Serum Uric Acid Is Associated with Insulin Resistance in Non-Diabetic Subjects
Abstract
1. Introduction
2. Materials and Methods
2.1. Study Population
2.2. Statistical Methods
2.3. Ethics
2.4. Patient and Public Involvement
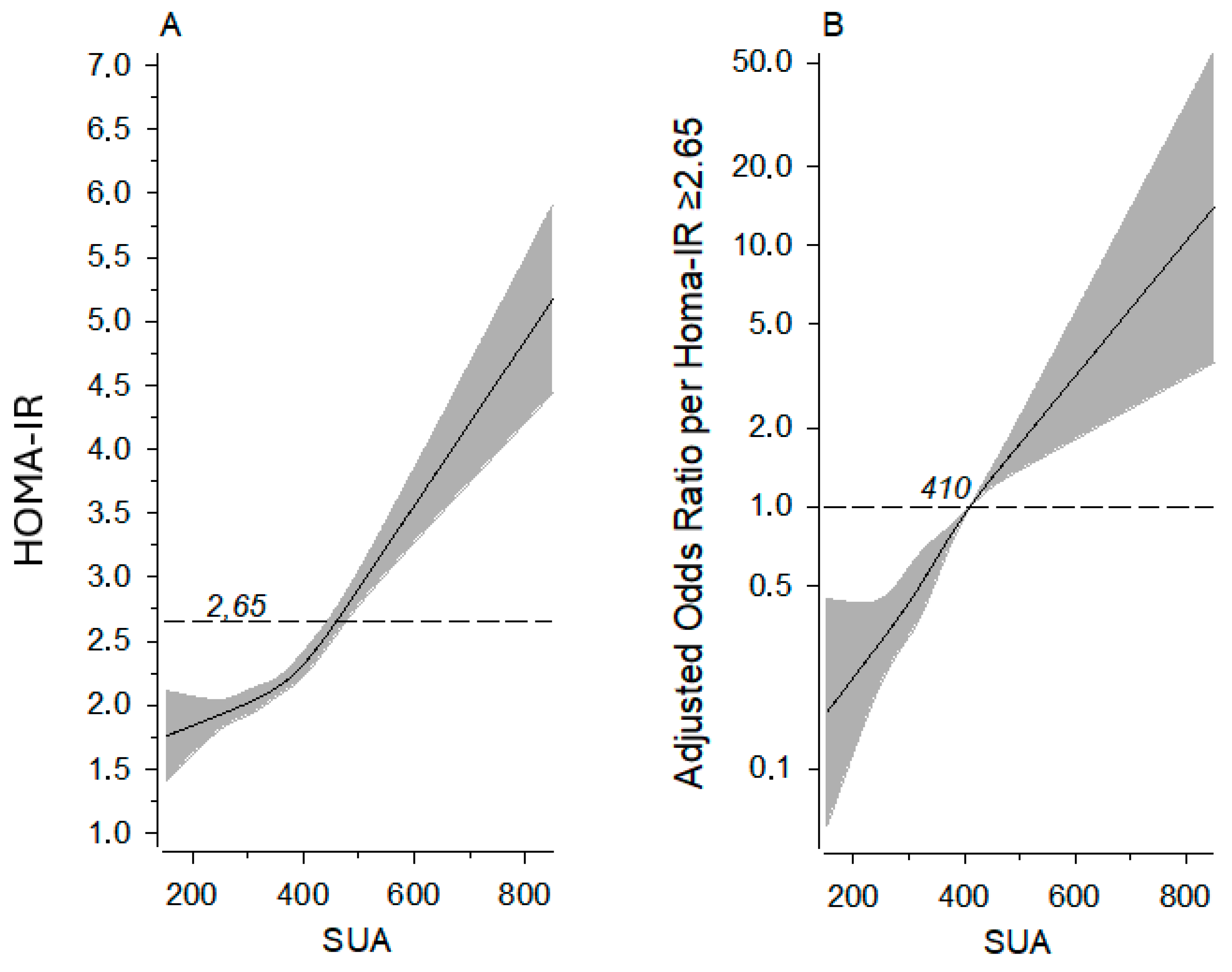
3. Results
4. Discussion
5. Conclusions
Supplementary Materials
Author Contributions
Funding
Institutional Review Board Statement
Informed Consent Statement
Data Availability Statement
Acknowledgments
Conflicts of Interest
References
- World Health Organization. Diabetes. Available online: https://www.who.int/news-room/fact-sheets/detail/diabetes (accessed on 15 February 2025).
