Novel Indexes in the Assessment of Cardiac Enlargement Using Chest Radiography: A New Look at an Old Problem
Abstract
1. Introduction
2. Materials and Methods
2.1. Study Group
2.2. Chest Radiography
2.3. CMR Imaging
2.4. Statistical Analysis
3. Results
3.1. Study Group
3.2. Chest X-Ray Parameters as Predictors of Cardiac Enlargement
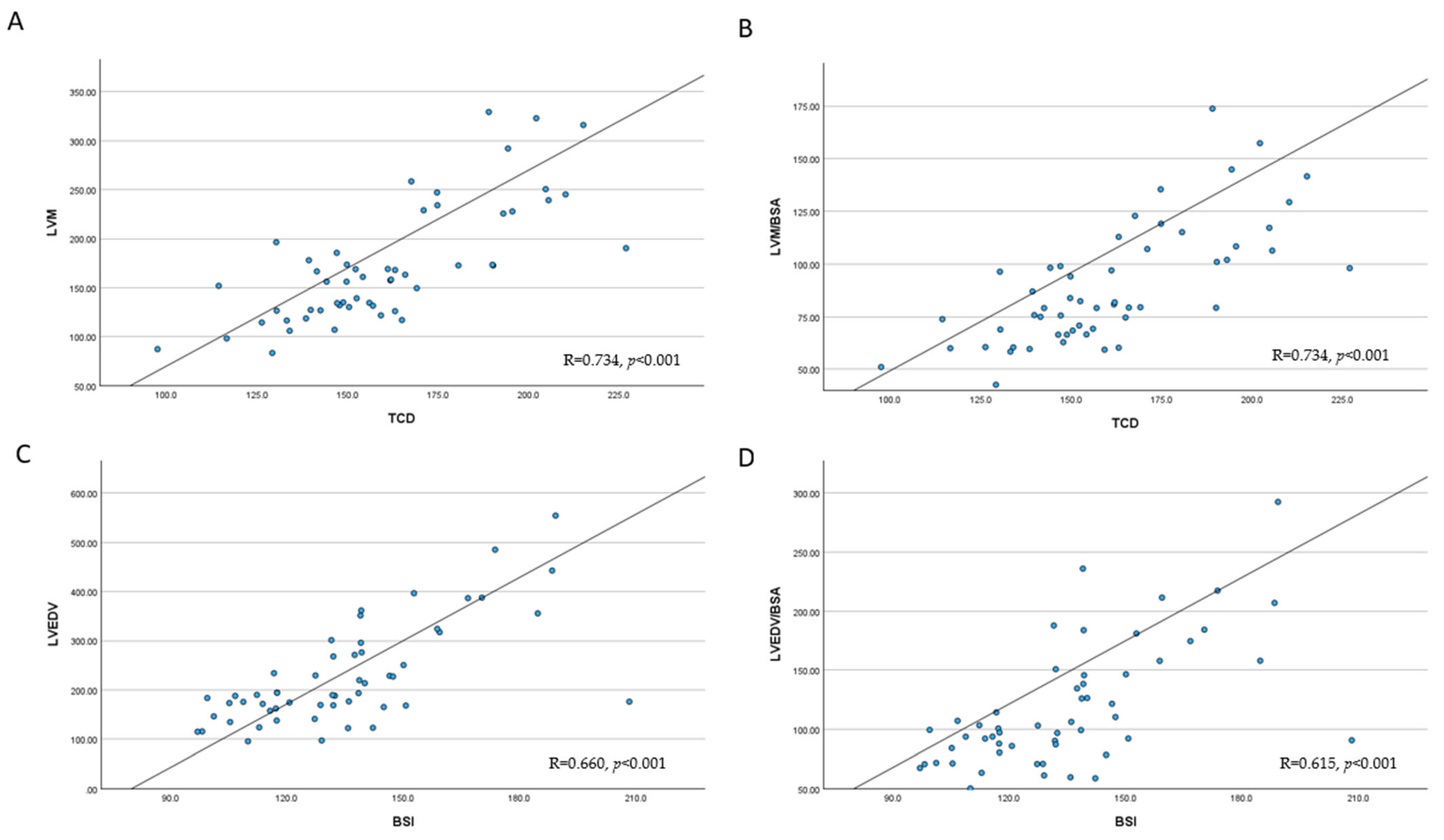
3.3. Correlations Between Chest X-Ray and LV Parameters Assessed by CMR
3.4. Associations of Chest X-Ray Parameters and LV Abnormalities Diagnosed in CMR
3.5. Specificity and Sensitivity of Chest Radiographic Parameters
4. Discussion
5. Conclusions
Author Contributions
Funding
Institutional Review Board Statement
Informed Consent Statement
Data Availability Statement
Conflicts of Interest
References
- Morales, M.A.; Prediletto, R.; Rossi, G.; Catapano, G.; Lombardi, M.; Rovai, D. Routine Chest X-ray: Still Valuable for the Assessment of Left Ventricular Size and Function in the Era of Super Machines? J. Clin. Imaging Sci. 2012, 2, 25. [Google Scholar] [CrossRef] [PubMed]
- Danzer, C. The cardiothoracic ratio: An index of cardiac enlargement. Am. J. Med. Sci. 1919, 157, 513. [Google Scholar] [CrossRef]
- Browne, R.F.; O’Reilly, G.; McInerney, D. Extraction of the two-dimensional cardiothoracic ratio from digital PA chest radiographs: Correlation with cardiac function and the traditional cardiothoracic ratio. J. Digit. Imaging 2004, 17, 120–123. [Google Scholar] [CrossRef] [PubMed][Green Version]
- Grotenhuis, H.B.; Zhou, C.; Tomlinson, G.; Isaac, K.V.; Seed, M.; Grosse-Wortmann, L.; Yoo, S.J. Cardiothoracic ratio on chest radiograph in pediatric heart disease: How does it correlate with heart volumes at magnetic resonance imaging? Pediatr. Radiol. 2015, 45, 1616–1623. [Google Scholar] [CrossRef] [PubMed]
- Wilde, P.; Callaway, M. The normal heart: Anatomy and techniques of examination. In A Textbook of Radiology and Imaging, 7th ed.; Sutton, D., Allan, P.L., Eds.; Churchill Livingstone: New York, NY, USA, 2003; pp. 265–282. [Google Scholar]
- Loomba, R.S.; Shah, P.H.; Nijhawan, K.; Aggarwal, S.; Arora, R. Cardiothoracic ratio for prediction of left ventricular dilation: A systematic review and pooled analysis. Future Cardiol. 2015, 11, 171–175. [Google Scholar] [CrossRef]
- Friedrich, M.G. The Future of Cardiovascular Magnetic Resonance Imaging. Eur. Heart J. 2017, 38, 1698–1701. [Google Scholar] [CrossRef]
- Schulz-Menger, J.; Bluemke, D.A.; Bremerich, J.; Flamm, S.D.; Fogel, M.A.; Friedrich, M.G.; Kim, R.J.; von Knobelsdorff-Brenkenhoff, F.; Kramer, C.M.; Pennell, D.J.; et al. Standardized image interpretation and post processing in cardiovascular magnetic resonance: Society for Cardiovascular Magnetic Resonance (SCMR) board of trustees task force on standardized post processing. J. Cardiovasc. Magn. Reson. 2013, 15, 35. [Google Scholar] [CrossRef]
