Synergic Efficacy of a Multicomponent Nutraceutical Add-On Therapy in Seasonal Allergic Rhinitis in Children: A Prospective, Randomized, Parallel-Group Study
Abstract
1. Introduction
2. Materials and Methods
2.1. Study Design
2.2. Study Population
2.3. Randomization
2.4. Study Phases
2.5. Study Outcomes
2.6. Serological Biomarkers
2.7. Nasal Eosinophils Count and C/G Ratio at Nasal Cytology
2.8. Nasal Nitric Oxide (nFeNO)
2.9. Exhaled Nitric Oxide (eFeNO)
2.10. Mean Nasal Flow (mNF) at Active Anterior Rhinomanometry (AAR)
2.11. Forced Expiratory Volume in the First Second (FEV1) at Spirometry
2.12. Nasal Symptom Score (NSS)
2.13. Treatment Compliance, Rescue Medication, and Adverse Events
2.14. Schedule of Quertal® Administration
2.15. Standard Treatment
3. Statistical Analysis
4. Results
5. Discussion
5.1. Strength of This Study
5.2. Limitations
5.3. Future Research Directions
6. Conclusions
Supplementary Materials
Author Contributions
Funding
Institutional Review Board Statement
Informed Consent Statement
Data Availability Statement
Conflicts of Interest
References
- Bousquet, J.; Anto, J.M.; Bachert, C.; Baiardini, I.; Bosnic-Anticevich, S.; Walter Canonica, G.; Melén, E.; Palomares, O.; Scadding, G.K.; Togias, A.; et al. Allergic rhinitis. Nat. Rev. Dis. Primers 2020, 6, 95. [Google Scholar] [CrossRef] [PubMed]
- Schuler Iv, C.F.; Montejo, J.M. Allergic Rhinitis in Children and Adolescents. Immunol. Allergy Clin. N. Am. 2021, 41, 613–625. [Google Scholar] [CrossRef] [PubMed]
- D’Elia, C.; Gozal, D.; Bruni, O.; Goudouris, E.; Meira e Cruz, M. Allergic rhinitis and sleep disorders in children—Coexistence and reciprocal interactions. J. Pediatr. 2021, 98, 444–454. [Google Scholar] [CrossRef] [PubMed]
- Akhouri, S.; House, S.A. Allergic Rhinitis. In StatPearls; StatPearls Publishing: Treasure Island, FL, USA, 2023. [Google Scholar]
- Custovic, A.; Custovic, D.; Kljaić Bukvić, B.; Fontanella, S.; Haider, S. Atopic phenotypes and their implication in the atopic march. Expert Rev. Clin. Immunol. 2020, 16, 873–881. [Google Scholar] [CrossRef]
- Di Cara, G.; Bizzarri, I.; Fabiano, C.; Faina, F.; Di Cicco, M.; Rinaldi, V.E.; Verrotti, A.; Peroni, D. Prevalence of allergic rhinitis with lower airways inflammation: A new endotype with high risk of asthma development? J. Paediatr. Child Heal. 2021, 57, 1955–1959. [Google Scholar] [CrossRef]