- Majety, P.; Lozada Orquera, F.A.; Edem, D.; Hamdy, O. Pharmacological Approaches to the Prevention of Type 2 Diabetes Mellitus. Front. Endocrinol. 2023, 14, 1118848. [Google Scholar] [CrossRef]
- Uusitupa, M.; Khan, T.A.; Viguiliouk, E.; Kahleova, H.; Rivellese, A.A.; Hermansen, K.; Pfeiffer, A.; Thanopoulou, A.; Salas-Salvadó, J.; Schwab, U.; et al. Prevention of Type 2 Diabetes by Lifestyle Changes: A Systematic Review and Meta-Analysis. Nutrients 2019, 11, 2611. [Google Scholar] [CrossRef] [PubMed]
- Shubrook, J.H.; Chen, W.; Lim, A. Evidence for the Prevention of Type 2 Diabetes Mellitus. J. Am. Osteopath. Assoc. 2018, 118, 730–737. [Google Scholar] [CrossRef] [PubMed]
- Echouffo-Tcheugui, J.B.; Perreault, L.; Ji, L.; Dagogo-Jack, S. Diagnosis and Management of Prediabetes: A Review. JAMA 2023, 329, 1206–1216. [Google Scholar] [CrossRef]
- Kosmas, C.E.; Bousvarou, M.D.; Kostara, C.E.; Papakonstantinou, E.J.; Salamou, E.; Guzman, E. Insulin Resistance and Cardiovascular Disease. J. Int. Med. Res. 2023, 51, 3000605231164548. [Google Scholar] [CrossRef] [PubMed]
- Taylor, R. Insulin Resistance and Type 2 Diabetes. Diabetes 2012, 61, 778–779. [Google Scholar] [CrossRef]
- Zhao, X.; An, X.; Yang, C.; Sun, W.; Ji, H.; Lian, F. The Crucial Role and Mechanism of Insulin Resistance in Metabolic Disease. Front. Endocrinol. 2023, 14, 1149239. [Google Scholar] [CrossRef]
- Patel, T.P.; Rawal, K.; Bagchi, A.K.; Akolkar, G.; Bernardes, N.; Dias, D.D.S.; Gupta, S.; Singal, P.K. Insulin Resistance: An Additional Risk Factor in the Pathogenesis of Cardiovascular Disease in Type 2 Diabetes. Heart Fail. Rev. 2016, 21, 11–23. [Google Scholar] [CrossRef]
- DeFronzo, R.A.; Tobin, J.D.; Andres, R. Glucose Clamp Technique: A Method for Quantifying Insulin Secretion and Resistance. Am. J. Physiol. 1979, 237, E214–E223. [Google Scholar] [CrossRef]
- Gastaldelli, A. Measuring and Estimating Insulin Resistance in Clinical and Research Settings. Obesity 2022, 30, 1549–1563. [Google Scholar] [CrossRef]
- Placzkowska, S.; Pawlik-Sobecka, L.; Kokot, I.; Piwowar, A. Indirect Insulin Resistance Detection: Current Clinical Trends and Laboratory Limitations. Biomed. Pap. Med. Fac. Univ. Palacky Olomouc Czech Repub. 2019, 163, 187–199. [Google Scholar] [CrossRef] [PubMed]
- Pereyra González, I.; Lopez-Arana, S. Usefulness of SPISE Index for Screening and Detection of Early Stages of Insulin Resistance Among Chilean Young Adults. Ann. Nutr. Metab. 2023, 79, 372–378. [Google Scholar] [CrossRef]
- Timsans, J.; Palomäki, A.; Kauppi, M. Gout and Hyperuricemia: A Narrative Review of Their Comorbidities and Clinical Implications. J. Clin. Med. 2024, 13, 7616. [Google Scholar] [CrossRef]
- Jiang, J.; Zhang, T.; Liu, Y.; Chang, Q.; Zhao, Y.; Guo, C.; Xia, Y. Prevalence of Diabetes in Patients with Hyperuricemia and Gout: A Systematic Review and Meta-Analysis. Curr. Diab. Rep. 2023, 23, 103–117. [Google Scholar] [CrossRef]
- Abujbara, M.; Al Hourani, H.M.; Al-Raoush, R.I.; Khader, Y.S.; Ajlouni, K. Prevalence of Hyperuricemia and Associated Factors Among Type 2 Diabetic Patients in Jordan. Int. J. Gen. Med. 2022, 15, 6611–6619. [Google Scholar] [CrossRef]
