Exploring Biomarkers to Predict Thrombogenic Risk in Pregnancy
Abstract
1. Introduction
2. Materials and Methods
Statistical Analysis
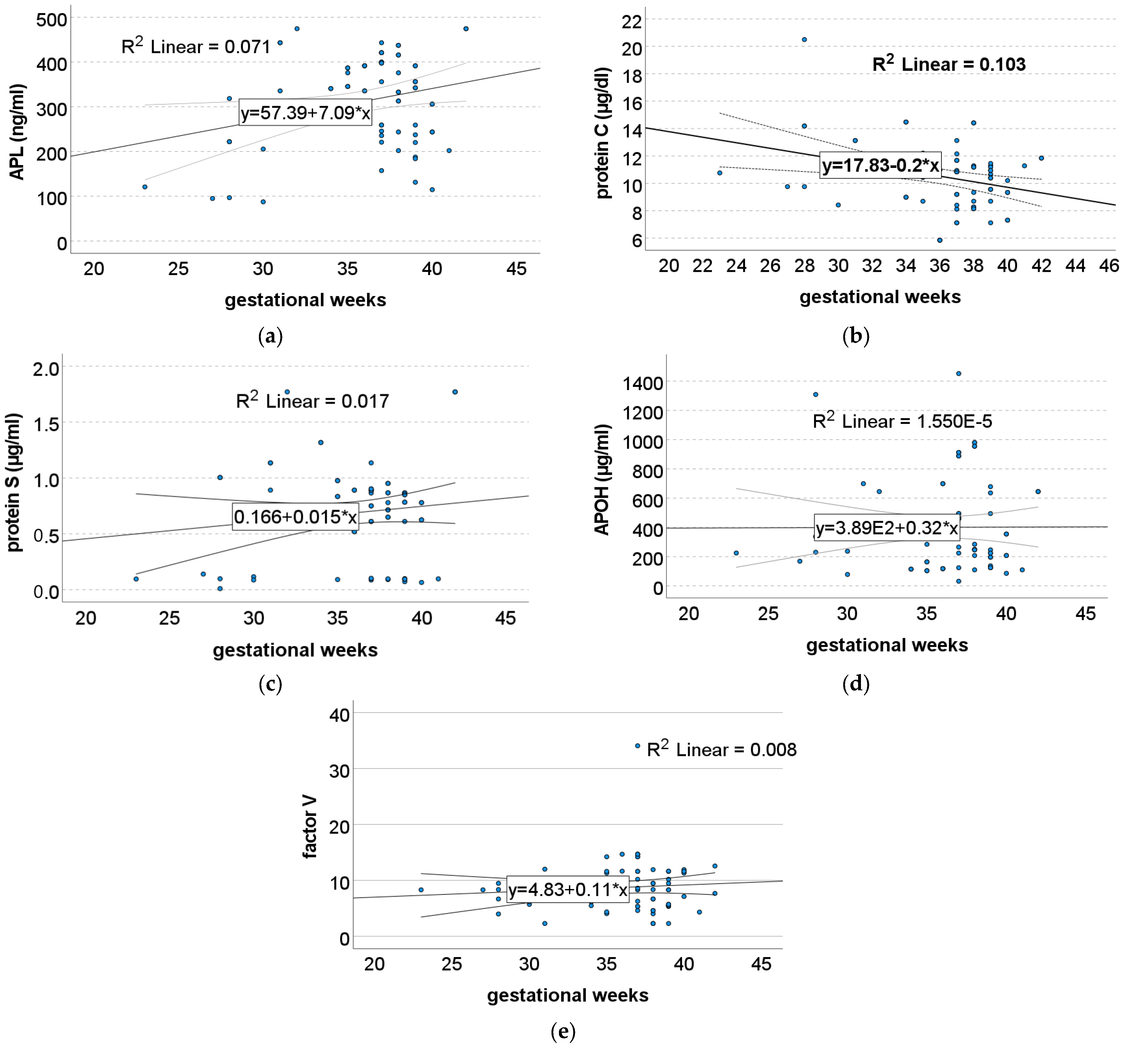
3. Results
4. Discussion
5. Conclusions
Author Contributions
Funding
Institutional Review Board Statement
Informed Consent Statement
Data Availability Statement
Conflicts of Interest
References
- Tchaikovski, S.N.; Thomassen, M.C.; Costa, S.D.; Peeters, L.L.; Rosing, J. Role of protein S and tissue factor pathway inhibitor in the development of activated protein C resistance early in pregnancy in women with a history of preeclampsia. Thromb. Haemost. 2011, 106, 914–921. [Google Scholar] [CrossRef] [PubMed]
- Devis, P.; Knuttinen, M.G. Deep venous thrombosis in pregnancy: Incidence, pathogenesis and endovascular management. Cardiovasc. Diagn. Ther. 2017, 7, S309–S319. [Google Scholar] [CrossRef]
- Badulescu, O.V.; Sirbu, P.D.; Filip, N.; Bordeianu, G.; Cojocaru, E.; Budacu, C.C.; Badescu, M.C.; Bararu-Bojan, I.; Veliceasa, B.; Ciocoiu, M. Hereditary Thrombophilia in the Era of COVID-19. Healthcare 2022, 10, 993. [Google Scholar] [CrossRef]
- Thibord, F.; Klarin, D.; Brody, J.A.; Chen, M.H.; Levin, M.G.; Chasman, D.I.; Goode, E.L.; Hveem, K.; Teder-Laving, M.; Martinez-Perez, A.; et al. Cross-Ancestry Investigation of Venous Thromboembolism Genomic Predictors. Circulation 2022, 146, 1225–1242. [Google Scholar] [CrossRef]
- Zhang, Z.; Li, H.; Weng, H.; Zhou, G.; Chen, H.; Yang, G.; Zhang, P.; Zhang, X.; Ji, Y.; Ying, K.; et al. China pUlmonary Thromboembolism REgistry Study (CURES) investigators. Genome-wide association analyses identified novel susceptibility loci for pulmonary embolism among Han Chinese population. BMC Med. 2023, 21, 153. [Google Scholar] [CrossRef] [PubMed]
- Martinelli, I.; Bucciarelli, P.; Mannucci, P.M. Thrombotic risk factors: Basic pathophysiology. Crit. Care Med. 2010, 38, S3–S9. [Google Scholar] [CrossRef]
- De Jong, P.G.; Coppens, M.; Middeldorp, S. Duration of anticoagulant therapy for venous thromboembolism: Balancing benefits and harms on the long term. Br. J. Haematol. 2012, 158, 433–441. [Google Scholar] [CrossRef] [PubMed]
- Ghouse, J.; Tragante, V.; Ahlberg, G.; Rand, S.A.; Jespersen, J.B.; Leinøe, E.B.; Vissing, C.R.; Trudsø, L.; Jonsdottir, I.; Banasik, K.; et al. Genome-wide meta-analysis identifies 93 risk loci and enables risk prediction equivalent to monogenic forms of venous thromboembolism. Nat. Genet. 2023, 55, 399–409. [Google Scholar] [CrossRef]
- Todor, S.B.; Ichim, C.; Boicean, A.; Mihaila, R.G. Cardiovascular Risk in Philadelphia-Negative Myeloproliferative Neoplasms: Mechanisms and Implications—A Narrative Review. Curr. Issues Mol. Biol. 2024, 46, 8407–8423. [Google Scholar] [CrossRef] [PubMed]