- Lloyd, C.M.; Snelgrove, R.J. Type 2 immunity: Expanding our view. Sci. Immunol. 2018, 3, eaat1604. [Google Scholar] [CrossRef]
- Scadding, G.K.; Scadding, G.W. Innate and Adaptive Immunity: ILC2 and Th2 Cells in Upper and Lower Airway Allergic Diseases. J. Allergy Clin. Immunol. Pract. 2021, 9, 1851–1857. [Google Scholar] [CrossRef]
- Ogulur, I.; Pat, Y.; Ardicli, O.; Barletta, E.; Cevhertas, L.; Fernandez-Santamaria, R.; Huang, M.; Bel Imam, M.; Koch, J.; Ma, S.; et al. Advances and highlights in biomarkers of allergic diseases. Allergy 2021, 76, 3659–3686. [Google Scholar] [CrossRef]
- Tosca, M.A.; Trincianti, C.; Naso, M.; Nosratian, V.; Ciprandi, G. Treatment of Allergic Rhinitis in Clinical Practice. Curr. Pediatr. Rev. 2024, 20, 271–277. [Google Scholar] [CrossRef]
- Bruni, R. Dalla natura alla farmacia: La lunga strada di un antimalarico. Sci. Mag. 2015, 9, 1–5. [Google Scholar]
- Ahmed, H.M. Ethnomedicinal, Phytochemical and Pharmacological Investigations of Perilla frutescens (L.) Britt. Molecules 2018, 24, 102. [Google Scholar] [CrossRef] [PubMed]
- Litonjua, A.A.; Weiss, S.T. Vitamin D status through the first 10 years of life: A vital piece of the puzzle in asthma inception. J. Allergy Clin. Immunol. 2017, 139, 459–461. [Google Scholar] [CrossRef] [PubMed][Green Version]
- Russo, M.; Spagnuolo, C.; Tedesco, I.; Bilotto, S.; Russo, G.L. The flavonoid quercetin in disease prevention and therapy: Facts and fancies. Biochem. Pharmacol. 2012, 83, 6–15. [Google Scholar] [CrossRef]
- Liang, K.-L.; Yu, S.-J.; Huang, W.-C.; Yen, H.-R. Luteolin Attenuates Allergic Nasal Inflammation via Inhibition of Interleukin-4 in an Allergic Rhinitis Mouse Model and Peripheral Blood from Human Subjects with Allergic Rhinitis. Front. Pharmacol. 2020, 11, 291. [Google Scholar] [CrossRef]
- Kim, G.-D.; Park, Y.S.; Jin, Y.-H.; Park, C.-S. Production and applications of rosmarinic acid and structurally related compounds. Appl. Microbiol. Biotechnol. 2015, 99, 2083–2092. [Google Scholar] [CrossRef]
- Guo, Y.; Bruno, R.S. Endogenous and exogenous mediators of quercetin bioavailability. J. Nutr. Biochem. 2015, 26, 201–210. [Google Scholar] [CrossRef]