- Wang, J.; Chen, R.P.; Lei, L.; Song, Q.Q.; Zhang, R.Y.; Li, Y.B.; Yang, C.; Lin, S.D.; Chen, L.S.; Wang, Y.L.; et al. Prevalence and Determinants of Hyperuricemia in Type 2 Diabetes Mellitus Patients with Central Obesity in Guangdong Province in China. Asia Pac. J. Clin. Nutr. 2013, 22, 590–598. [Google Scholar] [PubMed]
- Billa, G.; Dargad, R.; Mehta, A. Prevalence of Hyperuricemia in Indian Subjects Attending Hyperuricemia Screening Programs—A Retrospective Study. J. Assoc. Physicians India 2018, 66, 43–46. [Google Scholar]
- Mundhe, S.; Mhasde, D. The Study of Prevalence of Hyperuricemia and Metabolic Syndrome in Type 2 Diabetes Mellitus. Int. J. Adv. Med. 2016, 3, 241–249. [Google Scholar] [CrossRef]
- Woyesa, S.B.; Hirigo, A.T.; Wube, T.B. Hyperuricemia and Metabolic Syndrome in Type 2 Diabetes Mellitus Patients at Hawassa University Comprehensive Specialized Hospital, South West Ethiopia. BMC Endocr. Disord. 2017, 17, 76. [Google Scholar] [CrossRef]
- Ogbera, A.O.; Azenabor, A.O. Hyperuricaemia and the Metabolic Syndrome in Type 2 DM. Diabetol. Metab. Syndr. 2010, 2, 24. [Google Scholar] [CrossRef]
- Timsans, J.; Kauppi, J.E.; Kerola, A.M.; Lehto, T.M.; Kautiainen, H.; Kauppi, M.J. Hyperuricaemia: Prevalence and Association with Mortality in an Elderly Finnish Population. BMJ Open 2023, 13, e072110. [Google Scholar] [CrossRef] [PubMed]
- Krishnan, E.; Pandya, B.J.; Chung, L.; Hariri, A.; Dabbous, O. Hyperuricemia in young adults and risk of insulin resistance, prediabetes, and diabetes: A 15-year follow-up study. Am. J. Epidemiol. 2012, 176, 108–116. [Google Scholar] [CrossRef]
- Han, T.; Lan, L.; Qu, R.; Xu, Q.; Jiang, R.; Na, L.; Sun, C. Temporal Relationship Between Hyperuricemia and Insulin Resistance and Its Impact on Future Risk of Hypertension. Hypertension 2017, 70, 703–711. [Google Scholar] [CrossRef] [PubMed]
- Zhu, J.; Sun, L.; Yang, J.; Fan, J.; Tse, L.A.; Li, Y. Genetic Predisposition to Type 2 Diabetes and Insulin Levels Is Positively Associated With Serum Urate Levels. J. Clin. Endocrinol. Metab. 2021, 106, e2547–e2556. [Google Scholar] [CrossRef]
- Hu, X.; Rong, S.; Wang, Q.; Sun, T.; Bao, W.; Chen, L.; Liu, L. Association between plasma uric acid and insulin resistance in type 2 diabetes: A Mendelian randomization analysis. Diabetes Res. Clin. Pract. 2021, 171, 108542. [Google Scholar] [CrossRef] [PubMed]
- McCormick, N.; O’Connor, M.J.; Yokose, C.; Merriman, T.R.; Mount, D.B.; Leong, A.; Choi, H.K. Assessing the Causal Relationships Between Insulin Resistance and Hyperuricemia and Gout Using Bidirectional Mendelian Randomization. Arthritis Rheumatol. 2021, 73, 2096–2104. [Google Scholar] [CrossRef]
- Mandal, A.K.; Leask, M.P.; Estiverne, C.; Choi, H.K.; Merriman, T.R.; Mount, D.B. Genetic and Physiological Effects of Insulin on Human Urate Homeostasis. Front. Physiol. 2021, 12, 713710. [Google Scholar] [CrossRef]
- Timsans, J.; Kauppi, J.E.; Kerola, A.M.; Rantalaiho, V.M.; Paldanius, M.; Kautiainen, H.J.; Kauppi, M.J. Hyperuricemia is associated with higher levels of fasting plasma glucose and insulin resistance in non-diabetic subjects. Mod. Rheumatol. 2024, 34. Available online: https://www.ryumachi-jp.com/publication/pdf/mr_supple_all_2024.pdf (accessed on 3 April 2025).