- Bacharova, L.; Ugander, M. Left ventricular hypertrophy: The relationship between the electrocardiogram and cardiovascular magnetic resonance imaging. Ann. Noninvasive Electrocardiol. 2014, 19, 524–533. [Google Scholar] [CrossRef]
- Matusik, P.S.; Bryll, A.; Pac, A.; Popiela, T.J.; Matusik, P.T. Clinical Data, Chest Radiograph and Electrocardiography in the Screening for Left Ventricular Hypertrophy: The CAR(2)E(2) Score. J. Clin. Med. 2022, 11, 3585. [Google Scholar] [CrossRef]
- Kramer, C.M.; Barkhausen, J.; Flamm, S.D.; Kim, R.J.; Nagel, E. Standardized cardiovascular magnetic resonance (CMR) protocols 2013 update. J. Cardiovasc. Magn. Reson. 2013, 15, 91. [Google Scholar] [CrossRef]
- Matusik, P.S.; Bryll, A.; Matusik, P.T.; Popiela, T.J. Ischemic and non-ischemic patterns of late gadolinium enhancement in heart failure with reduced ejection fraction. Cardiol. J. 2021, 28, 67–76. [Google Scholar] [CrossRef] [PubMed]
- Matusik, P.S.; Bryll, A.; Matusik, P.T.; Pac, A.; Popiela, T.J. Electrocardiography and cardiac magnetic resonance imaging in the detection of left ventricular hypertrophy: The impact of indexing methods. Kardiol. Pol. 2020, 78, 889–898. [Google Scholar] [CrossRef] [PubMed]
- Petersen, S.E.; Aung, N.; Sanghvi, M.M.; Zemrak, F.; Fung, K.; Paiva, J.M.; Francis, J.M.; Khanji, M.Y.; Lukaschuk, E.; Lee, A.M.; et al. Reference ranges for cardiac structure and function using cardiovascular magnetic resonance (CMR) in Caucasians from the UK Biobank population cohort. J. Cardiovasc. Magn. Reson. 2017, 19, 18. [Google Scholar] [CrossRef] [PubMed]
- McDonagh, T.A.; Metra, M.; Adamo, M.; Gardner, R.S.; Baumbach, A.; Böhm, M.; Burri, H.; Butler, J.; Celutkiene, J.; Chioncel, O. 2023 Focused Update of the 2021 ESC Guidelines for the diagnosis and treatment of acute and chronic heart failure. Eur. Heart J. 2023, 44, 3627–3639. [Google Scholar] [CrossRef]
- Kelly, B. The chest radiograph. Ulster Med. J. 2012, 81, 143–148. [Google Scholar]
- Hunt, S.A.; Abraham, W.T.; Chin, M.H.; Feldman, A.M.; Francis, G.S.; Ganiats, T.G.; Jessup, M.; Konstam, M.A.; Mancini, D.M.; Michl, K.; et al. ACC/AHA 2005 Guideline Update for the Diagnosis and Management of Chronic Heart Failure in the Adult: A report of the American College of Cardiology/American Heart Association Task Force on Practice Guidelines (Writing Committee to Update the 2001 Guidelines for the Evaluation and Management of Heart Failure): Developed in collaboration with the American College of Chest Physicians and the International Society for Heart and Lung Transplantation: Endorsed by the Heart Rhythm Society. Circulation 2005, 112, e154–e235. [Google Scholar]
- Williams, B.; Mancia, G.; Spiering, W.; Agabiti Rosei, E.; Azizi, M.; Burnier, M.; Clement, D.L.; Coca, A.; de Simone, G.; Dominiczak, A.; et al. 2018 ESC/ESH Guidelines for the management of arterial hypertension. Eur. Heart J. 2018, 39, 3021–3104. [Google Scholar] [CrossRef]
