Temporal Trends in the Use of Biological Agents in Patients with Inflammatory Bowel Disease: Real-World Data from a Tertiary Inflammatory Bowel Disease Greek Center During a 5-Year Period
Abstract
1. Introduction
2. Materials and Methods
2.1. Population
2.2. Statistical Analysis
3. Results
3.1. Temporal Trends
3.2. Biosimilars
3.3. Dose Intensification
3.4. Persistence
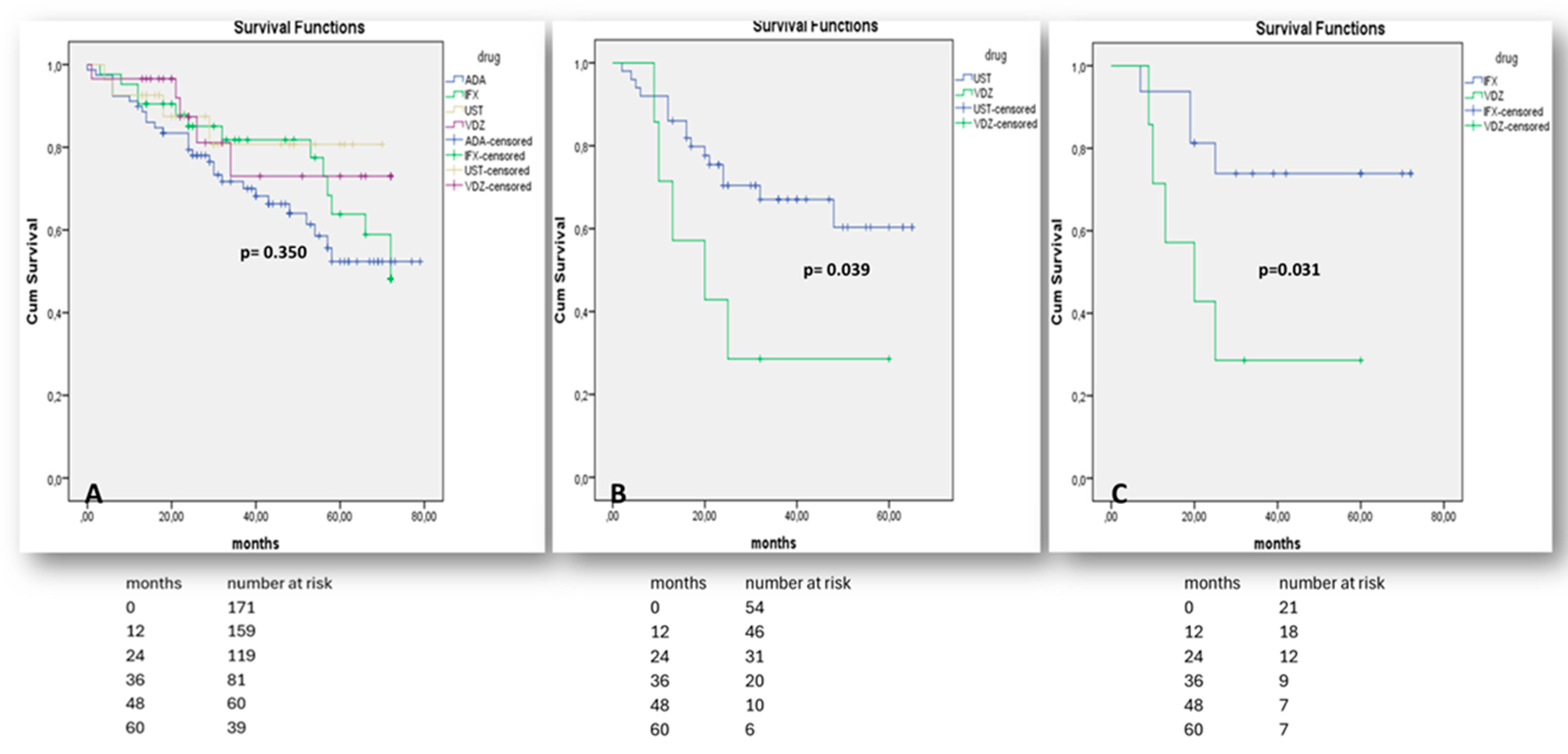
3.5. Survival Analysis
4. Discussion
5. Conclusions
Supplementary Materials
Author Contributions
Funding
Institutional Review Board Statement
Informed Consent Statement
Data Availability Statement
Conflicts of Interest
References
- Markopoulos, P.; Karmiris, K.; Dimas, I.; Voudoukis, E.; Siakavellas, S.; Axiaris, G.; Zacharopoulou, E.; Zampeli, E.; Tsironi, E.; Tzouvala, M.; et al. Efficacy of Vaccination and Revaccination Against Hepatitis B Virus Using 2 Different Strategies in Patients with Inflammatory Bowel Disease. Inflamm. Bowel Dis. 2024, izae173. [Google Scholar] [CrossRef] [PubMed]
- Krugliak Cleveland, N.; Ghosh, S.; Chastek, B.; Bancroft, T.; Candela, N.; Fan, T.; Umashankar, K.; Rubin, D.T. Real-World Persistence of Successive Biologics in Patients with Inflammatory Bowel Disease: Findings From ROTARY. Inflamm. Bowel Dis. 2023, 30, izad245. [Google Scholar] [CrossRef] [PubMed]
- Gordon, H.; Minozzi, S.; Kopylov, U.; Verstockt, B.; Chaparro, M.; Buskens, C.; Warusavitarne, J.; Agrawal, M.; Allocca, M.; Atreya, R.; et al. ECCO Guidelines on Therapeutics in Crohn’s Disease: Medical Treatment. J. Crohn’s Colitis 2024, 18, jjae091. [Google Scholar] [CrossRef] [PubMed]
- Raine, T.; Bonovas, S.; Burisch, J.; Kucharzik, T.; Adamina, M.; Annese, V.; Bachmann, O.; Bettenworth, D.; Chaparro, M.; Czuber-Dochan, W.; et al. ECCO Guidelines on Therapeutics in Ulcerative Colitis: Medical Treatment. J. Crohn’s Colitis 2022, 16, 2–17. [Google Scholar] [CrossRef] [PubMed]
- Feuerstein, J.D.; Isaacs, K.L.; Schneider, Y.; Siddique, S.M.; Falck-Ytter, Y.; Singh, S.; Chachu, K.; Day, L.; Lebwohl, B.; Muniraj, T.; et al. AGA Clinical Practice Guidelines on the Management of Moderate to Severe Ulcerative Colitis. Gastroenterology 2020, 158, 1450–1461. [Google Scholar] [CrossRef]