- Timsans, J.; Kauppi, J.; Kerola, A.; Rantalaiho, V.; Kautiainen, H.; Kauppi, M. Hyperuricemia is associated with higher levels of fasting plasma glucose and insulin resistance in non-diabetic subjects. Arthritis Rheumatol. 2024, 76 (Suppl. S9). Available online: https://acrabstracts.org/abstract/hyperuricemia-is-associated-with-higher-levels-of-fasting-plasma-glucose-and-insulin-resistance-in-non-diabetic-subjects/ (accessed on 3 April 2025).
- Matthews, D.R.; Hosker, J.P.; Rudenski, A.S.; Naylor, B.A.; Treacher, D.F.; Turner, R.C. Homeostasis model assessment: Insulin resistance and beta-cell function from fasting plasma glucose and insulin concentrations in man. Diabetologia 1985, 28, 412–419. [Google Scholar] [CrossRef]
- Parawansyah, S.; Umar, H.; Mansyur, M.; Bakri, S.; Kasim, H.; Sanusi, H.; Minhajat, R.; Seweng, A. Obesity effect on homeostasis model assessment of insulin resistance (HOMA-IR) value in various metabolic syndrome (MS) components. Int. J. Med. Rev. Case Rep. 2019, 3, 1. [Google Scholar] [CrossRef]
- Raj, A.; Vijayakumar, V. Correlation of HOMA IR with BMI. Asian J. Med. Res. 2020, 10, 5–8. [Google Scholar]
- Timsans, J.; Kauppi, J.E.; Kerola, A.M.; Lehto, T.M.; Kautiainen, H.J.; Kauppi, M.J. Hyperuricaemia-associated all-cause mortality risk effect is increased by non-impaired kidney function—Is renal hyperuricaemia less dangerous? Eur. J. Intern. Med. 2024, 121, 56–62. [Google Scholar] [CrossRef] [PubMed]
- Timsans, J.; Kerola, A.M.; Rantalaiho, V.M.; Hakkarainen, K.N.; Kautiainen, H.J.; Kauppi, M.J. “Metabolic” type of hyperuricemia increases mortality mainly by leading to premature death from cardiovascular disease. Mayo Clin. Proc. 2024, 99, 1835–1837. [Google Scholar] [CrossRef] [PubMed]
- Casiglia, E.; Tikhonoff, V.; Virdis, A.; Grassi, G.; Angeli, F.; Barbagallo, C.M.; Bombelli, M.; Cicero, A.F.G.; Cirillo, M.; Cirillo, P.; et al. Serum uric acid/serum creatinine ratio as a predictor of cardiovascular events: Detection of prognostic cardiovascular cut-off values. J. Hypertens. 2023, 41, 180–186. [Google Scholar] [CrossRef]
- Werner, K.; Pihlsgård, M.; Elmståhl, S.; Legrand, H.; Nyman, U.; Christensson, A. Combining Cystatin C and Creatinine Yields a Reliable Glomerular Filtration Rate Estimation in Older Adults in Contrast to β-Trace Protein and β2-Microglobulin. Nephron 2017, 137, 29–37. [Google Scholar] [CrossRef]
- Qiu, Q.; Gong, Y.; Liu, X.; Dou, L.; Wang, Y.; Wang, B.; Liang, J. Serum Uric Acid and Impaired Glucose Tolerance: The Cardiometabolic Risk in Chinese (CRC) Study. Cell Biochem. Biophys. 2015, 73, 155–162. [Google Scholar] [CrossRef]