- Matusik, P.; Dubiel, M.; Wizner, B.; Fedyk-Lukasik, M.; Zdrojewski, T.; Opolski, G.; Dubiel, J.; Grodzicki, T. Age-related gap in the management of heart failure patients. The National Project of Prevention and Treatment of Cardiovascular Diseases—POLKARD. Cardiol. J. 2012, 19, 146–152. [Google Scholar] [CrossRef]
- Clark, A.L.; Coats, A.J. Unreliability of cardiothoracic ratio as a marker of left ventricular impairment: Comparison with radionuclide ventriculography and echocardiography. Postgrad. Med. J. 2000, 76, 289–291. [Google Scholar] [CrossRef]
- Madsen, E.B.; Gilpin, E.; Slutsky, R.A.; Ahnve, S.; Henning, H.; Ross, J., Jr. Usefulness of the chest x-ray for predicting abnormal left ventricular function after acute myocardial infarction. Am. Heart J. 1984, 108, 1431–1436. [Google Scholar] [CrossRef]
- Thomas, J.T.; Kelly, R.F.; Thomas, S.J.; Stamos, T.D.; Albasha, K.; Parrillo, J.E.; Calvin, J.E. Utility of history, physical examination, electrocardiogram, and chest radiograph for differentiating normal from decreased systolic function in patients with heart failure. Am. J. Med. 2002, 112, 437–445. [Google Scholar] [CrossRef] [PubMed]
- Philbin, E.F.; Garg, R.; Danisa, K.; Denny, D.M.; Gosselin, G.; Hassapoyannes, C.; Horney, A.; Johnstone, D.E.; Lang, R.M.; Ramanathan, K. The relationship between cardiothoracic ratio and left ventricular ejection fraction in congestive heart failure. Digitalis Investigation Group. Arch. Intern. Med. 1998, 158, 501–506. [Google Scholar] [CrossRef] [PubMed][Green Version]
- Zhu, Y.; Xu, H.; Zhu, X.; Wei, Y.; Yang, G.; Tang, L.; Xu, Y. Which can predict left ventricular size and systolic function: Cardiothoracic ratio or transverse cardiac diameter. J. Xray Sci. Technol. 2015, 23, 557–565. [Google Scholar] [CrossRef] [PubMed]
- Chae, M.; Na, J.U.; Lee, J.H.; Shin, D.H. A study on computed tomography cardiothoracic ratio in predicting left ventricular systolic dysfunction. Clin. Exp. Emerg. Med. 2023, 10, 52–59. [Google Scholar] [CrossRef]
- Okute, Y.; Shoji, T.; Hayashi, T.; Kuwamura, Y.; Sonoda, M.; Mori, K.; Shioi, A.; Tsujimoto, Y.; Tabata, T.; Emoto, M. Cardiothoracic Ratio as a Predictor of Cardiovascular Events in a Cohort of Hemodialysis Patients. J. Atheroscler. Thromb. 2017, 24, 412–421. [Google Scholar] [CrossRef]
- Perez, A.A.; Ribeiro, A.L.; Barros, M.V.; de Sousa, M.R.; Bittencourt, R.J.; Machado, F.S.; Rocha, M.O. Value of the radiological study of the thorax for diagnosing left ventricular dysfunction in Chagas’ disease. Arq. Bras. Cardiol. 2003, 80, 208–213. [Google Scholar] [CrossRef]
- Garg, S.; Mittal, S.R. Status of chest X-ray in diagnosing right ventricular infarction. Int. J. Cardiol. 1996, 57, 283–285. [Google Scholar] [CrossRef]
- Mikami, T.; Kudo, T.; Hashimoto, M.; Sugawara, T.; Sakamoto, S.; Tanabe, Y.; Yasuda, H. Re-evaluation of determinants of the cardiothoracic ratio using two-dimensional echocardiography. J. Cardiol. 1988, 18, 395–402. [Google Scholar]