- Privitera, G.; Pugliese, D.; Lopetuso, L.R.; Scaldaferri, F.; Neri, M.; Guidi, L.; Gasbarrini, A.; Armuzzi, A. Novel trends with biologics in inflammatory bowel disease: Sequential and combined approaches. Therap. Adv. Gastroenterol. 2021, 14, 17562848211006669. [Google Scholar] [CrossRef]
- Juillerat, P.; Grueber, M.M.; Ruetsch, R.; Santi, G.; Vuillèmoz, M.; Michetti, P. Positioning biologics in the treatment of IBD: A practical guide—Which mechanism of action for whom? Curr. Res. Pharmacol. Drug Discov. 2022, 3, 100104. [Google Scholar] [CrossRef]
- Sands, B.E.; Peyrin-Biroulet, L.; Loftus, E.V., Jr.; Danese, S.; Colombel, J.F.; Törüner, M.; Jonaitis, L.; Abhyankar, B.; Chen, J.; Rogers, R.; et al. Vedolizumab versus Adalimumab for Moderate-to-Severe Ulcerative Colitis. N. Engl. J. Med. 2019, 381, 1215–1226. [Google Scholar] [CrossRef] [PubMed]
- Sands, B.E.; Irving, P.M.; Hoops, T.; Izanec, J.L.; Gao, L.L.; Gasink, C.; Greenspan, A.; Allez, M.; Danese, S.; Hanauer, S.B.; et al. Ustekinumab versus adalimumab for induction and maintenance therapy in biologic-naive patients with moderately to severely active Crohn’s disease: A multicentre, randomised, double-blind, parallel-group, phase 3b trial. Lancet 2022, 399, 2200–2211. [Google Scholar] [CrossRef] [PubMed]
- Maaser, C.; Sturm, A.; Vavricka, S.R.; Kucharzik, T.; Fiorino, G.; Annese, V.; Calabrese, E.; Baumgart, D.C.; Bettenworth, D.; Borralho Nunes, P.; et al. ECCO-ESGAR guideline for diagnostic assessment in IBD part 1: Initial diagnosis, monitoring of known IBD, detection of complications. J. Crohn’s Colitis 2019, 13, 144–164. [Google Scholar] [CrossRef]
- Satsangi, J.; Silverberg, M.S.; Vermeire, S.; Colombel, J. The Montreal classification of inflammatory bowel disease: Controversies, consensus, and implications. Gut 2006, 55, 749–753. [Google Scholar] [CrossRef] [PubMed] [PubMed Central]