- Martínez-Sánchez, F.D.; Vargas-Abonce, V.P.; Guerrero-Castillo, A.P.; Santos-Villavicencio, M.L.; Eseiza-Acevedo, J.; Meza-Arana, C.E.; Gulias-Herrero, A.; Gómez-Sámano, M.Á. Serum Uric Acid Concentration Is Associated with Insulin Resistance and Impaired Insulin Secretion in Adults at Risk for Type 2 Diabetes. Prim. Care Diabetes 2021, 15, 293–299. [Google Scholar] [CrossRef]
- Han, R.; Zhang, Y.; Jiang, X. Relationship Between Four Non-Insulin-Based Indexes of Insulin Resistance and Serum Uric Acid in Patients with Type 2 Diabetes: A Cross-Sectional Study. Diabetes Metab. Syndr. Obes. 2022, 15, 1461–1471. [Google Scholar] [CrossRef]
- Dawson, J.; Wyss, A. Chicken or the Egg? Hyperuricemia, Insulin Resistance, and Hypertension. Hypertension 2017, 70, 698–699. [Google Scholar] [CrossRef]
- Lanaspa, M.A.; Sanchez-Lozada, L.G.; Choi, Y.J.; Cicerchi, C.; Kanbay, M.; Roncal-Jimenez, C.A.; Ishimoto, T.; Li, N.; Marek, G.; Duranay, M.; et al. Uric acid induces hepatic steatosis by generation of mitochondrial oxidative stress: Potential role in fructose-dependent and -independent fatty liver. J. Biol. Chem. 2012, 287, 40732–40744. [Google Scholar] [CrossRef] [PubMed]
- Baldwin, W.; McRae, S.; Marek, G.; Wymer, D.; Pannu, V.; Baylis, C.; Johnson, R.J.; Sautin, Y.Y. Hyperuricemia as a mediator of the proinflammatory endocrine imbalance in the adipose tissue in a murine model of the metabolic syndrome. Diabetes 2011, 60, 1258–1269. [Google Scholar] [CrossRef]
- Klisic, A.; Kavaric, N.; Ninic, A. Predictive Values of Serum Uric Acid and Alanine-Aminotransferase for Fatty Liver Index in Montenegrin Population. J. Med. Biochem. 2019, 38, 407–417. [Google Scholar] [CrossRef]
- Yuan, H.J.; Yang, X.G.; Shi, X.Y.; Tian, R.; Zhao, Z.G. Association of serum uric acid with different levels of glucose and related factors. Chin. Med. J. 2011, 124, 1443–1448. [Google Scholar] [PubMed]
- Asma Sakalli, A.; Küçükerdem, H.S.; Aygün, O. What is the relationship between serum uric acid level and insulin resistance?: A case-control study. Medicine 2023, 102, e36732. [Google Scholar] [CrossRef]
- Toyoki, D.; Shibata, S.; Kuribayashi-Okuma, E.; Xu, N.; Ishizawa, K.; Hosoyamada, M.; Uchida, S. Insulin stimulates uric acid reabsorption via regulating urate transporter 1 and ATP-binding cassette subfamily G member 2. Am. J. Physiol. Renal Physiol. 2017, 313, F826–F834. [Google Scholar] [CrossRef] [PubMed]
- Yanai, H.; Adachi, H.; Hakoshima, M.; Katsuyama, H. Molecular biological and clinical understanding of the pathophysiology and treatments of hyperuricemia and its association with metabolic syndrome, cardiovascular diseases, and chronic kidney disease. Int. J. Mol. Sci. 2021, 22, 9221. [Google Scholar] [CrossRef]
- Takir, M.; Kostek, O.; Ozkok, A.; Elcioglu, O.C.; Bakan, A.; Erek, A.; Mutlu, H.H.; Telci, O.; Semerci, A.; Odabas, A.R.; et al. Lowering uric acid with allopurinol improves insulin resistance and systemic inflammation in asymptomatic hyperuricemia. J. Investig. Med. 2015, 63, 924–929. [Google Scholar] [CrossRef]
