Blunt Traumatic Aortic Injury Treated with Endovascular Aortic Repair: Does Age Influence the Outcome?
Abstract
1. Introduction
2. Materials and Methods
2.1. Study Design
2.2. Statistical Analysis
3. Results
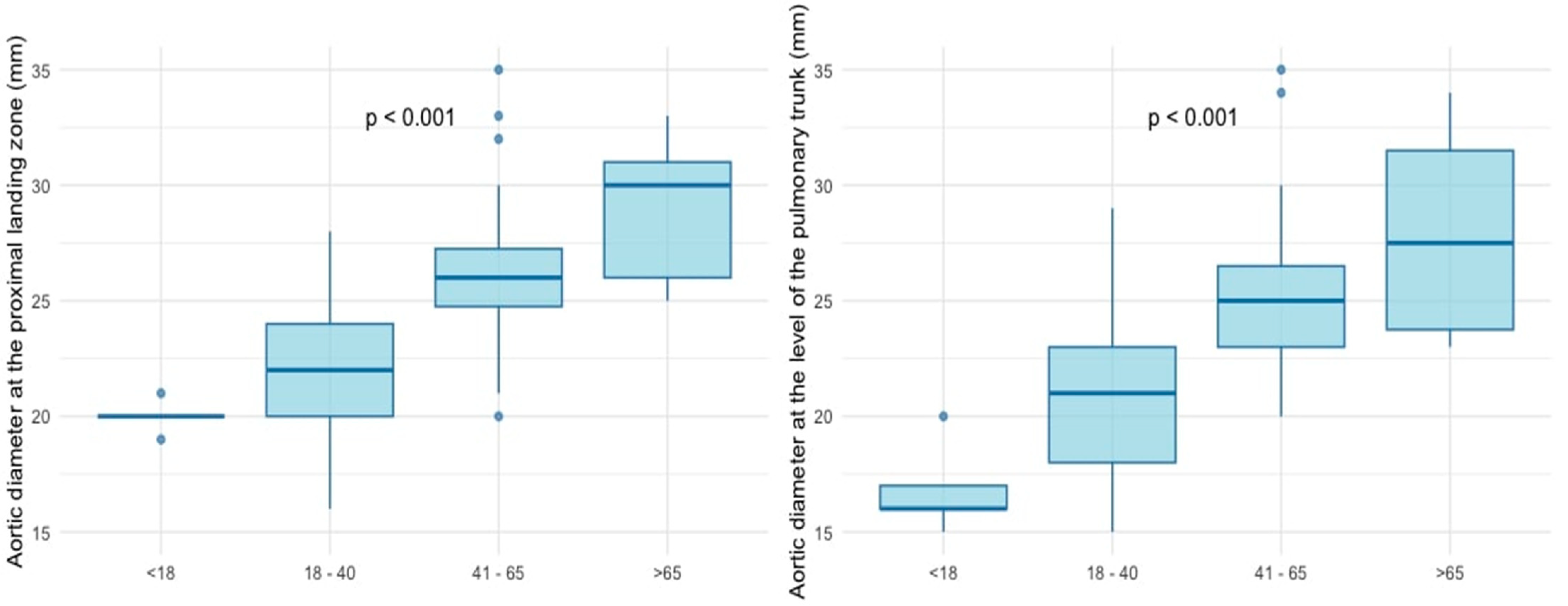
3.1. Patient Characteristics
3.2. Trauma Characteristics and Aortic Pathology
3.3. Endovascular Intervention
3.4. Short-Term Outcome
3.5. Follow-Up Data
4. Discussion
Limitations
5. Conclusions
Author Contributions
Funding
Institutional Review Board Statement
Informed Consent Statement
Data Availability Statement
Conflicts of Interest
Abbreviations
| ARDS | Acute respiratory distress syndrome |
| ASA | American Society of Anesthesiologists |
| BMI | Body mass index |
| BTAI | Blunt traumatic aortic injury |
| CAD | Coronary artery disease |
| CHF | Congestive heart failure |
| COPD | Chronic obstructive pulmonary disease |
| ESVS | European Society of Vascular Surgery |
| ICU | Intensive care unit |
| IQR | Interquartile range |
| ISS | Injury Severity Score |
| LOHS | Length of hospital stay |
| LSA | Left subclavian artery |
| SD | Standard deviation |
| SIRS | Systemic inflammatory response syndrome |
| TEVAR | Thoracic endovascular aortic repair |
| TIA | Transient ischemic attack |
References
- Arthurs, Z.M.; Starnes, B.W.; Sohn, V.Y.; Singh, N.; Martin, M.J.; Andersen, C.A. Functional and survival outcomes in traumatic blunt thoracic aortic injuries: An analysis of the National Trauma Databank. J. Vasc. Surg. 2009, 49, 988–994. [Google Scholar] [CrossRef] [PubMed]
- Boutin, L.; Caballero, M.J.; Guarrigue, D.; Hammad, E.; Rennuit, I.; Delhaye, N.; Neuschwander, A.; Meyer, A.; Bitot, V.; Mathais, Q.; et al. Blunt Traumatic Aortic Injury Management, a French TraumaBase Analytic Cohort. Eur. J. Vasc. Endovasc. Surg. 2022, 63, 401–409. [Google Scholar] [CrossRef] [PubMed]
- Gombert, A.; Barbati, M.E.; Storck, M.; Kotelis, D.; Keschenau, P.; Pape, H.C.; Andruszkow, H.; Lefering, R.; Hildebrand, F.; Greiner, A.; et al. Treatment of blunt thoracic aortic injury in Germany-Assessment of the TraumaRegister DGU®. PLoS ONE 2017, 12, e0171837. [Google Scholar] [CrossRef] [PubMed]
- Smith, R.S.; Chang, F.C. Traumatic rupture of the aorta: Still a lethal injury. Am. J. Surg. 1986, 152, 660–663. [Google Scholar] [CrossRef]
- Teixeira, P.G.; Inaba, K.; Barmparas, G.; Georgiou, C.; Toms, C.; Noguchi, T.T.; Rogers, C.; Sathyavagiswaran, L.; Demetriades, D. Blunt thoracic aortic injuries: An autopsy study. J. Trauma 2011, 70, 197–202. [Google Scholar]