- Marik, P.E.; Plante, L.A. Venous thromboembolic disease and pregnancy. N. Engl. J. Med. 2008, 359, 2025–2033. [Google Scholar] [CrossRef]
- Shimonishi, N.; Ogiwara, K.; Yoshida, J.; Horie, K.; Nakajima, Y.; Furukawa, S.; Takeyama, M.; Nogami, K. Impaired factor V-related anticoagulant mechanisms and deep vein thrombosis associated with A2086D and W1920R mutations. Blood Adv. 2023, 7, 2831–2842. [Google Scholar] [CrossRef] [PubMed]
- Filip, C.; Socolov, D.G.; Albu, E.; Filip, C.; Serban, R.; Popa, R.F. Serological Parameters and Vascular Investigation for a Better Assessment in DVT during Pregnancy—A Systematic Review. Medicina 2021, 57, 160. [Google Scholar] [CrossRef] [PubMed]
- Yuan, X.; Gao, Y.; Zhang, M.; Long, W.; Liu, J.; Wang, H.; Yu, B.; Xu, J. Fibrin/fibrinogen degradation products in late pregnancy promote macrosomia prediction in normal uncomplicated pregnancy. Placenta 2020, 96, 27–33. [Google Scholar] [CrossRef] [PubMed]
- Dong, J.; Duan, X.; Feng, R.; Zhao, Z.; Feng, X.; Lu, Q.; Jing, Q.; Zhou, J.; Bao, J.; Jing, Z. Diagnostic implication of fibrin degradation products and D-dimer in aortic dissection. Sci. Rep. 2017, 7, 43957. [Google Scholar] [CrossRef] [PubMed]
- Weisel, J.W.; Litvinov, R.I. Fibrin Formation, Structure and Properties. Subcell. Biochem. 2017, 82, 405–456. [Google Scholar] [CrossRef] [PubMed]
- Bellesini, M.; Robert-Ebadi, H.; Combescure, C.; Dedionigi, C.; Le Gal, G.; Righini, M. D-dimer to rule out venous thromboembolism during pregnancy: A systematic review and meta-analysis. J. Thromb. Haemost. 2021, 19, 2454–2467. [Google Scholar] [CrossRef]
- Gierula, M.; Ahnström, J. Anticoagulant protein S—New insights on interactions and functions. J. Thromb. Haemost. 2020, 18, 2801–2811. [Google Scholar] [CrossRef] [PubMed]
- Hughes, G.R. The antiphospholipid syndrome: Ten years on. Lancet 1993, 342, 341–344. [Google Scholar] [CrossRef] [PubMed]
- Di Prima, F.A.; Valenti, O.; Hyseni, E.; Giorgio, E.; Faraci, M.; Renda, E.; De Domenico, R.; Monte, S. Antiphospholipid Syndrome during pregnancy: The state of the art. J. Prenat. Med. 2011, 5, 41–53. [Google Scholar]
- Gómez-Puerta, J.A.; Cervera, R. Diagnosis and classification of the antiphospholipid syndrome. J. Autoimmun. 2014, 48–49, 20–25. [Google Scholar] [CrossRef] [PubMed]
- McDonnell, T.; Wincup, C.; Buchholz, I.; Pericleous, C.; Giles, I.; Ripoll, V.; Cohen, H.; Delcea, M.; Rahman, A. The role of beta-2-glycoprotein I in health and disease associating structure with function: More than just APS. Blood Rev. 2020, 39, 100610. [Google Scholar] [CrossRef]