- Koo, H.M.; Jun, Y.K.; Choi, Y.; Shin, C.M.; Park, Y.S.; Kim, N.; Lee, D.H.; Shin, Y.K.; Yoon, H. 10 years of biologic use patterns in patients with inflammatory bowel disease: Treatment persistence, switching and dose intensification—A nationwide population-based study. Ther. Adv. Gastroenterol. 2023, 16, 17562848231201728. [Google Scholar] [CrossRef] [PubMed]
- Caviglia, G.P.; Garrone, A.; Bertolino, C.; Vanni, R.; Bretto, E.; Poshnjari, A.; Tribocco, E.; Frara, S.; Armandi, A.; Astegiano, M.; et al. Epidemiology of Inflammatory Bowel Diseases: A Population Study in a Healthcare District of North-West Italy. J. Clin. Med. 2023, 12, 641. [Google Scholar] [CrossRef] [PubMed] [PubMed Central]
- Kontola, K.; Oksanen, P.; Huhtala, H.; Jussila, A. Increasing Incidence of Inflammatory Bowel Disease, with Greatest Change Among the Elderly: A Nationwide Study in Finland, 2000–2020. J. Crohn’s Colitis 2023, 17, 706–711. [Google Scholar] [CrossRef]
- Burisch, J.; Vegh, Z.; Pedersen, N.; Čuković-Čavka, S.; Turk, N.; Kaimakliotis, I.; Duricova, D.; Bortlik, M.; Shonová, O.; Thorsgaard, N.; et al. Health care and patients’ education in a European inflammatory bowel disease inception cohort: An ECCO-EpiCom study. J. Crohn’s Colitis 2014, 8, 811–818. [Google Scholar] [CrossRef]
- Collins, A.; Swift, S.; Recht, A.; Prime, R.; Topp, R.; Beltyukova, S.; Goldklang, R.; Gaylis, F. Inflammatory bowel disease risk stratification and management in a community practice setting. Gastroenterology 2022, 162, S33–S34. [Google Scholar] [CrossRef]
- Rudrapatna, V.A.; Velayos, F. Biosimilars for the Treatment of Inflammatory Bowel Disease. Pract. Gastroenterol. 2019, 43, 84–91. [Google Scholar] [PubMed] [PubMed Central]
- Allocati, E.; Godman, B.; Gobbi, M.; Garattini, S.; Banzi, R. Switching Among Biosimilars: A Review of Clinical Evidence. Front. Pharmacol. 2022, 13, 917814. [Google Scholar] [CrossRef] [PubMed] [PubMed Central]
- Biosimilars Medicines, Overview (EMA). Available online: https://www.ema.europa.eu/en/human-regulatory-overview/biosimilar-medicines-overview (accessed on 15 December 2024).