- Caglayan Sozmen, S.; Karaman, M.; Cilaker Micili, S.; Isik, S.; Bagriyanik, A.; Arikan Ayyildiz, Z.; Uzuner, N.; Anal, O.; Karaman, O. Effects of Quercetin Treatment on Epithelium-derived Cytokines and Epithelial Cell Apoptosis in Allergic Airway Inflammation Mice Model. Iran. J. Allergy Asthma Immunol. 2016, 15, 487–497. [Google Scholar]
- Colunga Biancatelli, R.M.L.; Berrill, M.; Catravas, J.D.; Marik, P.E. Quercetin and Vitamin C: An Experimental, Synergistic Therapy for the Prevention and Treatment of SARS-CoV-2 Related Disease (COVID-19). Front. Immunol. 2020, 11, 1451. [Google Scholar] [CrossRef]
- Ebihara, N.; Takahashi, K.; Takemura, H.; Akanuma, Y.; Asano, K.; Sunagawa, M. Suppressive Effect of Quercetin on Nitric Oxide Production from Nasal Epithelial Cells In Vitro. Evid. Based Complement. Altern. Med. 2018, 2018, e6097625. [Google Scholar] [CrossRef]
- Edo, Y.; Otaki, A.; Asano, K. Quercetin Enhances the Thioredoxin Production of Nasal Epithelial Cells In Vitro and In Vivo. Medicines 2018, 5, 124. [Google Scholar] [CrossRef]
- Licari, A.; Marseglia, G.L.; Ciprandi, G. Vitamin D3 in children with allergic asthma in clinical practice. Pediatr. Pulmonol. 2019, 54, 225–227. [Google Scholar] [CrossRef] [PubMed]
- Cipriani, F.; Tripodi, S.; Panetta, V.; Perna, S.; Potapova, E.; Dondi, A.; Bernardini, R.; Caffarelli, C.; Casani, A.; Cervone, R.; et al. Early molecular biomarkers predicting the evolution of allergic rhinitis and its comorbidities: A longitudinal multicenter study of a patient cohort. Pediatr. Allergy Immunol. 2019, 30, 325–334. [Google Scholar] [CrossRef] [PubMed]
- Brindisi, G.; Gori, A.; Anania, C.; Martinelli, I.; Capponi, M.; De Castro, G.; Zicari, A.M. Subcutaneous Immunotherapy (SCIT) with the New Polymerized Molecular Allergoid Alt a1: A Pilot Study in Children with Allergic Rhinitis Sensitized to Alternaria Alternata. J. Clin. Med. 2023, 12, 4327. [Google Scholar] [CrossRef]
- Brindisi, G.; De Vittori, V.; De Nola, R.; Di Mauro, A.; De Castro, G.; Baldassarre, M.E.; Cicinelli, E.; Cinicola, B.; Duse, M.; Zicari, A.M. The Role of Nasal Nitric Oxide and Anterior Active Rhinomanometry in the Diagnosis of Allergic Rhinitis and Asthma: A Message for Pediatric Clinical Practice. J. Asthma Allergy 2021, 14, 265–274. [Google Scholar] [CrossRef]
- Manna, A.; Montella, S.; Maniscalco, M.; Maglione, M.; Santamaria, F. Clinical application of nasal nitric oxide measurement in pediatric airway diseases: Nasal Nitric Oxide in Pediatric Airways. Pediatr. Pulmonol. 2015, 50, 85–99. [Google Scholar] [CrossRef]