- Riambau, V.; Böckler, D.; Brunkwall, J.; Cao, P.; Chiesa, R.; Coppi, G.; Czerny, M.; Fraedrich, G.; Haulon, S.; Jacobs, M.J.; et al. Editor’s Choice—Management of Descending Thoracic Aorta Diseases: Clinical Practice Guidelines of the European Society for Vascular Surgery (ESVS). Eur. J. Vasc. Endovasc. Surg. 2017, 53, 4–52. [Google Scholar] [CrossRef]
- Nana, P.; Spanos, K.; Behrendt, C.A.; Brodis, A.; Haulon, S.; Koelbel, T. A Systematic Review on Thoracic Endovascular Repair Outcomes in Blunt Thoracic Aortic Injuries. J. Endovasc. Ther. 2024, 15266028241233163. [Google Scholar] [CrossRef]
- Azizzadeh, A.; Keyhani, K.; Miller, I.I.I.C.C.; Coogan, S.M.; Safi, H.J.; Estrera, A.L. Blunt traumatic aortic injury: Initial experience with endovascular repair. J. Vasc. Surg. 2009, 49, 1403–1408. [Google Scholar] [CrossRef]
- Elkbuli, A.; Dowd, B.; Spano, I.I.P.J.; Smith, Z.; Flores, R.; McKenney, M.; Boneva, D. Thoracic Endovascular Aortic Repair Versus Open Repair: Analysis of the National Trauma Data Bank. J. Surg. Res. 2020, 245, 179–182. [Google Scholar] [CrossRef]
- Hoffer, E.K.; Forauer, A.R.; Silas, A.M.; Gemery, J.M. Endovascular stent-graft or open surgical repair for blunt thoracic aortic trauma: Systematic review. J. Vasc. Interv. Radiol. 2008, 19, 1153–1164. [Google Scholar] [CrossRef]
- Murad, M.H.; Rizvi, A.Z.; Malgor, R.; Carey, J.; Alkatib, A.A.; Erwin, P.J.; Lee, W.A.; Fairman, R.M. Comparative effectiveness of the treatments for thoracic aortic transection corrected. J. Vasc. Surg. 2011, 53, 193–199.e1-21. [Google Scholar] [CrossRef] [PubMed]
- Azizzadeh, A.; Charlton-Ouw, K.M.; Chen, Z.; Rahbar, M.H.; Estrera, A.L.; Amer, H.; Coogan, S.M.; Safi, H.J. An outcome analysis of endovascular versus open repair of blunt traumatic aortic injuries. J. Vasc. Surg. 2013, 57, 108–114; discussion 115. [Google Scholar] [CrossRef] [PubMed]
- Wahlgren, C.M.; Aylwin, C.; Davenport, R.A.; Davidovic, L.B.; DuBose, J.J.; Gaarder, C.; Heim, C.; Jongkind, V.; JørgensenIn, J.; Kakkos, S.K.; et al. European Society for Vascular Surgery (ESVS) 2025 Clinical Practice Guidelines on the Management of Vascular Trauma. Eur. J. Vasc. Endovasc. Surg. 2025; in press. [Google Scholar] [CrossRef]
- Harris, P.A.; Taylor, R.; Thielke, R.; Payne, J.; Gonzalez, N.; Conde, J.G. Research electronic data capture (REDCap)—A metadata-driven methodology and workflow process for providing translational research informatics support. J. Biomed. Inform. 2009, 42, 377–381. [Google Scholar] [CrossRef]
- Harris, P.A.; Taylor, R.; Minor, B.L.; Elliott, V.; Fernandez, M.; O’Neal, L.; McLeod, L.; Delacqua, G.; Delacqua, F.; Kirby, J.; et al. The REDCap consortium: Building an international community of software platform partners. J. Biomed. Inform. 2019, 95, 103208. [Google Scholar] [CrossRef]