- Blanco, L.G. P277 Frequency and effectiveness of empirical anti-TNF dose intensification in Inflammatory Bowel Disease: Systematic review with meta-analysis. J. Crohn’s Colitis 2021, 15 (Suppl. S1), S309. [Google Scholar]
- Ehrenberg, R.; Griffith, J.; Theigs, C.; McDonald, B. Dose Escalation Assessment Among Targeted Immunomodulators in the Management of Inflammatory Bowel Disease. J. Manag. Care Spec. Pharm. 2020, 26, 758–765. [Google Scholar] [CrossRef] [PubMed] [PubMed Central]
- Marimahadevappa, G.K.; Limdi, J. Dose Intensification with Anti-TNF Agents in Inflammatory Bowel Disease—A Secondary Care Experience: 1687. Am. J. Gastroenterol. 2012, 107, S683. [Google Scholar] [CrossRef]
- Srinivasan, A.; Gilmore, R.; van Langenberg, D.; De Cruz, P. Systematic review and meta-analysis: Evaluating response to empiric anti-TNF dose intensification for secondary loss of response in Crohn’s disease. Ther. Adv. Gastroenterol. 2022, 15, 17562848211070940. [Google Scholar] [CrossRef] [PubMed] [PubMed Central]
- Fine, S.; Papamichael, K.; Cheifetz, A.S. Etiology and Management of Lack or Loss of Response to Anti-Tumor Necrosis Factor Therapy in Patients With Inflammatory Bowel Disease. Gastroenterol. Hepatol. 2019, 15, 656–665. [Google Scholar] [PubMed] [PubMed Central]
- Zhao, M.; Sall Jensen, M.; Knudsen, T.; Kelsen, J.; Coskun, M.; Kjellberg, J.; Burisch, J. Trends in the use of biologicals and their treatment outcomes among patients with inflammatory bowel diseases—A Danish nationwide cohort study. Aliment. Pharmacol. Ther. 2022, 55, 541–557. [Google Scholar] [CrossRef]
- Bressler, B.; Yarur, A.; Silverberg, M.S.; Bassel, M.; Bellaguarda, E.; Fourment, C.; Gatopoulou, A.; Karatzas, P.; Kopylov, U.; Michalopoulos, G.; et al. Vedolizumab and anti-tumour necrosis factor α real-world outcomes in biologic-naïve inflammatory bowel disease patients: Results from the EVOLVE Study. J. Crohn’s Colitis 2021, 15, 1694–1706. [Google Scholar] [CrossRef]
- Kapizioni, C.; Desoki, R.; Lam, D.; Balendran, K.; Al-Sulais, E.; Subramanian, S.; Rimmer, J.E.; De La Revilla Negro, J.; Pavey, H.; Pele, L.; et al. Biologic Therapy for Inflammatory Bowel Disease: Real-World Comparative Effectiveness and Impact of Drug Sequencing in 13 222 Patients within the UK IBD BioResource. J. Crohn’s Colitis 2024, 18, 790–800. [Google Scholar] [CrossRef] [PubMed] [PubMed Central]
- Pudipeddi, A.; Ko, Y.; Paramsothy, S.; Leong, R.W. Vedolizumab has longer persistence than infliximab as a first-line biological agent but not as a second-line biological agent in moderate-to-severe ulcerative. Ther. Adv. Gastroenterol. 2022, 15, 17562848221080793. [Google Scholar] [CrossRef]
- Moens, A.; Verstockt, B.; Alsoud, D.; Sabino, J.; Ferrante, M.; Vermeire, S. Translating “Results from VARSITY to Real World: Adalimumab vs Vedolizumab as First-line Biological in Moderate to Severe IBD”. Inflamm. Bowel. Dis. 2022, 28, 1135–1142. [Google Scholar] [CrossRef] [PubMed]
- Burr, N.E.; Gracie, D.J.; Black, C.J.; Ford, A.C. Efficacy of biological therapies and small molecules in moderate to severe ulcerative colitis: Systematic review and network meta-analysis. Gut 2022, 71, 1976–1987. [Google Scholar] [CrossRef]
- Peyrin-Biroulet, L.; Arkkila, P.; Armuzzi, A.; Danese, S.; Ferrante, M.; Guardiola, J.; Jahnsen, J.; Louis, E.; Lukáš, M.; Reinisch, W.; et al. Comparative efficacy and safety of subcutaneous infliximab and vedolizumab in patients with Crohn’s disease and ulcerative colitis included in randomised controlled trials. BMC Gastroenterol. 2024, 24, 121. [Google Scholar] [CrossRef]