- American Thoracic Society; European Respiratory Society. ATS/ERS Recommendations for Standardized Procedures for the Online and Offline Measurement of Exhaled Lower Respiratory Nitric Oxide and Nasal Nitric Oxide. Am. J. Respir. Crit. Care Med. 2005, 171, 912–930. [Google Scholar] [CrossRef]
- Cilluffo, G.; Zicari, A.M.; Ferrante, G.; Malizia, V.; Fasola, S.; Duse, M.; De Castro, G.; De Vittori, V.; Schiavi, L.; Brindisi, G.; et al. Assessing repeatability and reproducibility of Anterior Active Rhinomanometry (AAR) in children. BMC Med. Res. Methodol. 2020, 20, 86. [Google Scholar] [CrossRef]
- Zapletal, A.; Chalupová, J. Nasal airflow and resistance measured by active anterior rhinomanometry in healthy children and adolescents: Rhinomanometry in Healthy Children. Pediatr. Pulmonol. 2002, 33, 174–180. [Google Scholar] [CrossRef]
- Graham, B.L.; Steenbruggen, I.; Miller, M.R.; Barjaktarevic, I.Z.; Cooper, B.G.; Hall, G.L.; Hallstrand, T.S.; Kaminsky, D.A.; McCarthy, K.; McCormack, M.C.; et al. Standardization of Spirometry 2019 Update. An Official American Thoracic Society and European Respiratory Society Technical Statement. Am. J. Respir. Crit. Care Med. 2019, 200, e70–e88. [Google Scholar] [CrossRef]
- Cho, H.-J.; Chung, Y.W.; Moon, S.; Seo, J.H.; Kang, M.; Nam, J.S.; Lee, S.N.; Kim, C.H.; Choi, A.M.; Yoon, J.H. IL-4 drastically decreases deuterosomal and multiciliated cells via alteration in progenitor cell differentiation. Allergy 2023, 78, 1866–1877. [Google Scholar] [CrossRef]
- Fang, L.; Li, C.-H.; Zhang, Q.; Jiang, T.-J.; Liu, Y.; Shi, F.-P.; Yu, P.; Yu, L.; Chen, A.P.; Li, T.; et al. Ciliated Cells Express a Novel Pattern of Brain-Derived Neurotrophic Factor in Allergic Rhinitis. J. Inflamm. Res. 2023, 16, 2595–2606. [Google Scholar] [CrossRef] [PubMed]
- Gorrieri, G.; Scudieri, P.; Caci, E.; Schiavon, M.; Tomati, V.; Sirci, F.; Napolitano, F.; Carrella, D.; Gianotti, A.; Musante, I.; et al. Goblet Cell Hyperplasia Requires High Bicarbonate Transport To Support Mucin Release. Sci. Rep. 2016, 6, 36016. [Google Scholar] [CrossRef] [PubMed]
- Zhou, P.; Jia, Q.; Wang, Z.; Zhao, R.; Zhou, W. Cetirizine for the treatment of allergic diseases in children: A systematic review and meta-analysis. Front. Pediatr. 2022, 10, 940213. [Google Scholar] [CrossRef] [PubMed]