- Cicero, A.F.; Rosticci, M.; Bove, M.; Fogacci, F.; Giovannini, M.; Urso, R.; D’Addato, S.; Borghi, C.; Brisighella Heart Study Group. Serum Uric Acid Change and Modification of Blood Pressure and Fasting Plasma Glucose in an Overall Healthy Population Sample: Data from the Brisighella Heart Study. Ann. Med. 2017, 49, 275–282. [Google Scholar] [CrossRef]
- Meng, J.; Li, Y.; Yuan, X.; Lu, Y. Effects of febuxostat on insulin resistance and expression of high-sensitivity C-reactive protein in patients with primary gout. Rheumatol. Int. 2017, 37, 299–303. [Google Scholar] [CrossRef]
- Wang, Y.; Lu, J. The management of diabetes with hyperuricemia: Can we hit two birds with one stone? J. Inflamm. Res. 2023, 16, 6431–6441. [Google Scholar] [CrossRef]
- Mizuno, Y.; Yamamotoya, T.; Nakatsu, Y.; Ueda, K.; Matsunaga, Y.; Inoue, M.K.; Sakoda, H.; Fujishiro, M.; Ono, H.; Kikuchi, T.; et al. Xanthine oxidase inhibitor febuxostat exerts an anti-inflammatory action and protects against diabetic nephropathy development in KK-Ay obese diabetic mice. Int. J. Mol. Sci. 2019, 20, 4680. [Google Scholar] [CrossRef] [PubMed]
- Komers, R.; Xu, B.; Schneider, J.; Oyama, T.T. Effects of xanthine oxidase inhibition with febuxostat on the development of nephropathy in experimental type 2 diabetes. Br. J. Pharmacol. 2016, 173, 2573–2588. [Google Scholar] [CrossRef]
- Kimura, Y.; Tsukui, D.; Kono, H. Uric acid in inflammation and the pathogenesis of atherosclerosis. Int. J. Mol. Sci. 2021, 22, 12394. [Google Scholar] [CrossRef] [PubMed]
- Batty, M.; Bennett, M.R.; Yu, E. The role of oxidative stress in atherosclerosis. Cells 2022, 11, 3843. [Google Scholar] [CrossRef]
- Xin, Y.; Wang, Y.; Chi, J.; Zhu, X.; Zhao, H.; Zhao, S.; Wang, Y. Elevated free fatty acid level is associated with insulin-resistant state in nondiabetic Chinese people. Diabetes Metab. Syndr. Obes. 2019, 12, 139–147. [Google Scholar] [CrossRef] [PubMed]
- Kim, H.J.; Ryu, J.; Ahn, S.Y.; Kim, S.; Lim, S.; Na, K.Y.; Kim, K.W.; Jang, H.C.; Chae, D.W.; Chin, H.J. Association of insulin resistance with lower glomerular filtration rate and all-cause mortality in the Korean elderly population: A community-based prospective cohort study. Tohoku J. Exp. Med. 2013, 231, 271–279. [Google Scholar] [CrossRef][Green Version]
- Fukui, S.; Okada, M.; Rahman, M.; Matsui, H.; Shiraishi, A.; Nakai, T.; Tamaki, H.; Kishimoto, M.; Hasegawa, H.; Matsuda, T.; et al. Differences in the association between alcoholic beverage type and serum urate levels using standardized ethanol content. JAMA Netw. Open 2023, 6, e233398. [Google Scholar] [CrossRef]