- Inoue, K.; Yoshii, K.; Ito, H. Effect of aging on cardiothoracic ratio in women: A longitudinal study. Gerontology 1999, 45, 53–58. [Google Scholar] [CrossRef]
- Potter, J.F.; Elahi, D.; Tobin, J.D.; Andres, R. Effect of aging on the cardiothoracic ratio of men. J. Am. Geriatr. Soc. 1982, 30, 404–409. [Google Scholar] [CrossRef]
- Curkendall, S.M.; Lanes, S.; de Luise, C.; Stang, M.R.; Jones, J.K.; She, D.; Goehring, E., Jr. Chronic obstructive pulmonary disease severity and cardiovascular outcomes. Eur. J. Epidemiol. 2006, 21, 803–813. [Google Scholar] [CrossRef] [PubMed]
- Matusik, P.; Mazur, P.; Stepien, E.; Pfitzner, R.; Sadowski, J.; Undas, A. Architecture of intraluminal thrombus removed from abdominal aortic aneurysm. J. Thromb. Thrombolysis 2010, 30, 7–9. [Google Scholar] [CrossRef] [PubMed]
- Fazzari, F.; Baggiano, A.; Fusini, L.; Ghulam Ali, S.; Gripari, P.; Junod, D.; Mancini, M.E.; Maragna, R.; Mushtaq, S.; Pontone, G.; et al. Early Biological Valve Failure: Structural Valve Degeneration, Thrombosis, or Endocarditis? J. Clin. Med. 2023, 12, 5740. [Google Scholar] [CrossRef] [PubMed]
- Porto, A.; Omnes, V.; Bartoli, M.A.; Azogui, R.; Resseguier, N.; De Masi, M.; Bal, L.; Imbert, L.; Jaussaud, N.; Morera, P.; et al. Reintervention of Residual Aortic Dissection after Type A Aortic Repair: Results of a Prospective Follow-Up at 5 Years. J. Clin. Med. 2023, 12, 2363. [Google Scholar] [CrossRef]
- Li, D.; Li, H.; Wang, Y.; Zhu, T. Pulmonary fibrosis in primary Sjogren syndrome: Computed tomography, clinical features, and associated clinical factors. Pol. Arch. Intern. Med. 2023, 133, 16394. [Google Scholar]
- Warrell, D.; Benz, E.; Cox, T.; Firth, J. Oxford Textbook of Medicine, 4th ed.; Oxford University Press: New York, NY, USA, 2003; p. 858. [Google Scholar]
- Matusik, P.T.; Heleniak, Z.; Papuga-Szela, E.; Plens, K.; Lelakowski, J.; Undas, A. Chronic Kidney Disease and Its Impact on a Prothrombotic State in Patients with Atrial Fibrillation. J. Clin. Med. 2020, 9, 2476. [Google Scholar] [CrossRef]
- Matusik, P.T.; Prior, S.M.; Butenas, S.; Malecka, B.; Lelakowski, J.; Undas, A. Association of cardiac troponin I with prothrombotic alterations in atrial fibrillation. Kardiol. Pol. 2018, 76, 1106–1109. [Google Scholar] [CrossRef]
- Matusik, P.S.; Zhong, C.; Matusik, P.T.; Alomar, O.; Stein, P.K. Neuroimaging Studies of the Neural Correlates of Heart Rate Variability: A Systematic Review. J. Clin. Med. 2023, 12, 1016. [Google Scholar] [CrossRef]
- Iwanczyk, S.; Smukowska-Gorynia, A.; Wozniak, P.; Grygier, M.; Lesiak, M.; Araszkiewicz, A. Increased endocan expression as a biomarker of endothelial dysfunction in patients with metabolic syndrome. Pol. Arch. Intern. Med. 2022, 132, 16292. [Google Scholar] [CrossRef]
