Mitigating Post-Subarachnoid Hemorrhage Complications: Anti-Inflammatory and Anti-Apoptotic Effects of Anakinra in an Experimental Study
Abstract
1. Introduction
2. Materials and Methods
2.1. Animal Groups and Experimental Design
2.2. Subarachnoid Hemorrhage Induction
2.3. Biochemical Assessment
2.4. Histopathological Examination of the Basilar Artery
2.5. Immunohistochemistry
2.6. Statistical Analysis
3. Results
4. Discussion
5. Conclusions
Author Contributions
Funding
Institutional Review Board Statement
Informed Consent Statement
Data Availability Statement
Conflicts of Interest
Abbreviations
| ANA | anakinra |
| CRP | C-reactive protein |
| CSF | cerebrospinal fluid |
| FIB | fibrinogen |
| H&E | hematoxylin and eosin |
| IL | interleukin |
| SAH | subarachnoid hemorrhage |
| TNF-α | tumor necrosis factor-alpha |
References
- Spears, W.E.; Greer, D.M. Comment on the 2023 Guidelines for the Management of Patients With Aneurysmal Subarachnoid Hemorrhage. Stroke 2023, 54, 2708–2712. [Google Scholar] [CrossRef] [PubMed]
- Catalano, J.; Savage, S.; Olaussen, A.; Gantner, D.; Mitra, B. Hyperoxia and unfavourable outcome in patients with non-traumatic subarachnoid haemorrhage: A systematic review and meta-analysis. J. Clin. Neurosci. Off. J. Neurosurg. Soc. Australas. 2025, 131, 110939. [Google Scholar] [CrossRef] [PubMed]
- Hu, Z.; Deng, X.; Zhou, S.; Zhou, C.; Shen, M.; Gao, X.; Huang, Y. Pathogenic mechanisms and therapeutic implications of extracellular matrix remodelling in cerebral vasospasm. Fluids Barriers CNS 2023, 20, 81. [Google Scholar] [CrossRef] [PubMed]
- Kılıç, G.; Engin, B.E.; Halabi, A.; Tuncer, C.; Sungur, M.A.; Alpay, M.; Kurtuluş, A.; Soylu, H.; Gök, A. The Comparative Effects of Anakinra and Tocilizumab on Inflammation and Cerebral Vasospasm in an Experimental Subarachnoid Hemorrhage Model. Medicina 2024, 60, 2025. [Google Scholar] [CrossRef]
- Miller, B.A.; Turan, N. Inflammation, vasospasm, and brain injury after subarachnoid hemorrhage. BioMed Res. Int. 2014, 2014, 384342. [Google Scholar] [CrossRef] [PubMed]
- Ahn, S.-H.; Savarraj, J.P.; Parsha, K.; Hergenroeder, G.W.; Chang, T.R.; Kim, D.H.; Kitagawa, R.S.; Blackburn, S.L.; Choi, H.A. Inflammation in delayed ischemia and functional outcomes after subarachnoid hemorrhage. J. Neuroinflammation 2019, 16, 213. [Google Scholar] [CrossRef]