| SUA < 410 µmol/L | SUA ≥ 410 µmol/L | p-Value | |||||
|---|---|---|---|---|---|---|---|
| HOMA-IR <2.65 | HOMA-IR ≥2.65 | HOMA-IR <2.65 | HOMA-IR ≥2.65 | SUA | HOMA-IR | Interaction | |
| n = 1436 | n = 343 | n = 306 | n = 237 | ||||
| FPG, mean (SD), mmol/L | 5.26 (0.47) | 5.77 (0.54) | 5.41 (0.50) | 5.85 (0.50) | .. | .. | .. |
| Fasting plasma insulin, mean (SD), µU/mL | 6.41 (2.23) | 15.22 (8.71) | 7.26 (2.41) | 16.68 (6.35) | .. | .. | .. |
| Insulin/FPG ratio | 1.2 (0.4) | 2.7 (1.7) | 1.3 (0.5) | 2.9 (1.1) | .. | .. | .. |
| HOMA-IR | 1.50 (0.55) | 3.87 (2.04) | 1.75 (0.59) | 4.35 (1.78) | .. | .. | .. |
| SUA, µmol/L | 313 (54) | 341 (46) | 457 (47) | 478 (62) | .. | .. | .. |
| Female, n (%) | 560 (39) | 128 (37) | 221 (72) | 147 (62) | <0.001 | 0.016 | 0.077 |
| Age, mean (SD), years | 63 (8) | 66 (8) | 64 (8) | 65 (8) | 0.23 | <0.001 | 0.039 |
| BMI, mean (SD), kg/m2 | 26.2 (3.7) | 30.3 (4.5) | 27.9 (3.8) | 31.3 (4.9) | <0.001 | <0.001 | 0.13 |
| LTPA, n (%) | 0.002 | 0.010 | 0.90 | ||||
| low | 305 (21) | 90 (26) | 81 (26) | 78 (33) | |||
| moderate | 623 (43) | 148 (43) | 136 (44) | 100 (42) | |||
| high | 508 (35) | 105 (31) | 89 (29) | 59 (25) | |||
| BP, mmHg, mean (SD) | |||||||
| systolic | 143 (19) | 150 (19) | 146 (18) | 153 (20) | 0.006 | <0.001 | 0.84 |
| diastolic | 85 (9) | 88 (10) | 86 (10) | 90 (10) | 0.005 | <0.001 | 0.93 |
| MAP | 104 (11) | 109 (11) | 106 (11) | 111 (12) | 0.002 | <0.001 | 0.87 |
| Cholesterol, mean (SD), mmol/L | 5.85 (1.03) | 5.73 (1.05) | 5.80 (1.16) | 5.77 (1.10) | 0.93 | 0.18 | 0.44 |
| HDL-C, mean (SD), mmol/L | 1.63 (0.45) | 1.39 (0.35) | 1.48 (0.40) | 1.27 (0.33) | <0.001 | <0.001 | 0.50 |
| LDL-C, mean (SD), mmol/L | 3.63 (0.91) | 3.55 (0.95) | 3.59 (1.03) | 3.59 (0.97) | 0.99 | 0.40 | 0.43 |
| Triglycerides, mean (SD), mmol/L | 1.30 (0.65) | 1.73 (0.78) | 1.68 (1.96) | 2.03 (0.98) | <0.001 | <0.001 | 0.40 |
| eGFR, mean (SD), mL/min/1.73 m2 | 80.8 (14.1) | 75.2 (14.3) | 72.8 (15.5) | 68.1 (15.9) | <0.001 | <0.001 | 0.55 |
| AUDIT score, mean (SD) | 3.1 (2.3) | 2.7 (2.4) | 4.1 (2.7) | 3.6 (2.7) | <0.001 | 0.001 | 0.88 |
| Smoking, n (%) | 40 (17) | 51 (15) | 54 (18) | 35 (15) | 0.84 | 0.23 | 0.80 |
| Education years, mean (SD) | 9.7 (3.3) | 8.8 (2.9) | 9.6 (3.4) | 9.1 (3.5) | 0.53 | <0.001 | 0.18 |
| Comorbidities, n (%) | |||||||
| Antihypertensive | 366 (25) | 149 (43) | 118 (39) | 113 (48) | <0.001 | <0.001 | 0.043 |
| Cardiovascular disease | 88 (6) | 47 (14) | 36 (12) | 35 (15) | 0.012 | <0.001 | 0.049 |
| Medication, n (%) | |||||||
| Antihypertensive | 294 (20) | 128 (37) | 99 (32) | 109 (46) | <0.001 | <0.001 | 0.24 |
| Lipid lowering | 176 (12) | 62 (18) | 59 (19) | 45 (19) | 0.029 | 0.11 | 0.081 |
| HOMA-IR Beta (95% CI) | FPG Beta (95% CI) | Fasting Plasma Insulin Beta (95% CI) | Insulin/FPG Ratio Beta (95% CI) | |