- Baker, S.P.; o’Neill, B.; Haddon, W., Jr.; Long, W.B. The injury severity score: A method for describing patients with multiple injuries and evaluating emergency care. J. Trauma 1974, 14, 187–196. [Google Scholar] [CrossRef] [PubMed]
- Fillinger, M.F.; Greenberg, R.K.; McKinsey, J.F.; Chaikof, E.L.; Society for Vascular Surgery Ad Hoc Committee on TEVAR Reporting Standards. Reporting standards for thoracic endovascular aortic repair (TEVAR). J. Vasc. Surg. 2010, 52, 1022–1033.e15. [Google Scholar] [CrossRef]
- Saklad, M. Grading of patients for surgical procedures. Anesthesiology 1941, 2, 281–284. [Google Scholar] [CrossRef]
- Dripps, R.D. New classification of physical status. Anesthesiology 1963, 24, 111. [Google Scholar]
- Knuuti, J.; Wijns, W.; Saraste, A.; Capodanno, D.; Barbato, E.; Funck-Brentano, C.; Prescott, E.; Storey, R.F.; Deaton, C.; Cuisset, T.; et al. 2019 ESC Guidelines for the diagnosis and management of chronic coronary syndromes. Eur. Heart J. 2020, 41, 407–477. [Google Scholar] [CrossRef]
- Prendes, C.F.; Stana, J.; Schneidwind, K.D.; Rantner, B.; Konstantinou, N.; Bruder, J.; Kammerlander, C.; Banafsche, R.; Tsilimparis, N. Blunt traumatic thoracic aortic injuries: A retrospective cohort analysis of 2 decades of experience. Interact. Cardiovasc. Thorac. Surg. 2021, 33, 293–300. [Google Scholar] [CrossRef] [PubMed]
- Heller, G.; Immer, F.F.; Savolainen, H.; Kraehenbuehl, E.S.; Carrel, T.P.; Schmidli, J. Aortic rupture in high-speed skiing crashes. J. Trauma 2006, 61, 979–980. [Google Scholar] [CrossRef] [PubMed]
- Jost, D.; Schachner, T.; Czuprin, C.; Richter, G.; Hupp, T. Traumatische Aortenruptur mit begleitender Typ-B-Aortendissektion nach Skiunfall. Unfallchirurg 2014, 117, 72–74. [Google Scholar] [CrossRef]
- Hundersmarck, D.; van der Vliet, Q.M.; Winterink, L.M.; Leenen, L.P.; van Herwaarden, J.A.; Hazenberg, C.E.; Hietbrink, F. Blunt thoracic aortic injury and TEVAR: Long-term outcomes and health-related quality of life. Eur. J. Trauma Emerg. Surg. 2022, 48, 1961–1973. [Google Scholar] [CrossRef] [PubMed]
- Marcaccio, C.L.; Dumas, R.P.; Huang, Y.; Yang, W.; Wang, G.J.; Holena, D.N. Delayed endovascular aortic repair is associated with reduced in-hospital mortality in patients with blunt thoracic aortic injury. J. Vasc. Surg. 2018, 68, 64–73. [Google Scholar] [CrossRef]
- Wippel, D.; Lutz, M.; Kluckner, M.; Gruber, L.; Loizides, A.; Fischer, J.; Gizewski, E.R.; Enzmann, F.K.; Wipper, S. Beyond the Slopes and Highways: Endovascular Repair of Blunt Traumatic Aortic Injuries after Skiing versus Motor Vehicle Accidents. J. Clin. Med. 2024, 13, 3315. [Google Scholar] [CrossRef]