- Hallegua, D.S.; Weisman, M.H. Potential therapeutic uses of interleukin 1 receptor antagonists in human diseases. Ann. Rheum. Dis. 2002, 61, 960–967. [Google Scholar] [CrossRef] [PubMed]
- Dinarello, C.A.; Simon, A.; van der Meer, J.W. Treating inflammation by blocking interleukin-1 in a broad spectrum of diseases. Nat. Rev. Drug Discov. 2012, 11, 633–652. [Google Scholar] [CrossRef]
- Theobaldo, M.C.; Barbeiro, H.V.; Barbeiro, D.F.; Petroni, R.; Soriano, F.G. Hypertonic saline solution reduces the inflammatory response in endotoxemic rats. Clinics 2012, 67, 1463–1468. [Google Scholar] [CrossRef] [PubMed]
- Menzel, A.; Samouda, H.; Dohet, F.; Loap, S. Common and Novel Markers for Measuring Inflammation and Oxidative Stress Ex Vivo in Research and Clinical Practice-Which to Use Regarding Disease Outcomes? Antioxidants 2021, 10, 414. [Google Scholar] [CrossRef]
- He, Q.; Su, G.; Liu, K. Sex-specific reference intervals of hematologic and biochemical analytes in Sprague-Dawley rats using the nonparametric rank percentile method. PLoS ONE 2017, 12, e0189837. [Google Scholar] [CrossRef]
- Schwartz, A.Y.; Masago, A.; Sehba, F.A.; Bederson, J.B. Experimental models of subarachnoid hemorrhage in the rat: A refinement of the endovascular filament model. J. Neurosci. Methods 2000, 96, 161–167. [Google Scholar] [CrossRef] [PubMed]
- Galea, J.; Ogungbenro, K.; Hulme, S.; Patel, H.; Scarth, S.; Hoadley, M.; Illingworth, K.; McMahon, C.J.; Tzerakis, N.; King, A.T.; et al. Reduction of inflammation after administration of interleukin-1 receptor antagonist following aneurysmal subarachnoid hemorrhage: Results of the Subcutaneous Interleukin-1Ra in SAH (SCIL-SAH) study. J. Neurosurg. 2018, 128, 515–523. [Google Scholar] [CrossRef]
- Ono, Y.; Sato, H.; Miyazaki, T.; Fujiki, K.; Kume, E.; Tanaka, M. Quality assessment of long-term stored formalin-fixed paraffin embedded tissues for histopathological evaluation. J. Toxicol. Pathol. 2018, 31, 61–64. [Google Scholar] [CrossRef]
- Krenacs, L.; Krenacs, T.; Stelkovics, E.; Raffeld, M. Heat-induced antigen retrieval for immunohistochemical reactions in routinely processed paraffin sections. Methods Mol. Biol. 2010, 588, 103–119. [Google Scholar] [CrossRef] [PubMed]
- Romoli, M.; Giammello, F. Immunological Profile of Vasospasm after Subarachnoid Hemorrhage. Int. J. Mol. Sci. 2023, 24, 8856. [Google Scholar] [CrossRef] [PubMed]