- Fu, M.; Liu, J.; Xing, J.; Xing, J.; Dai, Y.; Ding, Y.; Dong, K.; Zhang, X.; Yuan, E. Reference intervals for coagulation parameters in non-pregnant and pregnant women. Sci. Rep. 2022, 12, 1519. [Google Scholar] [CrossRef] [PubMed]
- Wada, H.; Sakuragawa, N. Are fibrin-related markers useful for the diagnosis of thrombosis? Semin. Thromb. Hemost. 2008, 34, 33–38. [Google Scholar] [CrossRef]
- Wang, W.; Long, K.; Deng, F.; Ye, W.; Zhang, P.; Chen, X.; Dong, W.; Zheng, P.; Zhang, X.; Yang, T.; et al. Changes in levels of coagulation parameters in different trimesters among Chinese pregnant women. J. Clin. Lab. Anal. 2021, 35, e23724. [Google Scholar] [CrossRef]
- Killian, M.; van Mens, T.E. Risk of Thrombosis, Pregnancy Morbidity or Death in Antiphospholipid Syndrome. Front. Cardiovasc. Med. 2022, 9, 852777. [Google Scholar] [CrossRef]
- Sailer, T.; Zoghlami, C.; Kurz, C.; Rumpold, H.; Quehenberger, P.; Panzer, S.; Pabinger, I. Anti-beta2-glycoprotein I antibodies are associated with pregnancy loss in women with the lupus anticoagulant. Thromb. Haemost. 2006, 95, 796–801. [Google Scholar] [CrossRef] [PubMed]
- Ruffatti, A.; Del Ross, T.; Ciprian, M.; Nuzzo, M.; Rampudda, M.; Bertero, M.T.; Bergia, R.; Caramaschi, P.; Biasi, D.; Capsoni, F.; et al. Risk factors for a first thrombotic event in antiphospholipid antibody carriers. A multicentre, retrospective follow-up study. Ann. Rheum. Dis. 2009, 68, 397–399. [Google Scholar] [CrossRef] [PubMed]
- Boffa, M.C.; Boinot, C.; De Carolis, S.; Rovere-Querini, P.; Aurousseau, M.H.; Allegri, F.; Nicaise-Roland, P.; Barra, A.; Botta, A.; Ambrozic, A.; et al. Laboratory criteria of the obstetrical antiphospholipid syndrome. Data from a multicentric prospective European women cohort. Thromb. Haemost. 2009, 102, 25–28. [Google Scholar] [CrossRef] [PubMed]
- Simchen, M.J.; Dulitzki, M.; Rofe, G.; Shani, H.; Langevitz, P.; Schiff, E.; Pauzner, R. High positive antibody titers and adverse pregnancy outcome in women with antiphospholipid syndrome. Acta Obstet. Gynecol. Scand. 2011, 90, 1428–1433. [Google Scholar] [CrossRef] [PubMed]
- Serrano, M.; Espinosa, G.; Lalueza, A.; Bravo-Gallego, L.Y.; Diaz-Simón, D.; Garcinuño, S.; Gil-Etayo, J.; Moises, J.; Naranjo, L.; Prieto-González, S.; et al. Beta-2-Glycoprotein-I Deficiency Could Precipitate an Antiphospholipid Syndrome-like Prothrombotic Situation in Patients with Coronavirus Disease 2019. ACR Open Rheumatol. 2021, 3, 267–276. [Google Scholar] [CrossRef] [PubMed]
- Willems, G.M.; Janssen, M.P.; Pelsers, M.M.; Comfurius, P.; Galli, M.; Zwaal, R.F.; Bevers, E.M. Role of divalency in the highaffinity binding of anticardiolipin antibody β2-glycoprotein I complexes to lipid membranes. Biochemistry 1996, 35, 13833–13842. [Google Scholar] [CrossRef]