- Mohapatra, A.; Liang, N.L.; Makaroun, M.S.; Schermerhorn, M.L.; Farber, A.; Eslami, M.H. Risk factors for mortality after endovascular repair for blunt thoracic aortic injury. J. Vasc. Surg. 2020, 71, 768–773. [Google Scholar] [CrossRef]
- Martino, C.; Russo, E.; Santonastaso, D.P.; Gamberini, E.; Bertoni, S.; Padovani, E.; Tosatto, L.; Ansaloni, L.; Agnoletti, V. Long-term outcomes in major trauma patients and correlations with the acute phase. World J. Emerg. Surg. 2020, 15, 6. [Google Scholar] [CrossRef]
- Abhinandan, R.; Nayak, A.; Dinesh, H.N.; Lokesh, S. Comparison of Injury Severity Score, New Injury Severity Score, Revised Trauma Score, and Trauma and Injury Severity Score for Mortality Prediction in Trauma Patients in a Tertiary Care Center. Indian J. Surg. 2024, 1–5. [Google Scholar] [CrossRef]
- Figueiredo, S.; Taconet, C.; Harrois, A.; Hamada, S.; Gauss, T.; Raux, M.; Duranteau, J. How useful are hemoglobin concentration and its variations to predict significant hemorrhage in the early phase of trauma? A multicentric cohort study. Ann. Intensive Care 2018, 8, 76. [Google Scholar] [CrossRef]
- Kawai, Y.; Fukushima, H.; Asai, H.; Takano, K.; Okuda, A.; Tada, Y.; Maegawa, N.; Bolstad, F. Significance of initial hemoglobin levels in severe trauma patients without prehospital fluid administration: A single-center study in Japan. Trauma Surg. Acute Care Open 2021, 6, e000831. [Google Scholar] [CrossRef] [PubMed]
- Mill, V.; Wahlgren, C.M.; Dias, N.; Gillgren, P.; Wanhainen, A.; Steuer, J.; Howie, A.; Karelis, A.; Sigvant, B.; Kragsterman, B.; et al. Long Term Outcomes of Endovascular Repair for Blunt Traumatic Aortic Injury: A Twenty Year Multicentre Follow Up Study. Eur. J. Vasc. Endovasc. Surg. 2024; in press. [Google Scholar] [CrossRef] [PubMed]
- Steuer, J.; Björck, M.; Sonesson, B.; Resch, T.; Dias, N.; Hultgren, R.; Tunesi, R.; Wanhainen, A.; Lachat, M.; Pfammatter, T. Editor’s Choice—Durability of Endovascular Repair in Blunt Traumatic Thoracic Aortic Injury: Long-Term Outcome from Four Tertiary Referral Centers. Eur. J. Vasc. Endovasc. Surg. 2015, 50, 460–465. [Google Scholar] [CrossRef][Green Version]
- Khashram, M.; He, Q.; Oh, T.H.; Khanafer, A.; Wright, I.A.; Vasudevan, T.M.; Lo, A.S.; Roake, J.A.; Civil, I. Late Radiological and Clinical Outcomes of Traumatic Thoracic Aortic Injury Managed with Thoracic Endovascular Aortic Repair. World J. Surg. 2016, 40, 1763–1770. [Google Scholar] [CrossRef]