- Hair, P.I.; Scott, L.J. Levocetirizine: A review of its use in the management of allergic rhinitis and skin allergies. Drugs 2006, 66, 973–996. [Google Scholar] [CrossRef]
- Guilemany, J.M.; García-Piñero, A.; Alobid, I.; Centellas, S.; Mariño, F.S.; Valero, A.; Bernal-Sprekelsen, M.; Picado, C.; Mullol, J. The loss of smell in persistent allergic rhinitis is improved by levocetirizine due to reduction of nasal inflammation but not nasal congestion (the CIRANO study). Int. Arch. Allergy Immunol. 2012, 158, 184–190. [Google Scholar] [CrossRef]
- Pampura, A.N.; Papadopoulos, N.G.; Špičák, V.; Kurzawa, R. Evidence for Clinical Safety, Efficacy, and Parent and Physician Perceptions of Levocetirizine for the Treatment of Children with Allergic Disease. Int. Arch. Allergy Immunol. 2011, 155, 367–378. [Google Scholar] [CrossRef]
- Marseglia, G.L.; Licari, A.; Ciprandi, G.; Italian Study Group on Pediatric Allergic Rhinoconjunctivitis. A polycentric, randomized, double blind, parallel-group, placebo-controlled study on Lertal®, a multicomponent nutraceutical, as add-on treatment in children with allergic rhinoconjunctivitis: Phase I during active treatment. J. Biol. Regul. Homeost. Agents 2019, 33, 617–622. [Google Scholar]
- Marseglia, G.; Licari, A.; Leonardi, S.; Papale, M.; Zicari, A.M.; Schiavi, L.; Ciprandi, G.; Cardinale, F.; Cherubini, S.; Giordano, P.; et al. A polycentric, randomized, parallel-group, study on Lertal®, a multicomponent nutraceutical, as preventive treatment in children with allergic rhinoconjunctivitis: Phase II. Ital. J. Pediatr. 2019, 45, 84. [Google Scholar] [CrossRef]
- De Vittori, V.; Pacilio, A.; Indinnimeo, L.; Marazzato, M.; De Castro, G.; Brindisi, G.; Schiavi, L.; Tosca, M.; Duse, M.; Zicari, A.M. When asthma and rhinitis coexist, could rhinitis reduce asthma control in children? Allergy Asthma Proc. 2019, 40, 210. [Google Scholar] [CrossRef]
- Tosca, M.A.; Olcese, R.; Marinelli, G.; Papale, M.; Zicari, A.M.; Marseglia, G.; Ciprandi, G. Lertal®, a multicomponent nutraceutical, could reduce the use of antihistamines in children with allergic rhinoconjunctivitis. Acta Bio-Medica Atenei Parm. 2020, 91, 356–359. [Google Scholar] [CrossRef]