- Gris, T.; Laplante, P.; Thebault, P.; Cayrol, R.; Najjar, A.; Joannette-Pilon, B.; Brillant-Marquis, F.; Magro, E.; English, S.W.; Lapointe, R.; et al. Innate immunity activation in the early brain injury period following subarachnoid hemorrhage. J. Neuroinflammation 2019, 16, 253. [Google Scholar] [CrossRef]
- Attuwaybi, B.; Kozar, R.A.; Gates, K.S.; Moore-Olufemi, S.; Sato, N.; Weisbrodt, N.W.; Moore, F.A. Hypertonic saline prevents inflammation, injury, and impaired intestinal transit after gut ischemia/reperfusion by inducing heme oxygenase 1 enzyme. J. Trauma 2004, 56, 749–758; discussion 758–749. [Google Scholar] [CrossRef] [PubMed]
- Hernandez, M.L.; Mills, K.; Almond, M.; Todoric, K.; Aleman, M.M.; Zhang, H.; Zhou, H.; Peden, D.B. IL-1 receptor antagonist reduces endotoxin-induced airway inflammation in healthy volunteers. J. Allergy Clin. Immunol. 2015, 135, 379–385. [Google Scholar] [CrossRef]
- Thelin, E.P.; Tajsic, T.; Zeiler, F.A.; Menon, D.K.; Hutchinson, P.J.A.; Carpenter, K.L.H.; Morganti-Kossmann, M.C.; Helmy, A. Monitoring the Neuroinflammatory Response Following Acute Brain Injury. Front. Neurol. 2017, 8, 351. [Google Scholar] [CrossRef]
- Sanicola, H.W.; Stewart, C.E.; Luther, P.; Yabut, K. Pathophysiology, Management, and Therapeutics in Subarachnoid Hemorrhage and Delayed Cerebral Ischemia: An Overview. Pathophysiology 2023, 30, 420–442. [Google Scholar] [CrossRef] [PubMed]
- Oliveira, L.B.; Batista, S.; Prestes, M.Z.; Bocanegra-Becerra, J.E.; Rabelo, N.N.; Bertani, R.; Welling, L.C.; Figueiredo, E.G. Stellate Ganglion Block in Subarachnoid Hemorrhage: A Promising Protective Measure Against Vasospasm? World Neurosurg. 2024, 182, 124–131. [Google Scholar] [CrossRef]
- Schneider, U.C.; Xu, R.; Vajkoczy, P. Inflammatory Events Following Subarachnoid Hemorrhage (SAH). Curr. Neuropharmacol. 2018, 16, 1385–1395. [Google Scholar] [CrossRef] [PubMed]
- Peterson, J.W.; Kwun, B.D.; Hackett, J.D.; Zervas, N.T. The role of inflammation in experimental cerebral vasospasm. J. Neurosurg. 1990, 72, 767–774. [Google Scholar] [CrossRef]
- İzci, E.; Keskin, F.; Kaya, B.; Yerlikaya, F.H.; Cüce, G. Effect of tocilizumab in subarachnoid hemorrhage-induced cerebral vasospasm of experimental rats. J. Health Sci. Med. 2022, 6, 699–704. [Google Scholar]