- Bouma, B.; de Groot, P.G.; van den Elsen, J.M.; Ravelli, R.B.; Schouten, A.; Simmelink, M.J. Adhesion mechanism of human beta(2)-glycoprotein I to phospholipids based on its crystal structure. EMBO J. 1999, 18, 5166–5174. [Google Scholar] [CrossRef] [PubMed]
- Rioche, M.; Masseyeff, R. Synthesis of plasma beta 2 glycoprotein I by human hepatoma cells in tissue culture. Biomedicine 1974, 21, 420–423. [Google Scholar] [PubMed]
- Borchman, D.; Harris, E.N.; Pierangeli, S.S.; Lamba, O.P. Interactions and molecular structure of cardiolipin and beta 2-glycoprotein 1 (beta 2-GP1). Clin. Exp. Immunol. 1995, 102, 373–378. [Google Scholar] [CrossRef]
- Nimpf, J.; Wurm, H.; Kostner, G.M. Interaction of beta 2-glycoprotein-I with human blood platelets: Influence upon the ADP-induced aggregation. Thromb. Haemost. 1985, 54, 397–401. [Google Scholar]
- De Groot, P.G.; Meijers, J.C.M. β2-Glycoprotein I: Evolution, structure and function Journal of thrombosis and hemostasis. J. Thromb. Haemost. 2011, 9, 1275–1284. [Google Scholar] [CrossRef]
- Lin, F.; Murphy, R.; White, B.; Kelly, J.; Feighery, C.; Doyle, R.; Pittock, S.; Moroney, J.; Smith, O.; Livingstone, W.; et al. Circulating levels of β2-glycoprotein I in thrombotic disorders and in inflammation. Lupus 2006, 15, 87–93. [Google Scholar] [CrossRef] [PubMed]
- Ulcová-Gallová, Z.; Bouse, V.; Krizanovská, K.; Balvín, M.; Rokyta, Z.; Netrvalová, L. Beta 2-glycoprotein I is a good indicator of certain adverse pregnancy conditions. Int. J. Fertil. Womens Med. 2001, 46, 304–308. [Google Scholar] [PubMed]
- Yelnik, C.M.; Flint Porter, T.; Ware Branch, D.; Laskin, C.A.; Merrill, J.T.; Guerra, M.M.; Lockshin, M.D.; Buyon, J.P.; Petri, M.; Sammaritano, L.; et al. Changes in Antiphospholipid Antibody Titers during Pregnancy. Arthritis Rheumatol. 2016, 68, 1964–1969. [Google Scholar] [CrossRef]
- Comp, P.C.; Nixon, R.R.; Esmon, C.T. Determination of functional levels of protein C, an antithrombotic protein, using thrombin-thrombomodulin complex. Blood 1984, 63, 15–21. [Google Scholar] [CrossRef] [PubMed]
- Sugiura, M. Pregnancy and delivery in protein C-deficiency. Curr. Drug Targets 2005, 6, 577–583. [Google Scholar] [CrossRef] [PubMed]
- Jung, Y.W.; Park, D.P.; An, S.J.; Chung, S.M.; Kang, B.H.; Yoo, H.J.; Lee, M.; Kim, J.M. Changes in Protein C and Protein S Activities and the Association with Adverse Pregnancy Outcomes in Pregnant Korean Women. Lab MedOnline 2024, 14, 82–89. [Google Scholar] [CrossRef]
- Chattopadhyay, R.; Sengupta, T.; Majumder, R. Inhibition of intrinsic Xase by protein S: A novel regulatory role of protein S independent of activated protein C. Arterioscler. Thromb. Vasc. Biol. 2012, 32, 2387–2393. [Google Scholar] [CrossRef]