- Ariano, R. Efficacy of a novel food supplement in the relief of the signs and symptoms of seasonal allergic rhinitis and in the reduction of the consumption of anti-allergic drugs. Acta Biomed. 2015, 86, 53–58. [Google Scholar] [PubMed]
- Leonardi, S.; Parisi, G.; Papale, M.; Zicari, A.M.; Olcese, R.; Licari, A.; Marseglia, G.; Ciprandi, G. Small airways in children with allergic rhino-conjunctivitis: The potential role of a multicomponent nutraceutical. Acta Bio-Medica Atenei Parm. 2020, 91, 350–355. [Google Scholar] [CrossRef]
- Mu, D.; Zhou, L.; Shi, L.; Liu, T.; Guo, Y.; Chen, H.; Luo, H.; Ma, J.; Zhang, H.; Xiong, P.; et al. Quercetin-crosslinked chitosan nanoparticles: A potential treatment for allergic rhinitis. Sci. Rep. 2024, 14, 4021. [Google Scholar] [CrossRef] [PubMed]
- Ke, X.; Chen, Z.; Wang, X.; Kang, H.; Hong, S. Quercetin improves the imbalance of Th1/Th2 cells and Treg/Th17 cells to attenuate allergic rhinitis. Autoimmunity 2023, 56, 2189133. [Google Scholar] [CrossRef]
- Zajac, A.E.; Adams, A.S.; Turner, J.H. A systematic review and meta-analysis of probiotics for the treatment of allergic rhinitis. Int. Forum Allergy Rhinol. 2015, 5, 524–532. [Google Scholar] [CrossRef]
- Stefano, M.; Beatrice, M. Probiotics as adjuvant therapy in the treatment of Allergic Rhinitis. Res. J. Pharm. Technol. 2023, 16, 2393–2398. [Google Scholar] [CrossRef]
- Luo, X.; Wang, H.; Liu, H.; Chen, Y.; Tian, L.; Ji, Q.; Xie, D. Effects of probiotics on the prevention and treatment of children with allergic rhinitis: A meta-analysis of randomized controlled trials. Front. Pediatr. 2024, 12, 1352879. [Google Scholar] [CrossRef]
- Capponi, M.; Gori, A.; De Castro, G.; Ciprandi, G.; Anania, C.; Brindisi, G.; Tosca, M.; Cinicola, B.L.; Salvatori, A.; Loffredo, L.; et al. (R)Evolution in Allergic Rhinitis Add-On Therapy: From Probiotics to Postbiotics and Parabi-otics. J. Clin. Med. 2022, 11, 5154. [Google Scholar] [CrossRef]
- Schulz, K.F.; Altman, D.G.; Moher, D.; for the CONSORT Group. CONSORT 2010 Statement: Updated guidelines for reporting parallel group randomised trials. BMC Med. 2010, 8, 18. [Google Scholar] [CrossRef]








| Characteristics | Mean ± SD | p-Value |
|---|---|---|
| Age (years) | ||
| - Control | 9.52 ± 2.81 | p = 0.653 |
| - Case | 8.99 ± 3.08 | |
| Weight (kg) | ||
| - Control | 35.67 ± 13.94 | p = 0.573 |