- Biemans, V.B.; van der Woude, C.J.; Dijkstra, G.; van der Meulen-de Jong, A.E.; Löwenberg, M.; de Boer, N.K.; Oldenburg, B.; Srivastava, N.; Jansen, J.M.; Bodelier, A.G.; et al. Dutch Initiative on Crohn and Colitis (ICC). Ustekinumab is associated with superior effectiveness outcomes compared to vedolizumab in Crohn’s disease patients with prior failure to anti-TNF treatment. Aliment. Pharmacol. Ther. 2020, 52, 123–134. [Google Scholar] [CrossRef] [PubMed] [PubMed Central]
- Sharip, M.T.; Nishad, N.; Pillay, L.; Goordyal, N.; Goerge, S.; Subramanian, S. Ustekinumab or Vedolizumab after Failure of Anti-TNF Agents in Crohn’s Disease: A Review of Comparative Effectiveness Studies. J. Clin. Med. 2024, 13, 2187. [Google Scholar] [CrossRef] [PubMed] [PubMed Central]
- Hyun, H.K.; Zhang, H.S.; Yu, J.; Kang, E.A.; Park, J.; Park, S.J.; Park, J.J.; Kim, T.I.; Kim, W.H.; Cheon, J.H. Comparative effectiveness of second-line biological therapies for ulcerative colitis and Crohn’s disease in patients with prior failure of anti-tumour necrosis factor treatment. BMC Gastroenterol. 2022, 22, 143. [Google Scholar] [CrossRef] [PubMed] [PubMed Central]
- Fumery, M.; Serrero, M.; Bouguen, G.; Amiot, A.; Altwegg, R.; Nachury, M.; Vuitton, L.; Treton, X.; Caillo, L.; Pereira, B.; et al. Real-world comparison of the effectiveness between ustekinumab and vedolizumab in patients with ulcerative colitis exposed to at least one anti-TNF agent. J. Crohns Colitis 2024. Epub ahead of print.. [Google Scholar] [CrossRef] [PubMed]
- Zhang, H.; Mu, C.; Gu, Y.; Meng, F.; Qin, X.; Cao, H. Selection strategy of second-line biologic therapies in adult patients with ulcerative colitis following prior biologic treatment failure: Systematic review and meta-analysis. Pharmacol. Res. 2024, 202, 107108. [Google Scholar] [CrossRef] [PubMed]
- Calméjane, L.; Reenaers, C.; Amiot, A.; Nuzzo, A.; Vuitton, L.; Altwegg, R.; Guillo, L.; Wils, P.; Roblin, X.; Le Cosquer, G.; et al. P322 Compared Efficacy of Second-Line Treatments for Ulcerative Colitis After Failure of Vedolizumab in First-Line Treatment: A Retrospective Multicenter Study. J. Crohn’s Colitis 2024, 18 (Suppl. S1), i707. [Google Scholar] [CrossRef]
- Theodorou-Kanakari, A.; Gkolfakis, P.; Tziatzios, G.; Lazaridis, L.D.; Triantafyllou, K. Impact of COVID-19 pandemic on the healthcare and psychosocial well-being of patients with inflammatory bowel disease. Ann. Gastroenterol. 2022, 35, 103. [Google Scholar] [CrossRef]





| Mean age (years) | 39 (17–87) |
| Females (%) | 210/409 (51) |
| CD/UC (%) | 244/165 (59.6/40.4) |
| Mean disease duration (years) | 9.3 |
| Smokers (%) | 142 (34.7) |
| Disease location (%) | |
| E1/E2/E3 | 17/61/87 (10.3/36.9/52.7) |
| L1 | 126 (51.6) |
| L2 | 15 (6.1) |
| L3 | 103 (42.2) |
| L4 | 41 (16.8) |
| Disease behavior (%) | |
| B1 | 173 (70.9) |
| B2 | 57 (23.2) |
| B3 | 14 (5.7) |
| Perianal involvement (p) | 26 (10.6) |
| Extraintestinal manifestations (%) | 133 (32.5) |
| Arthritic | 95 (38.9) |
| Skin | 31 (12.7) |
| Ocular | 18 (7.3) |
| Major IBD-related surgery | 53 (12.9) |
| Biologic Treatment (1st line) (%) CD | |
| ADA | 96 (39.3) |
| IFX | 61 (27.4) |
| VDZ | 30 (12.2) |
| UST | 57 (23.3) |
| Biologic Treatment (1st line) (%) UC | |
| ADA | 15 (9) |
| IFX | 67 (40.6) |
| VDZ | 72 (43.6) |
| UST | 11 (6.6) |
| Biologic Treatment (2nd line) (%) CD | |
| ADA | 2 (2.6) |