- Majumder, R.; Nguyen, T. Protein S: Function, Regulation, and Clinical Perspectives. Curr. Opin. Hematol. 2021, 28, 339–344. [Google Scholar] [CrossRef]
- Castoldi, E.; Hackeng, T.M. Regulation of coagulation by protein S. Curr. Opin. Hematol. 2008, 15, 529–536. [Google Scholar] [CrossRef] [PubMed]
- Ebina, Y.; Ieko, M.; Naito, S.; Kobashi, G.; Deguchi, M.; Minakami, H.; Atsumi, T.; Yamada, H. Low levels of plasma protein S, protein C and coagulation factor XII during early pregnancy and adverse pregnancy outcome. Thromb. Haemost. 2015, 114, 65–69. [Google Scholar] [CrossRef]
- Faught, W.; Garner, P.; Jones, G.; Ivey, B. Changes in protein C and protein S levels in normal pregnancy. Am. J. Obstet. Gynecol. 1995, 172, 147–150. [Google Scholar] [CrossRef] [PubMed]
- Imai, K.; Kotani, T.; Nakano, T.; Ushida, T.; Hirakawa, A.; Kikkawa, F. Maternal protein S activity is associated with massive hemorrhage during caesarean section: Retrospective case-control study. J. Matern.-Fetal Neonatal Med. 2019, 32, 2633–2637. [Google Scholar] [CrossRef]
- Lin, H.Y.; Lin, C.Y.; Kuo, S.F.; Lin, J.S.; Lin, P.T.; Huang, Y.C.; Hsieh, H.N.; Shen, M.C. Congenital factor V deficiency in Taiwan: Identification of a novel variant p.Tyr1813 ∗ and two variants specific to East Asians. Blood Coagul. Fibrinolysis 2023, 34, 8–13. [Google Scholar] [CrossRef]
- Tracy, P.B.; Eide, L.L.; Bowie, E.J.; Mann, K.G. Radioimmunoassay of factor V in human plasma and platelets. Blood 1982, 60, 59–63. [Google Scholar] [CrossRef]
- Ellery, P.E.R.; Hilden, I.; Sejling, K.; Loftager, M.; Martinez, N.D.; Maroney, S.A.; Mast, A.E. Correlates of plasma and platelet tissue factor pathway inhibitor, factor V, and Protein S. Res. Pract. Thromb. Haemost. 2018, 2, 93–104. [Google Scholar] [CrossRef] [PubMed]


| Variable | Group | Mean | St.Dev. | 95.0% CI for Mean | Percentiles | Min | Max | |||
|---|---|---|---|---|---|---|---|---|---|---|
| LL | UL | 25% | Median 50% | 75% | ||||||
| Age (years) | control | 27.21 | 5.08 | 25.65 | 28.77 | 23 | 28 | 30 | 18 | 37 |
| DVT | 28.97 | 7.68 | 26.42 | 31.51 | 22 | 31 | 34 | 18 | 41 | |
| Gestational age (weeks) | control | 36.63 | 3.06 | 35.69 | 37.57 | 35 | 37 | 38 | 28 | 42 |
| DVT | 35.48 | 4.69 | 33.70 | 37.27 | 32 | 37 | 39 | 23 | 41 | |
| FDP (μg/mL) | control | 0.79 | 0.16 | 0.74 | 0.84 | 0.70 | 0.79 | 0.93 | 0.47 | 1 |
| DVT | 3.54 | 2.64 | 2.54 | 4.55 | 1.18 | 3.15 | 4.88 | 0.47 | 10 | |
| APL (ng/mL) | control | 355.66 | 67.68 | 334.83 | 376.49 | 312.79 | 345.29 | 399.75 | 221.85 | 474 |
| DVT | 251.47 | 112.08 | 208.84 | 294.10 | 183.88 | 235.51 | 355.97 | 87.45 | 474 | |
| Protein C (μg/mL) | control | 10.46 | 2.38 | 9.73 | 11.20 | 8.99 | 10.44 | 11.84 | 5.85 | 14 |