| - Case | 34.15 ± 13.01 | |
| Height (cm) | ||
| - Control | 135.76 ± 16.75 | p = 0.423 |
| - Case | 133.06 ± 16.80 | |
| BMI (kg/m2) | ||
| - Control | 18.59 ± 3.33 | p = 0.938 |
| - Case | 18.64 ± 3.63 | |
| Characteristics | Count | Percent |
| Sex (Female) | ||
| - Control | 18 | 36% |
| - Case | 20 | 40% |
| AR | ||
| - Control | 50 | 100% |
| - Case | 50 | 100% |
| Asthma | ||
| - Control | 22 | 44% |
| - Case | 21 | 42% |
| Characteristic | Value | p-Value Intragroup | |||
|---|---|---|---|---|---|
| T0 | T1 | ||||
| Mean ± SD | p-Value Intergroup | Mean ± SD | p-Value Intergroup | ||
| Nasal Symptom Score (NSS) | |||||
| - Control | 22.10 ± 4.76 | p = 0.911 | 19.90 ± 5.02 | p = 0.001 | p = 0.001 |
| - Case | 22.00 ± 4.12 | 13.38 ± 3.61 | p < 0.001 | ||
| mNF (%) pre-hydrazine | |||||
| - Control | 67.42 ± 25.98 | p = 0.957 | 71.31 ± 24.92 | p = 0.041 | p = 0.045 |
| - Case | 67.14 ± 26.18 | 80.60 ± 20.34 | p = 0.001 | ||
| mNF (%) post-hydrazine | |||||
| - Control | 74.25 ± 22.53 | p = 0.872 | 77.13 ± 23.25 | p = 0.018 | p = 0.031 |
| - Case | 74.95 ± 20.63 | 86.72 ± 15.81 | p = 0.001 | ||
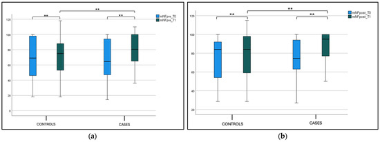
| Nasal FeNO (nFeN0) | |||||
| - Control | 1275 ± 660.69 | p = 0.985 | 1280 ± 641.10 | p = 0.001 | p = 0.802 |
| - Case | 1277.5 ± 697.21 | 798.10 ± 436.21 | p = 0.001 | ||
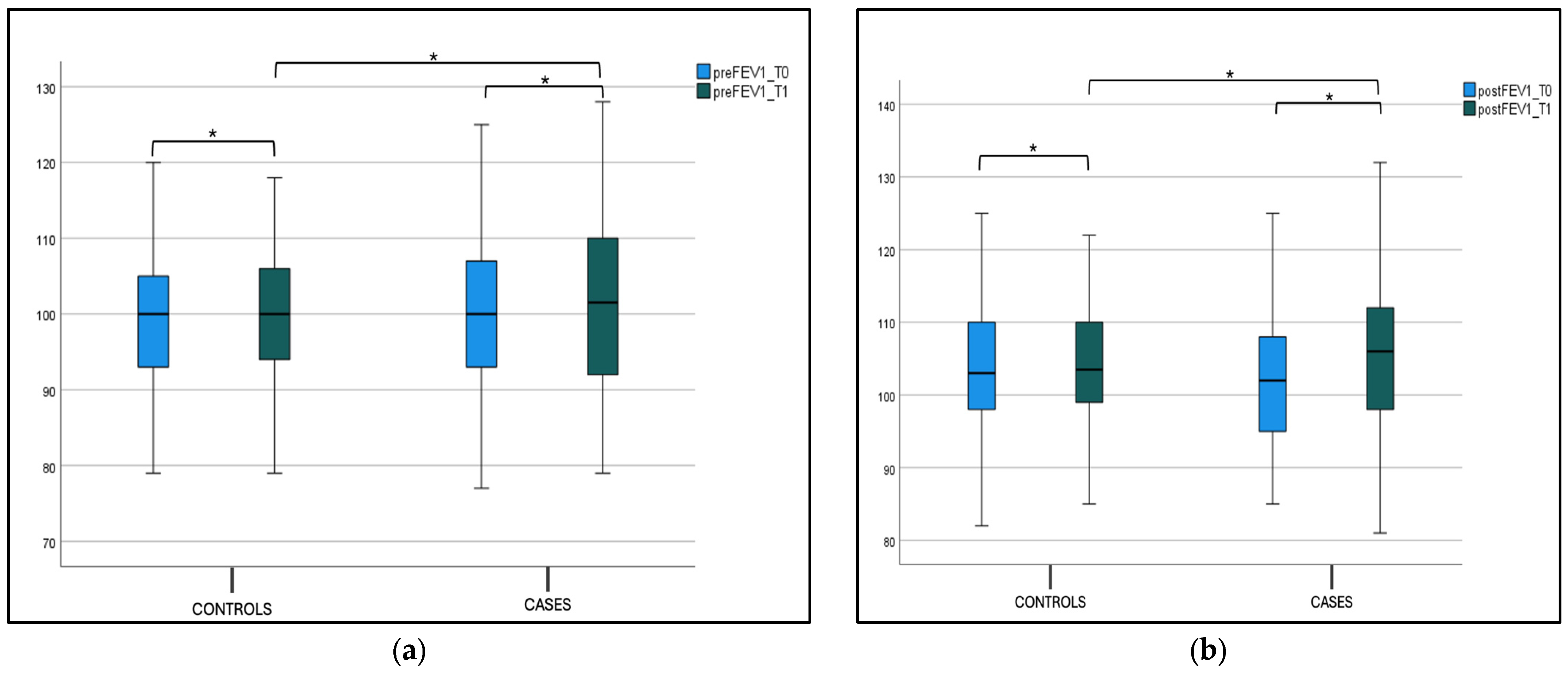
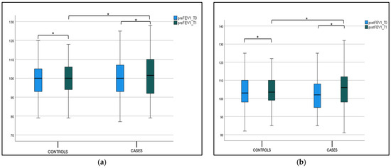
| preFEV1 | |||||
| - Control | 99.70 ± 9.38 | p = 0.763 | 99.92 ± 9.53 | p = 0.601 | p = 0.322 |
| - Case | 100.30 ± 10.46 | 101.02 ± 11.37 | p = 0.104 | ||
| Post FEV1 | |||||
| - Control | 103.24 ± 9.27 | p = 0.920 | 103.78 ± 8.40 | p = 0.423 | p = 0.382 |
| - Case | 103.44 ± 10.54 | 105.48 ± 12.34 | p = 0.067 | ||
| Exhaled FeNO | |||||
| - Control | 14.88 ± 5.43 | p = 0.987 | 14.89 ± 4.46 | p < 0.001 | p = 0.979 |
| - Case | 14.86 ± 3.79 | 10.33 ± 3.36 | p < 0.001 | ||
| Blood Eosinophils | |||||
| - Control | 5.65 ± 3.61 | p = 0.993 | 5.64 ± 3.60 | p = 0.625 | p = 0.771 |
| - Case | 5.64 ± 2.73 | 5.34 ± 2.50 | p = 0.121 | ||
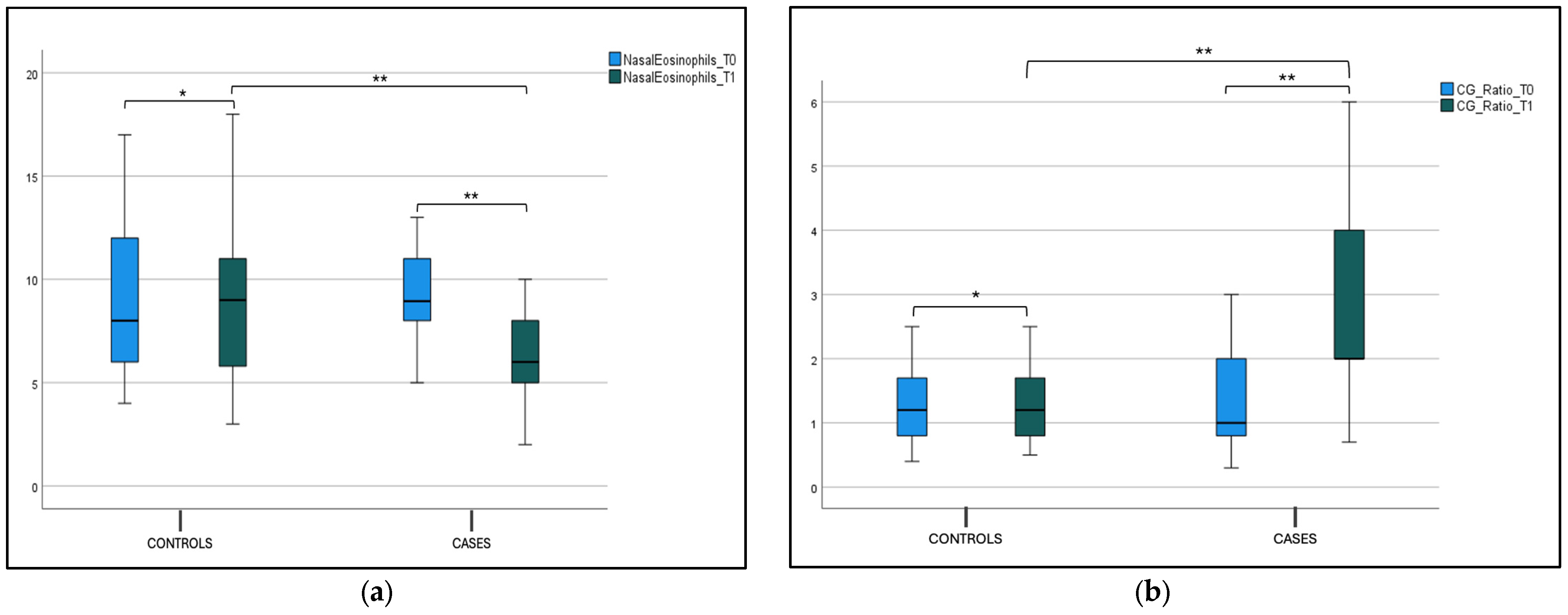
| Nasal Eosinophils | |||||
| - Control | 9.00 ± 3.64 | p = 0.739 | 9.10 ± 3.96 | p = 0.001 | p = 0.795 |
| - Case | 9.20 ± 2.16 | 6.20 ± 2.06 | p = 0.001 | ||
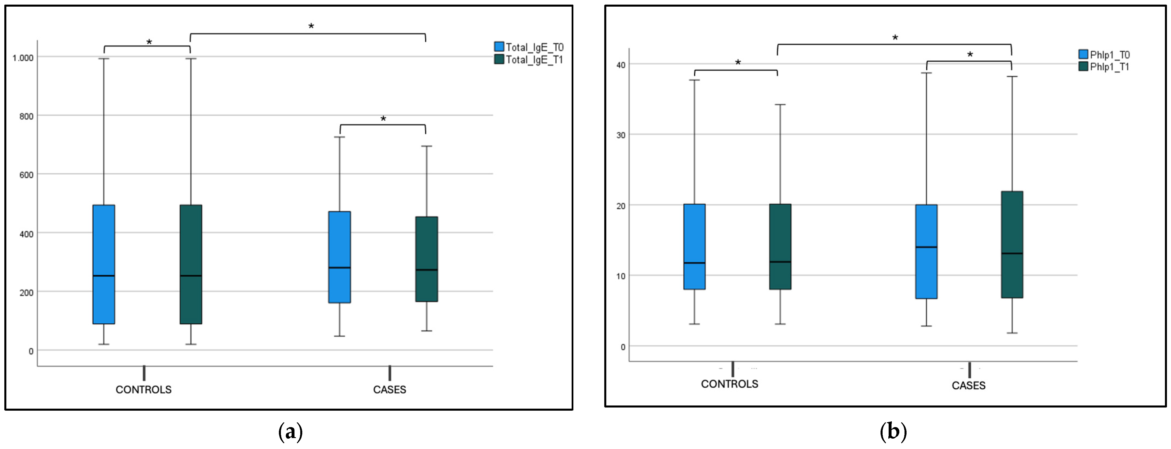
| Total IgE, Ku/L | |||||