- Jost, S.C.; Diringer, M.N.; Zazulia, A.R.; Videen, T.O.; Aiyagari, V.; Grubb, R.L.; Powers, W.J. Effect of normal saline bolus on cerebral blood flow in regions with low baseline flow in patients with vasospasm following subarachnoid hemorrhage. J. Neurosurg. 2005, 103, 25–30. [Google Scholar] [CrossRef] [PubMed]
- Hussar, P. Apoptosis regulators bcl-2 and caspase-3. Encyclopedia 2022, 2, 1624–1636. [Google Scholar] [CrossRef]
- Kandemir, M.; Yaşar, N.F. The role of anakinra in the modulation of intestinal cell apoptosis and inflammatory response during ischemia/reperfusion. Turk. J. Med Sci. 2021, 51, 2177–2184. [Google Scholar] [CrossRef]
- Anantharam, V.; Kitazawa, M.; Wagner, J.; Kaul, S.; Kanthasamy, A.G. Caspase-3-dependent proteolytic cleavage of protein kinase Cdelta is essential for oxidative stress-mediated dopaminergic cell death after exposure to methylcyclopentadienyl manganese tricarbonyl. J. Neurosci. Off. J. Soc. Neurosci. 2002, 22, 1738–1751. [Google Scholar] [CrossRef]
- Zhang, A.; Zhang, Z.; Liu, Y.; Lenahan, C.; Xu, H.; Jiang, J.; Yuan, L.; Wang, L.; Xu, Y.; Chen, S.; et al. The Role of Caspase Family in Acute Brain Injury: The Potential Therapeutic Targets in the Future. Curr. Neuropharmacol. 2022, 20, 1194–1211. [Google Scholar] [CrossRef] [PubMed]
- Jacquens, A.; Needham, E.J.; Zanier, E.R. Neuro-Inflammation Modulation and Post-Traumatic Brain Injury Lesions: From Bench to Bed-Side. Int. J. Mol. Sci. 2022, 23, 11193. [Google Scholar] [CrossRef]









| Control (n = 8) | SAH (n = 8) | Saline (n = 8) | ANA (n = 8) | p | |
|---|---|---|---|---|---|
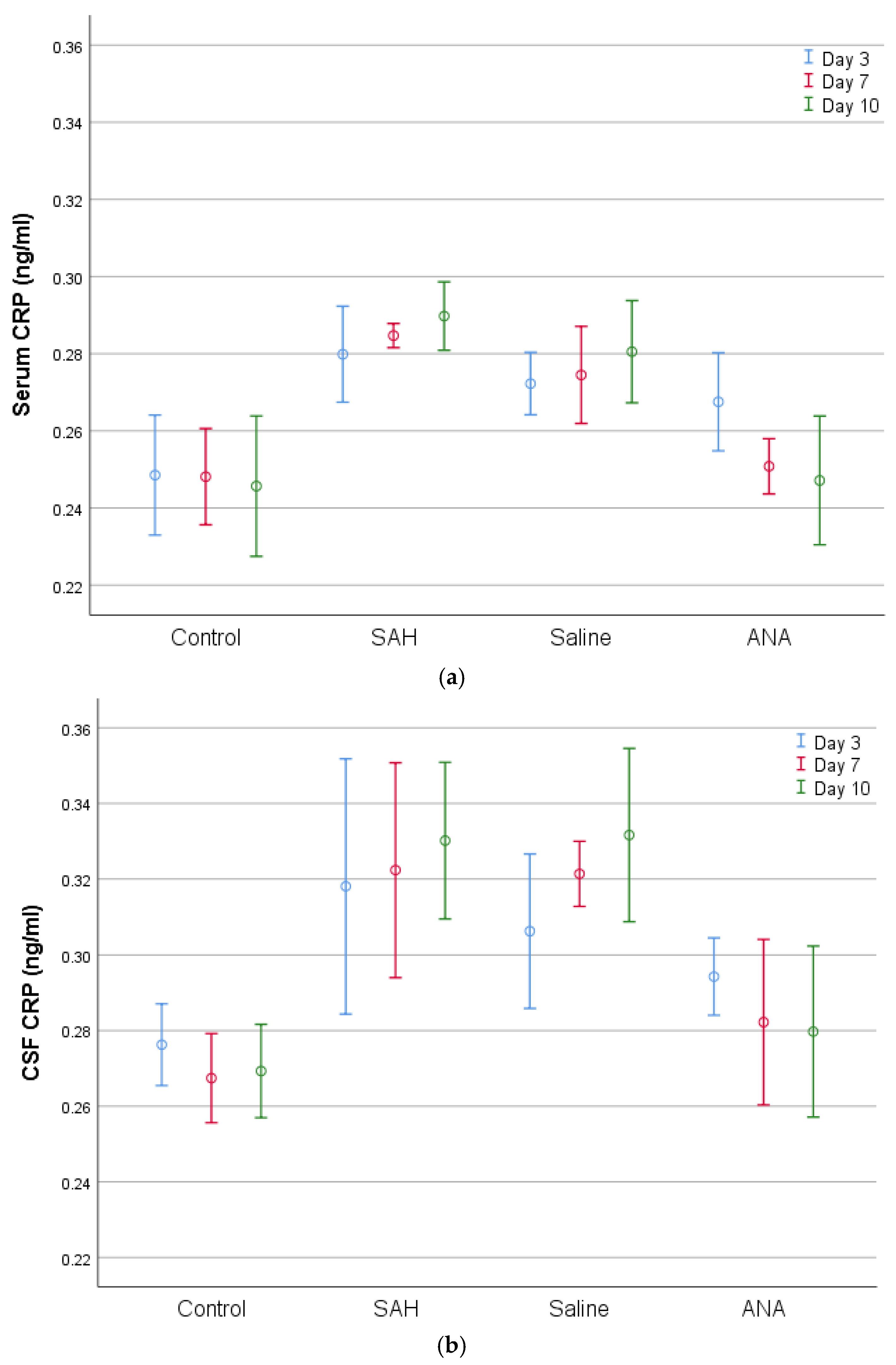
| Serum CRP (ng/mL) 3-day 7-day 10-day | 0.2485 ± 0.0186 a 0.2481 ± 0.0149 a 0.2457 ± 0.0218 a | 0.2799 ± 0.0149 b 0.2847 ± 0.0037 b 0.2898 ± 0.0106 b | 0.2722 ± 0.0097 b 0.2745 ± 0.0150 b 0.2805 ± 0.0159 b | 0.2675 ± 0.0152 ab 0.2508 ± 0.0086 a 0.2471 ± 0.0200 a | 0.002 <0.001 <0.001 |
| 0.832 | 0.283 | 0.509 | 0.060 | ||
| Serum TNF-α (ng/L) 3-day 7-day 10-day | 0.1738 ± 0.0012 a 0.1734 ± 0.0001 a 0.1733 ± 0.0002 a | 0.1835 ± 0.0005 c 0.1848 ± 0.0069 b 0.1896 ± 0.0029 c * | 0.1823 ± 0.0023 c 0.1833 ± 0.0054 b 0.1912 ± 0.0014 c ** | 0.1794 ± 0.0005 b 0.1793 ± 0.0005 ab 0.1778 ± 0.0031 b | <0.001 <0.001 <0.001 |
| 0.342 | 0.028 | 0.001 | 0.216 | ||