| DVT | 10.53 | 2.52 | 9.57 | 11.48 | 8.70 | 10.84 | 11.28 | 5.85 | 20 | |
| Protein S (μg/mL) | control | 0.88 | 0.27 | 0.80 | 0.97 | 0.74 | 0.85 | 0.95 | 0.52 | 2 |
| DVT | 0.40 | 0.45 | 0.23 | 0.58 | 0.09 | 0.10 | 0.87 | 0.01 | 2 | |
| APOH (μg/mL) | control | 430.12 | 294.40 | 339.52 | 520.72 | 196.00 | 354.44 | 644.93 | 103.59 | 980 |
| DVT | 356.81 | 343.00 | 226.34 | 487.28 | 124.21 | 229.91 | 465.00 | 31.55 | 1452 | |
| Human factor V (ng/mL) | control | 9.11 | 5.10 | 7.54 | 10.68 | 5.71 | 8.36 | 11.61 | 2.29 | 34 |
| DVT | 8.24 | 3.63 | 6.86 | 9.62 | 5.48 | 8.31 | 11.61 | 2.29 | 15 | |
| Mann–Whitney U | Z | Asymp. Sig. (Two-Tailed) | |
|---|---|---|---|
| Age (year) | 500,500 | −1.416 | 0.157 |
| Gestational age (week) | 607,000 | −0.191 | 0.848 |
| FDP (μg/mL) | 188,500 | −4.996 | 0.000 |
| APL (ng/mL) | 280,000 | −3.945 | 0.000 |
| Protein C (μg/mL) | 615,000 | −0.098 | 0.922 |
| Protein S (μg/mL) | 248,000 | −4.313 | 0.000 |
| APOH (μg/mL) | 499,000 | −1.430 | 0.153 |
| Human factor V (ng/mL) | 574,500 | −0.563 | 0.573 |
Disclaimer/Publisher’s Note: The statements, opinions and data contained in all publications are solely those of the individual author(s) and contributor(s) and not of MDPI and/or the editor(s). MDPI and/or the editor(s) disclaim responsibility for any injury to people or property resulting from any ideas, methods, instructions or products referred to in the content. |
© 2025 by the authors. Licensee MDPI, Basel, Switzerland. This article is an open access article distributed under the terms and conditions of the Creative Commons Attribution (CC BY) license (https://creativecommons.org/licenses/by/4.0/).
Share and Cite
Filip, C.; Matasariu, D.R.; Ursache, A.; Dimitriu, C.D.; Filip, C.; Boiculese, V.L.; Socolov, D.G. Exploring Biomarkers to Predict Thrombogenic Risk in Pregnancy. J. Clin. Med. 2025, 14, 932. https://doi.org/10.3390/jcm14030932
Filip C, Matasariu DR, Ursache A, Dimitriu CD, Filip C, Boiculese VL, Socolov DG. Exploring Biomarkers to Predict Thrombogenic Risk in Pregnancy. Journal of Clinical Medicine. 2025; 14(3):932. https://doi.org/10.3390/jcm14030932
Chicago/Turabian StyleFilip, Catalina, Daniela Roxana Matasariu, Alexandra Ursache, Cristina Daniela Dimitriu, Cristiana Filip, Vasile Lucian Boiculese, and Demetra Gabriela Socolov. 2025. "Exploring Biomarkers to Predict Thrombogenic Risk in Pregnancy" Journal of Clinical Medicine 14, no. 3: 932. https://doi.org/10.3390/jcm14030932
APA StyleFilip, C., Matasariu, D. R., Ursache, A., Dimitriu, C. D., Filip, C., Boiculese, V. L., & Socolov, D. G. (2025). Exploring Biomarkers to Predict Thrombogenic Risk in Pregnancy. Journal of Clinical Medicine, 14(3), 932. https://doi.org/10.3390/jcm14030932