|---|---|---|---|---|
| All | ||||
| Model I | 0.33 (0.29 to 0.36) | 0.27 (0.23 to 0.31) | 0.30 (0.26 to 0.34) | 0.26 (0.22 to 0.30) |
| Model II | 0.21 (0.17 to 0.25) | 0.13 (0.09 to 0.17) | 0.19 (0.15 to 0.24) | 0.15 (0.11 to 0.19) |
| Model III | 0.21 (0.17 to 0.23) | 0.11 (0.07 to 0.15) | 0.20 (0.16 to 0.24) | 0.18 (0.14 to 0.22) |
| Women | ||||
| Model I | 0.35 (0.31 to 0.40) | 0.26 (0.21 to 0.31) | 0.33 (0.29 to 0.38) | 0.30 (0.25 to 0.35) |
| Model II | 0.18 (0.13 to 0.23) | 0.15 (0.10 to 0.21) | 0.17 (0.12 to 0.22) | 0.15 (0.10 to 0.20) |
| Model III | 0.19 (0.14 to 0.24) | 0.13 (0.08 to 0.19) | 0.18 (0.13 to 0.23) | 0.16 (0.11 to 0.21) |
| Men | ||||
| Model I | 0.32 (0.26 to 0.37) | 0.16 (0.10 to 0.22) | 0.11 (−0.07 to 0.29) | 0.26 (0.21 to 0.32) |
| Model II | 0.21 (0.16 to 0.27) | 0.09 (0.03 to 0.16) | 0.19 (0.14 to 0.25) | 0.17 (0.11 to 0.23) |
| Model III | 0.21 (0.15 to 0.26) | 0.08 (0.02 to 0.14) | 0.18 (0.14 to 0.25) | 0.17 (0.12 to 0.23) |
Disclaimer/Publisher’s Note: The statements, opinions and data contained in all publications are solely those of the individual author(s) and contributor(s) and not of MDPI and/or the editor(s). MDPI and/or the editor(s) disclaim responsibility for any injury to people or property resulting from any ideas, methods, instructions or products referred to in the content. |
© 2025 by the authors. Licensee MDPI, Basel, Switzerland. This article is an open access article distributed under the terms and conditions of the Creative Commons Attribution (CC BY) license (https://creativecommons.org/licenses/by/4.0/).
Share and Cite
Timsans, J.; Kauppi, J.; Rantalaiho, V.; Kerola, A.; Hakkarainen, K.; Lehto, T.; Kautiainen, H.; Kauppi, M. Serum Uric Acid Is Associated with Insulin Resistance in Non-Diabetic Subjects. J. Clin. Med. 2025, 14, 2621. https://doi.org/10.3390/jcm14082621
Timsans J, Kauppi J, Rantalaiho V, Kerola A, Hakkarainen K, Lehto T, Kautiainen H, Kauppi M. Serum Uric Acid Is Associated with Insulin Resistance in Non-Diabetic Subjects. Journal of Clinical Medicine. 2025; 14(8):2621. https://doi.org/10.3390/jcm14082621
Chicago/Turabian StyleTimsans, Janis, Jenni Kauppi, Vappu Rantalaiho, Anne Kerola, Kia Hakkarainen, Tiina Lehto, Hannu Kautiainen, and Markku Kauppi. 2025. "Serum Uric Acid Is Associated with Insulin Resistance in Non-Diabetic Subjects" Journal of Clinical Medicine 14, no. 8: 2621. https://doi.org/10.3390/jcm14082621
APA StyleTimsans, J., Kauppi, J., Rantalaiho, V., Kerola, A., Hakkarainen, K., Lehto, T., Kautiainen, H., & Kauppi, M. (2025). Serum Uric Acid Is Associated with Insulin Resistance in Non-Diabetic Subjects. Journal of Clinical Medicine, 14(8), 2621. https://doi.org/10.3390/jcm14082621