| - Control | 322.27 ± 271.81 | p = 0.992 | 322.18 ± 271.77 | p = 0.771 | p = 0.122 |
| - Case | 322.73 ± 192.74 | 308.88 ± 172.79 | p = 0.058 | ||
| C/G Ratio | |||||
| - Control | 1.30 ± 0.60 | p = 0.938 | 1.29 ± 0.55 | p = 0.001 | p = 0.678 |
| - Case | 1.31 ± 0.68 | 2.72 ± 1.34 | p = 0.001 | ||
| Phl p1 | |||||
| - Control | 14.77 ± 9.75 | p = 0.583 | 14.63 ± 9.15 | p = 0.968 | p = 0.486 |
| - Case | 15.89 ±10.53 | 14.70 ± 9.03 | p = 0.093 | ||
Disclaimer/Publisher’s Note: The statements, opinions and data contained in all publications are solely those of the individual author(s) and contributor(s) and not of MDPI and/or the editor(s). MDPI and/or the editor(s) disclaim responsibility for any injury to people or property resulting from any ideas, methods, instructions or products referred to in the content. |
© 2025 by the authors. Licensee MDPI, Basel, Switzerland. This article is an open access article distributed under the terms and conditions of the Creative Commons Attribution (CC BY) license (https://creativecommons.org/licenses/by/4.0/).
Share and Cite
Gori, A.; Brindisi, G.; Anania, C.; Spalice, A.; Zicari, A.M. Synergic Efficacy of a Multicomponent Nutraceutical Add-On Therapy in Seasonal Allergic Rhinitis in Children: A Prospective, Randomized, Parallel-Group Study. J. Clin. Med. 2025, 14, 1517. https://doi.org/10.3390/jcm14051517
Gori A, Brindisi G, Anania C, Spalice A, Zicari AM. Synergic Efficacy of a Multicomponent Nutraceutical Add-On Therapy in Seasonal Allergic Rhinitis in Children: A Prospective, Randomized, Parallel-Group Study. Journal of Clinical Medicine. 2025; 14(5):1517. https://doi.org/10.3390/jcm14051517
Chicago/Turabian StyleGori, Alessandra, Giulia Brindisi, Caterina Anania, Alberto Spalice, and Anna Maria Zicari. 2025. "Synergic Efficacy of a Multicomponent Nutraceutical Add-On Therapy in Seasonal Allergic Rhinitis in Children: A Prospective, Randomized, Parallel-Group Study" Journal of Clinical Medicine 14, no. 5: 1517. https://doi.org/10.3390/jcm14051517
APA StyleGori, A., Brindisi, G., Anania, C., Spalice, A., & Zicari, A. M. (2025). Synergic Efficacy of a Multicomponent Nutraceutical Add-On Therapy in Seasonal Allergic Rhinitis in Children: A Prospective, Randomized, Parallel-Group Study. Journal of Clinical Medicine, 14(5), 1517. https://doi.org/10.3390/jcm14051517