- Daios, S.; Anastasiou, V.; Moysidis, D.V.; Didagelos, M.; Papazoglou, A.S.; Stalikas, N.; Zegkos, T.; Karagiannidis, E.; Skoura, L.; Kaiafa, G.; et al. Prognostic Implications of Clinical, Laboratory and Echocardiographic Biomarkers in Patients with Acute Myocardial Infarction-Rationale and Design of the “CLEAR-AMI Study”. J. Clin. Med. 2023, 12, 5726. [Google Scholar] [CrossRef]
- Raafs, A.G.; Adriaans, B.P.; Henkens, M.; Verdonschot, J.A.J.; Abdul Hamid, M.A.; Diez, J.; Knackstedt, C.; van Empel, V.P.M.; Brunner-La Rocca, H.P.; Gonzalez, A.; et al. Biomarkers of Collagen Metabolism Are Associated with Left Ventricular Function and Prognosis in Dilated Cardiomyopathy: A Multi-Modal Study. J. Clin. Med. 2023, 12, 5695. [Google Scholar] [CrossRef]





| Indexes | Definition |
|---|---|
| TCD | The transverse cardiac diameter was measured on the posterior–anterior film by drawing a vertical line through the vertebral bodies and calculating the sum of segments drawn perpendicular from the midline to the farthest edge of the cardiac silhouette in both directions. |
| TCHD | The greatest horizontal distance between the inner borders of the ribs with the chest in the mid-inspiratory position. |
| CTR 1 | TCD/TCHD |
| CTR 2 | TCD/horizontal distance between the inner borders of the ribs with the chest in the mid-inspiratory position at the level of the right diaphragm. |
| CTR 3 | TCD/horizontal distance between the inner borders of the ribs with the chest in the mid-inspiratory position at the level of the left diaphragm. |
| BSI | The BSI represents the diameter of a theoretical circle to which both the left and right heart contours are tangent. It provides a metric for the assessment of changes in the cardiac silhouette that occur with LV enlargement. Clinically, the BSI is significant as it reflects not only the transverse diameter but also the overall shape of the heart, offering a more nuanced perspective than traditional measurements such as the CTR. |
| LSI | The LSI quantifies the diameter of the circle tangent to the left-most convex contour of the heart. This index focuses on the left heart border, which is more prominently affected in cases of LV enlargement, making it particularly relevant for evaluating asymmetric cardiac enlargement. |
| LDR | The LDR is calculated as the ratio of the distance between the lower wall of the left bronchus and the left diaphragm to the TCD. This index highlights structural changes in the lower left region of the cardiac silhouette, which often occur in LV dilatation. |
| RDR | The RDR evaluates the diameter of the line connecting the upper visible right heart contour to the right diaphragm, normalized to TCD. While primarily used for symmetry assessment, this parameter can help differentiate between right- and left-sided cardiac contributions to overall enlargement. |
| IA | The IA measures the angle formed by the largest oblique diameter of the heart toward the apex and a central horizontal line. This index reflects apex displacement due to left ventricular enlargement and helps to identify changes in the orientation of the cardiac silhouette. |