| IFX | 16 (21.3) |
| VDZ | 7 (9.3) |
| UST | 50 (66.6) |
| Biologic Treatment (2nd line) (%) UC | |
| ADA | 4 (7) |
| IFX | 24 (42.1) |
| VDZ | 9(15.7) |
| UST | 20 (35) |
| Type of Disease | Number of Patients Undergoing Escalation | |
|---|---|---|
| IFX | ADA | |
| UC | 22/63 (34.9%) | 8/15 (53.3%) |
| Mean duration before escalation (months) | 11.55 (0–42) | 19.87 (3–46) |
| Escalation ≥ 12 months | 10/22 (45%) | 6/8 (75%) |
| LOSS OF RESPONSE | LOSS OF RESPONSE | |
| 4/10 (40%) | 2/6 (33.3%) | |
| Escalation < 12 months | 12/22 (55%) | 2/8 (25%) |
| LOSS OF RESPONSE | LOSS OF RESPONSE | |
| 11/12 (91.67%), p < 0.001 | 2/2 (100%), p < 0.001 | |
| CD | 21/58 (36.2%) | 34/95 (35.7%) |
| Mean duration before escalation (months) | 20.4 (9–60) | 18.52 (0–63) |
| Escalation ≥ 12 months | 16/21 (76.19%) | 21/34 (61.7%) |
| LOSS OF RESPONSE | LOSS OF RESPONSE | |
| 3/16 (18.7%) | 8/21 (38%) | |
| Escalation < 12 months | 5/21 (23.8%) | 13/34 (38.2%) |
| LOSS OF RESPONSE | LOSS OF RESPONSE | |
| 5/5 (100%), p < 0.001 | 8/13 (61.5%), p = 0.02 | |
Disclaimer/Publisher’s Note: The statements, opinions and data contained in all publications are solely those of the individual author(s) and contributor(s) and not of MDPI and/or the editor(s). MDPI and/or the editor(s) disclaim responsibility for any injury to people or property resulting from any ideas, methods, instructions or products referred to in the content. |
© 2025 by the authors. Licensee MDPI, Basel, Switzerland. This article is an open access article distributed under the terms and conditions of the Creative Commons Attribution (CC BY) license (https://creativecommons.org/licenses/by/4.0/).
Share and Cite
Markopoulos, P.; Gaki, A.; Kokkotis, G.; Chalakatevaki, K.; Kioulos, N.; Kitsou, V.; Tsitsigiannis, C.; Gizis, M.; Prapa, P.; Chatzinikolaou, S.-L.; et al. Temporal Trends in the Use of Biological Agents in Patients with Inflammatory Bowel Disease: Real-World Data from a Tertiary Inflammatory Bowel Disease Greek Center During a 5-Year Period. J. Clin. Med. 2025, 14, 1357. https://doi.org/10.3390/jcm14041357
Markopoulos P, Gaki A, Kokkotis G, Chalakatevaki K, Kioulos N, Kitsou V, Tsitsigiannis C, Gizis M, Prapa P, Chatzinikolaou S-L, et al. Temporal Trends in the Use of Biological Agents in Patients with Inflammatory Bowel Disease: Real-World Data from a Tertiary Inflammatory Bowel Disease Greek Center During a 5-Year Period. Journal of Clinical Medicine. 2025; 14(4):1357. https://doi.org/10.3390/jcm14041357
Chicago/Turabian StyleMarkopoulos, Panagiotis, Aikaterini Gaki, Georgios Kokkotis, Konstantina Chalakatevaki, Nikolaos Kioulos, Vasso Kitsou, Constantinos Tsitsigiannis, Michael Gizis, Paraskevi Prapa, Stamatina-Lydia Chatzinikolaou, and et al. 2025. "Temporal Trends in the Use of Biological Agents in Patients with Inflammatory Bowel Disease: Real-World Data from a Tertiary Inflammatory Bowel Disease Greek Center During a 5-Year Period" Journal of Clinical Medicine 14, no. 4: 1357. https://doi.org/10.3390/jcm14041357
APA StyleMarkopoulos, P., Gaki, A., Kokkotis, G., Chalakatevaki, K., Kioulos, N., Kitsou, V., Tsitsigiannis, C., Gizis, M., Prapa, P., Chatzinikolaou, S.-L., Laoudi, E., Koutsounas, I., & Bamias, G. (2025). Temporal Trends in the Use of Biological Agents in Patients with Inflammatory Bowel Disease: Real-World Data from a Tertiary Inflammatory Bowel Disease Greek Center During a 5-Year Period. Journal of Clinical Medicine, 14(4), 1357. https://doi.org/10.3390/jcm14041357