| Serum IL-1 (pg/mL) 3-day 7-day 10-day | 0.1155 ± 0.0027 a 0.1163 ± 0.0018 a 0.1162 ± 0.0015 a | 0.1395 ± 0.0123 b 0.1394 ± 0.0023 c 0.1420 ± 0.0017 c | 0.1350 ± 0.0133 b 0.1375 ± 0.0006 c 0.1385 ± 0.0005 b | 0.1266 ± 0.0060 ab 0.1202 ± 0.0043 b * 0.1177 ± 0.0007 a ** | <0.001 <0.001 <0.001 |
| 0.773 | 0.605 | 0.532 | <0.001 | ||
| Serum IL-6 (ng/L) 3-day 7-day 10-day | 0.2848 ± 0.0231 a 0.2862 ± 0.0315 a 0.2765 ± 0.0279 a | 0.4010 ± 0.0599 c 0.4083 ± 0.0251 b 0.4532 ± 0.0304 b** | 0.3859 ± 0.0342 bc 0.4047 ± 0.0264 b 0.4199 ± 0.0471 b | 0.3444 ± 0.0156 b 0.3194 ± 0.0503 a 0.3069 ± 0.0239 a* | <0.001 <0.001 <0.001 |
| 0.724 | 0.008 | 0.286 | 0.001 | ||
| Serum FIB (μg/mL) 3-day 7-day 10-day | 5.6477 ± 2.1642 a 5.2180 ± 2.6341 a 5.2843 ± 2.0682 a | 9.4141 ± 1.9583 b 9.6166 ± 3.0962 b 10.4136 ± 1.8353 b | 8.5889 ± 2.9554 ab 9.0495 ± 3.0433 b 9.2485 ± 1.5037 b | 7.1111 ± 1.8366 ab 6.2432 ± 2.2994 ab 6.1212 ± 2.3290 a | 0.013 0.009 <0.001 |
| 0.795 | 0.695 | 0.845 | 0.560 | ||
| CSF CRP (ng/mL) 3-day 7-day 10-day | 0.2763 ± 0.0129 a 0.2674 ± 0.0141 a 0.2693 ± 0.0148 a | 0.3181 ± 0.0403 b 0.3224 ± 0.0339 b 0.3302 ± 0.0248 b | 0.3063 ± 0.0244 ab 0.3214 ± 0.0103 b 0.3316 ± 0.0274 b | 0.2943 ± 0.0122 ab 0.2822 ± 0.0262 a 0.2797 ± 0.0271 a | 0.011 <0.001 <0.001 |
| 0.145 | 0.806 | 0.061 | 0.228 | ||
| CSF TNF-α (ng/L) 3-day 7-day 10-day | 0.1738 ± 0.0010 a 0.1745 ± 0.0002 a 0.1745 ± 0.0003 a | 0.1905 ± 0.0008 c 0.1899 ± 0.0013 c 0.1904 ± 0.0012 c | 0.1884 ± 0.0027 c 0.1888 ± 0.0011 c 0.1895 ± 0.0011 c | 0.1821 ± 0.0020 b 0.1797 ± 0.0003 b * 0.1789 ± 0.0009 b * | <0.001 <0.001 <0.001 |
| 0.074 | 0.589 | 0.528 | 0.001 | ||
| CSF IL-1 (pg/mL) 3-day 7-day 10-day | 0.1135 ± 0.0038 a 0.1113 ± 0.0016 a 0.1112 ± 0.0013 a | 0.1417 ± 0.0083 c 0.1445 ± 0.0047 c 0.1467 ± 0.0031 b | 0.1364 ± 0.0096 c 0.1399 ± 0.0045 c 0.1446 ± 0.0043 b | 0.1256 ± 0.0038 b 0.1217 ± 0.0054 b 0.1141 ± 0.0017 a ** | <0.001 <0.001 <0.001 |
| 0.152 | 0.269 | 0.091 | <0.001 | ||
| CSF IL-6 (ng/L) 3-day 7-day 10-day | 0.2991 ± 0.0289 a 0.2968 ± 0.0372 a 0.2993 ± 0.0385 a | 0.3638 ± 0.0272 b 0.3711 ± 0.0214 b 0.3738 ± 0.0235 b | 0.3559 ± 0.0235 b 0.3591 ± 0.0364 b 0.3667 ± 0.0415 b | 0.3486 ± 0.0202 b 0.3422 ± 0.0179 b 0.3335 ± 0.0354 ab | <0.001 <0.001 0.001 |
| 0.823 | 0.559 | 0.798 | 0.510 | ||
| CSF FIB (μg/mL) 3-day 7-day 10-day | 8.3261 ± 10.2630 8.1136 ± 7.0984 8.1809 ± 3.3281 | 11.7836 ± 10.6491 12.1461 ± 9.8459 12.2582 ± 6.5209 | 11.4019 ± 8.5792 11.9814 ± 8.3274 12.1738 ± 4.4240 | 10.5339 ± 9.3828 10.1589 ± 9.9960 9.1103 ± 2.2447 | 0.897 0.783 0.170 |