| Chest X-Ray Parameters | LVM > 148 g (M) or >96 g (F) | LVM / BSA > 72 g/m2 (M) or >55 g/m2 (F) | LVEDV > 232 mL (M) or >175 mL (F) | LVEDV/BSA > 117 mL/m2 (M) or >101 mL/m2 (F) |
|---|---|---|---|---|
| TCD | 0.764 (0.002) | 0.785 (0.001) | 0.864 (<0.001) | 0.880 (<0.001) |
| TCHD | 0.637 (0.12) | 0.530 (0.735) | 0.629 (0.121) | 0.610 (0.179) |
| CTR 1 | 0.764 (0.004) | 0.853 (<0.001) | 0.859 (<0.001) | 0.882 (<0.001) |
| CTR 2 | 0.734 (0.006) | 0.840 (<0.001) | 0.855 (<0.001) | 0.872 (<0.001) |
| CTR 3 | 0.736 (0.006) | 0.844 (<0.001) | 0.859 (<0.001) | 0.879 (<0.001) |
| BSI | 0.715 (0.01) | 0.759 (0.003) | 0.861 (<0.001) | 0.896 (<0.001) |
| LSI | 0.646 (0.004) | 0.650 (0.12) | 0.795 (<0.001) | 0.757 (0.002) |
| LDR | 0.644 (0.09) | 0.637 (0.12) | 0.731 (0.005) | 0.759 (0.002) |
| RDR | 0.607 (0.21) | 0.612 (0.21) | 0.716 (0.009) | 0.743 (0.003) |
| IA | 0.633 (0.12) | 0.646 (0.1) | 0.774 (0.001) | 0.726 (0.006) |
| Chest X-Ray Parameters | LVEDV | LVEDV/BSA | LVM | LVM/BSA | LVEF | LVESV |
|---|---|---|---|---|---|---|
| TCD | 0.626 (<0.001) | 0.584 (<0.001) | 0.734 (<0.001) | 0.734 (<0.001) | −0.690 (<0.001) | 0.676 (<0.001) |
| TCHD | 0.354 (0.009) | 0.174 (0.21) | 0.590 (<0.001) | 0.401 (0.003) | −0.230 (0.09) | 0.353 (0.009) |
| CTR 1 | 0.519 (<0.001) | 0.590 (<0.001) | 0.516 (<0.001) | 0.645 (<0.001) | −0.595 (<0.001) | 0.565 (<0.001) |
| CTR 2 | 0.506 (<0.001) | 0.567 (<0.001) | 0.524 (<0.001) | 0.641 (<0.001) | −0.570 (<0.001) | 0.548 (<0.001) |
| CTR 3 | 0.517 (<0.001) | 0.580 (<0.001) | 0.510 (<0.001) | 0.634 (<0.001) | −0.596 (<0.001) | 0.572 (<0.001) |
| BSI | 0.660 (<0.001) | 0.615 (<0.001) | 0.634 (<0.001) | 0.644 (<0.001) | −0.690 (<0.001) | 0.740 (<0.001) |
| LSI | 0.552 (<0.001) | 0.448 (0.001) | 0.548 (<0.001) | 0.452 (0.001) | −0.392 (0.003) | 0.523 (<0.001) |
| LDR | −0.314 (0.02) | −0.262 (0.06) | −0.450 (0.001) | −0.461 (<0.001) | 0.463 (<0.001) | −0.432 (0.001) |
| RDR | −0.255 (0.06) | −0.227 (0.1) | −0.349 (0.01) | −0.346 (0.01) | 0.448 (<0.001) | −0.375 (0.005) |
| IA | −0.341 (0.012) | −0.329 (0.015) | −0.408 (0.002) | −0.409 (0.002) | 0.459 (<0.001)) | −0.434 (0.001) |
| Positive Chest X-Ray Criteria | LVM > 148 g (M) or > 96 g (F) (n = 37) | LVM ≤ 148 g (M) or ≤ 96 g (F) (n = 17) | McNemar Test | p-Value | ||
|---|---|---|---|---|---|---|
| TP | FN | FP | TN | |||
| CTR 1 | 16 (43.2%) | 21 (56.8%) | 0 (0.0%) | 17 (100.0%) | <0.0001 | 0.001 |
| CTR 2 | 17 (45.9%) | 20 (54.1%) | 1 (5.9%) | 16 (94.1%) | <0.0001 | 0.004 |
| CTR 3 | 17 (45.9%) | 20 (54.1%) | 0 (0.0%) | 17 (100.0%) | <0.0001 | 0.001 |
| TCD | 24 (64.9%) | 13 (35.1%) | 5 (29.4%) | 12 (70.6%) | 0.1 | 0.02 |
| BSI | 21 (56.8%) | 16 (43.2%) | 2 (11.8%) | 15 (88.2%) | 0.001 | 0.002 |
| TCD and BSI | 24 (64.9%) | 13 (35.1%) | 6 (35.3%) | 11 (64.7%) | 0.17 | 0.04 |
| Positive Chest X-Ray Criteria | LVM / BSA > 72 g/m2 (M) or >55 g/m2 (F) (n = 39) | LVM / BSA ≤ 72 g/m2 (M) or ≤55 g/m2 (F) (n = 15) | McNemar Test | p-Value | ||
