data contained in all publications are solely those of the individual author(s) and contributor(s) and not of MDPI and/or the editor(s). MDPI and/or the editor(s) disclaim responsibility for any injury to people or property resulting from any ideas, methods, instructions or products referred to in the content. |
© 2026 by the authors. Licensee MDPI, Basel, Switzerland. This article is an open access article distributed under the terms and conditions of the Creative Commons Attribution (CC BY) license.
Share and Cite
Yoo, S.H.; Nahm, J.H.; Chang, H.Y.; Lee, J.I.; Lim, J.H.; Lee, H.W. Macrotrabecular-Massive Subtype Is Associated with a High Risk of the Recurrence of Hepatocellular Carcinoma. J. Clin. Med. 2026, 15, 502. https://doi.org/10.3390/jcm15020502
Yoo SH, Nahm JH, Chang HY, Lee JI, Lim JH, Lee HW. Macrotrabecular-Massive Subtype Is Associated with a High Risk of the Recurrence of Hepatocellular Carcinoma. Journal of Clinical Medicine. 2026; 15(2):502. https://doi.org/10.3390/jcm15020502
Chicago/Turabian StyleYoo, Sung Hwan, Ji Hae Nahm, Hye Young Chang, Jung Il Lee, Jin Hong Lim, and Hyun Woong Lee. 2026. "Macrotrabecular-Massive Subtype Is Associated with a High Risk of the Recurrence of Hepatocellular Carcinoma" Journal of Clinical Medicine 15, no. 2: 502. https://doi.org/10.3390/jcm15020502
APA StyleYoo, S. H., Nahm, J. H., Chang, H. Y., Lee, J. I., Lim, J. H., & Lee, H. W. (2026). Macrotrabecular-Massive Subtype Is Associated with a High Risk of the Recurrence of Hepatocellular Carcinoma. Journal of Clinical Medicine, 15(2), 502. https://doi.org/10.3390/jcm15020502