| 0.972 | 0.918 | 0.861 | 0.862 | ||
| Lumen Diameter (µm) | 24.3860 ± 1.2732 a | 17.5290 ± 1.5429 b | 17.6293 ± 1.1342 b | 21.5406 ± 1.7173 c | <0.001 |
| Caspase (%) | 0.4325 ± 0.1407 a | 1.1792 ± 0.1399 b | 1.1492 ± 0.2152 b | 0.7913 ± 0.1708 c | <0.001 |
Disclaimer/Publisher’s Note: The statements, opinions and data contained in all publications are solely those of the individual author(s) and contributor(s) and not of MDPI and/or the editor(s). MDPI and/or the editor(s) disclaim responsibility for any injury to people or property resulting from any ideas, methods, instructions or products referred to in the content. |
© 2025 by the authors. Licensee MDPI, Basel, Switzerland. This article is an open access article distributed under the terms and conditions of the Creative Commons Attribution (CC BY) license (https://creativecommons.org/licenses/by/4.0/).
Share and Cite
Kılıç, G.; Engin, B.E.; Halabi, A.; Tuncer, C.; Sungur, M.A.; Alpay, M.; Kurtuluş, A.; Soylu, H.; Gök, A.; Polat, Ö. Mitigating Post-Subarachnoid Hemorrhage Complications: Anti-Inflammatory and Anti-Apoptotic Effects of Anakinra in an Experimental Study. J. Clin. Med. 2025, 14, 1253. https://doi.org/10.3390/jcm14041253
Kılıç G, Engin BE, Halabi A, Tuncer C, Sungur MA, Alpay M, Kurtuluş A, Soylu H, Gök A, Polat Ö. Mitigating Post-Subarachnoid Hemorrhage Complications: Anti-Inflammatory and Anti-Apoptotic Effects of Anakinra in an Experimental Study. Journal of Clinical Medicine. 2025; 14(4):1253. https://doi.org/10.3390/jcm14041253
Chicago/Turabian StyleKılıç, Güven, Berk Enes Engin, Amir Halabi, Cengiz Tuncer, Mehmet Ali Sungur, Merve Alpay, Adem Kurtuluş, Hakan Soylu, Ali Gök, and Ömer Polat. 2025. "Mitigating Post-Subarachnoid Hemorrhage Complications: Anti-Inflammatory and Anti-Apoptotic Effects of Anakinra in an Experimental Study" Journal of Clinical Medicine 14, no. 4: 1253. https://doi.org/10.3390/jcm14041253
APA StyleKılıç, G., Engin, B. E., Halabi, A., Tuncer, C., Sungur, M. A., Alpay, M., Kurtuluş, A., Soylu, H., Gök, A., & Polat, Ö. (2025). Mitigating Post-Subarachnoid Hemorrhage Complications: Anti-Inflammatory and Anti-Apoptotic Effects of Anakinra in an Experimental Study. Journal of Clinical Medicine, 14(4), 1253. https://doi.org/10.3390/jcm14041253