|---|---|---|---|---|---|---|
| TP | FN | FP | TN | |||
| CTR 1 | 16 (41.0%) | 23 (59.0%) | 0 (0.0%) | 15 (100.0%) | <0.0001 | 0.003 |
| CTR 2 | 17 (43.6%) | 22 (56.4%) | 1 (6.7%) | 14 (93.3%) | <0.0001 | 0.01 |
| CTR 3 | 17 (43.6%) | 22 (56.4%) | 0 (0.0%) | 15 (100.0%) | <0.0001 | 0.002 |
| TCD | 26 (66.7%) | 13 (33.3%) | 3 (20.0%) | 12 (80.0%) | 0.02 | 0.002 |
| BSI | 22 (56.4%) | 17 (43.6%) | 1 (6.7%) | 14 (93.3%) | <0.0001 | 0.001 |
| TCD and BSI | 27 (69.2%) | 12 (30.8%) | 3 (20.0%) | 12 (80.0%) | 0.04 | 0.001 |
| Positive Chest X-Ray Criteria | LVEDV > 232 mL (M) or >175 mL (F) (n = 19) | LVEDV ≤ 232 mL (M) or ≤175 mL (F) (n = 35) | McNemar Test | p-Value | ||
|---|---|---|---|---|---|---|
| TP | FN | FP | TN | |||
| CTR 1 | 14 (73.7%) | 5 (26.3%) | 2 (5.7%) | 33 (94.3%) | 0.45 | <0.0001 |
| CTR 2 | 14 (73.7%) | 5 (26.3%) | 4 (11.4%) | 31 (88.6%) | 1 | <0.0001 |
| CTR 3 | 14 (73.7%) | 5 (26.3%) | 3 (8.6%) | 32 (91.4%) | 0.73 | <0.0001 |
| TCD | 16 (84.2%) | 3 (15.8%) | 13 (37.1%) | 22 (62.9%) | 0.02 | 0.001 |
| BSI | 15 (78.9%) | 4 (21.1%) | 8 (22.9%) | 27 (77.1%) | 0.4 | <0.0001 |
| TCD and BSI | 16 (84.2%) | 3 (15.8%) | 14(40.0%) | 21 (60.0%) | 0.01 | 0.002 |
| Positive Chest X-Ray Criteria | LVEDV/BSA > 117 mL/m2 (M) or >101 mL/m2 (F) (n = 20) | LVEDV/BSA ≤ 117 mL/m2 (M) or ≤101 mL/m2 (F) (n = 34) | McNemar Test | p-Value | ||
|---|---|---|---|---|---|---|
| TP | FN | FP | TN | |||
| CTR 1 | 14 (70.0%) | 6 (30.0%) | 2 (5.9%) | 32 (94.1%) | 0.29 | <0.0001 |
| CTR 2 | 14 (70.0%) | 6 (30.0%) | 4 (11.8%) | 30 (88.2%) | 0.75 | <0.0001 |
| CTR 3 | 14 (70.0%) | 6 (30.0%) | 3 (8.8%) | 31 (91.2%) | 0.51 | <0.0001 |
| TCD | 17 (85.0%) | 3 (15.0%) | 12 (35.3%) | 22 (64.7%) | 0.04 | <0.0001 |
| BSI | 17 (85.0%) | 3 (15.0%) | 6 (17.6%) | 28 (82.4%) | 0.51 | <0.0001 |
| TCD and BSI | 18 (90.0%) | 2 (10.0%) | 12 (35.3%) | 22 (64.7%) | 0.01 | <0.0001 |
| Chest X-Ray Parameters | Sensitivity, % | Specificity, % | PPV, % | PNV, % | Accuracy, % | PLR | NLR |
|---|---|---|---|---|---|---|---|
| CTR 1 | 41.0 (25.6–57.9) | 100.0 (78.2–100.0) | 100.0 * | 39.5 (33.4–45.9) | 57.4 (43.2–70.8) | * | 0.6 (0.5–0.8) |
| CTR 2 | 43.6 (27.8–60.4) | 93.3 (68.1–99.8) | 94.4 (71.2–99.2) | 38.9 (31.9–46.4) | 57.4 (43.2–70.8) | 6.5 (1.0–44.9) | 0.6 (0.4–0.8) |
| CTR 3 | 43.6 (27.8–60.4) | 100.0 (78.2–100.0) | 100.0 * | 40.5 (34.1–47.3) | 59.3 (45.0–72.4) | * | 0.6 (0.4–0.7) |
| TCD | 66.7 (49.8–80.9) | 80.0 (51.9–95.7) | 89.7 (75.5–96.1) | 48.0 (35.6–60.6) | 70.4 (56.4–82.0) | 3.3 (1.2–9.4) | 0.4 (0.3–0.7) |
| BSI > 137.5 | 56.4 (39.6–72.2) | 93.3 (68.1–99.8) | 95.7 (76.5–99.3) | 45.2 (36.0–54.7) | 66.7 (52.5–78.9) | 8.5 (1.3–57.3) | 0.5 (0.3–0.7) |
| TCD and BSI | 69.2 (52.4–83.0) | 80.0 (51.9–95.7) | 90.0 (76.2–96.2) | 50.0 (37.0–63.1) | 3.5 (1.2–9.7) | 0.4 (0.2–0.7) | 0.4 (0.3–0.7) |
| Chest X-Ray Parameters | Sensitivity, % | Specificity, % | PPV, % | PNV, % | Accuracy, % | PLR | NLR |
|---|---|---|---|---|---|---|---|
| CTR 1 | 70.0 (45.7–88.1) | 94.1 (80.3–99.3) | 87.5 (63.9–96.5) | 84.2 (73.1–91.3) | 85.2 (72.9–93.4) | 11.9 (3.0–47.1) | 0.3 (0.2–0.6) |
| CTR 2 | 70.0 (45.7–88.1) | 88.2 (72.6–96.7) | 77.8 (57.2–90.2) | 83.3 (71.7–90.8) | 81.5 (68.6–90.8) | 6.0 (2.3–15.6) | 0.3 (0.2–0.7) |
| CTR 3 | 70.0 (45.7–88.1) | 91.2 (76.3–98.1) | 82.4 (60.4–93.5) | 83.4 (72.4–91.1) | 83.3 (70.7–92.1) | 7.9 (2.6–24.3) | 0.3 (0.2–0.7) |
| TCD | 85.0 (62.1–96.8) | 64.7 (46.5–80.3) | 58.6 (46.4–69.8) | 88.0 (71.5–95.5) | 72.2 (58.4–83.5) | 2.4 (1.5–3.9) | 0.2 (0.1–0.7) |
| BSI > 137.5 | 85.0 (62.1–96.8) | 82.4 (65.5–93.2) | 73.9 (57.3–85.7) | 90.3 (76.5–96.4) | 83.3 (70.7–92.1) | 4.8 (2.3–10.2) | 0.2 (0.1–05) |
| TCD and BSI | 90.0 (68.3–98.8) | 64.7 (46.5–80.3) | 60.0 (48.2–70.8) | 91.7 (74.3–97.7) | 74.1 (60.4–85.0) | 2.6 (1.6–4.1) | 0.2 (0.04–0.6) |
| Metric for LVM/BSA | High (≥80%) | Moderate (50–79%) | Low (<50%) |
|---|---|---|---|
| Sensitivity | TCD, TCD + BSI | BSI, CTR 2, CTR 3 | CTR 1 |
| Specificity | CTR 1, CTR 2, CTR 3, BSI | TCD, TCD + BSI | None |
| Metric for LVEDV/BSA | High (≥80%) | Moderate (50–79%) | Low (<50%) |
| Sensitivity | TCD, BSI, TCD + BSI | CTR 1, CTR 2, CTR 3 | None |
| Specificity | CTR 1, CTR 2, CTR 3, BSI | TCD, TCD + BSI | None |
Disclaimer/Publisher’s Note: The statements, opinions and data contained in all publications are solely those of the individual author(s) and contributor(s) and not of MDPI and/or the editor(s). MDPI and/or the editor(s) disclaim responsibility for any injury to people or property resulting from any ideas, methods, instructions or products referred to in the content. |
© 2025 by the authors. Licensee MDPI, Basel, Switzerland. This article is an open access article distributed under the terms and conditions of the Creative Commons Attribution (CC BY) license (https://creativecommons.org/licenses/by/4.0/).
Share and Cite
Matusik, P.S.; Popiela, T.J.; Matusik, P.T. Novel Indexes in the Assessment of Cardiac Enlargement Using Chest Radiography: A New Look at an Old Problem. J. Clin. Med. 2025, 14, 942. https://doi.org/10.3390/jcm14030942
Matusik PS, Popiela TJ, Matusik PT. Novel Indexes in the Assessment of Cardiac Enlargement Using Chest Radiography: A New Look at an Old Problem. Journal of Clinical Medicine. 2025; 14(3):942. https://doi.org/10.3390/jcm14030942
Chicago/Turabian StyleMatusik, Patrycja S., Tadeusz J. Popiela, and Paweł T. Matusik. 2025. "Novel Indexes in the Assessment of Cardiac Enlargement Using Chest Radiography: A New Look at an Old Problem" Journal of Clinical Medicine 14, no. 3: 942. https://doi.org/10.3390/jcm14030942
APA StyleMatusik, P. S., Popiela, T. J., & Matusik, P. T. (2025). Novel Indexes in the Assessment of Cardiac Enlargement Using Chest Radiography: A New Look at an Old Problem. Journal of Clinical Medicine, 14(3), 942. https://doi.org/10.3390/jcm14030942