- Skaga, N.O.; Eken, T.; Søvik, S.; Jones, J.M.; Steen, P.A. Pre-injury ASA physical status classification is an independent predictor of mortality after trauma. J. Trauma 2007, 63, 972–978. [Google Scholar] [CrossRef]
- Alarhayem, A.Q.; Rasmussen, T.E.; Farivar, B.; Lim, S.; Braverman, M.; Hardy, D.; Jenkins, D.J.; Eastridge, B.J.; Cestero, R.F. Timing of repair of blunt thoracic aortic injuries in the thoracic endovascular aortic repair era. J. Vasc. Surg. 2021, 73, 896–902. [Google Scholar] [CrossRef]
- Yau, P.O.; Lewis, E.; Shah, A.; Stone, M.E., Jr.; McNelis, J.; Rivera, A. Blunt traumatic aortic injury in the elderly population. J. Vasc. Surg. 2023, 77, 47–55.e1. [Google Scholar] [CrossRef]
- De Rango, P.; Isernia, G.; Simonte, G.; Cieri, E.; Marucchini, A.; Farchioni, L.; Verzini, F.; Lenti, M. Impact of age and urgency on survival after thoracic endovascular aortic repair. J. Vasc. Surg. 2016, 64, 25–32. [Google Scholar] [CrossRef]



| Cohort (n = 70) | <18 (n = 5) | 18–40 (n = 28) | 41–65 (n = 28) | >65 (n = 9) | p-Value | |
|---|---|---|---|---|---|---|
| Age—y | 43 (32) | 14 (2) | 28.5 (13) | 52.5 (8) | 69 (2) | |
| Male | 62 (89) | 4 (80) | 25 (89) | 26 (93) | 7 (78) | 0.58 |
| BMI | 25.7 (4) | 25 (3) | 24.7 (3) | 24.8 (4) | 26.3 (1) | 0.54 |
| Hypertension | 17 (24) | 0 (0) | 3 (11) | 9 (32) | 5 (56) | 0.015 1 |
| Dyslipoproteinemia | 4 (6) | 0 (0) | 0 (0) | 3 (9) | 1 (11) | 0.12 |
| Diabetes | 3 (4) | 0 (0) | 0 (0) | 3 (11) | 0 (0) | 0.33 |
| CAD | 2 (3) | 0 (0) | 0 (0) | 0 (0) 2 | 2 (22) | 0.029 |
| COPD | 3 (4) | 0 (0) | 0 (0) | 2 (7) | 1 (11) | 0.41 |
| CHF | 1 (1) | 0 (0) | 0 (0) | 0 (0) | 1 (11) | 0.36 |
| ASA score before injury (1/2/3/4) | 40/17/11/2 | 5/0/0/0 | 24/2/2/0 | 9/15/3/1 | 2/0/6/1 | <0.001 |
| Acetylsalicylic acid therapy | 5 (7) | 0 (0) | 0 (0) | 2 (7) | 3 (33) | 0.011 |
| Betablocker therapy | 7 (10) | 0 (0) | 0 (0) | 3 (11) | 4 (44) | 0.003 |
| Cohort (n = 70) | <18 (n = 5) | 18–40 (n = 28) | 41–65 (n = 28) | >65 (n = 9) | p-Value | |
|---|---|---|---|---|---|---|
| Causes of injury | 0.73 | |||||
| Skiing accidents | 25 (36) | 3 (60) | 9 (32) | 9 (32) | 4 (44) | |
| Motor vehicle accidents | 23 (33) | 0 (0) | 10 (36) | 10 (36) | 3 (33) | |
| Falls from height | 13 (19) | 0 (0) | 6 (21) | 6 (21) | 1 (11) | |
| Pedestrian vs. motor vehicle | 3 (4) | 1 (20) | 1 (4) | 1 (4) | 0 (0) | |
| Others | 6 (9) | 1 (20) | 2 (7) | 2 (7) | 1 (11) | |
| Grade of aortic injury | 0.22 | |||||
| II | 7 (10) | 0 (0) | 2 (7) | 2 (7) | 3 (33) | |
| III | 60 (86) | 5 (100) | 25 (89) | 25 (89) | 5 (56) | |
| IV | 3 (4) | 0 (0) | 1 (4) | 1 (4) | 1 (11) | |
| Concomitant injuries | ||||||
| Traumatic brain injury | 22 (31) | 1 (20) | 11 (39) | 8 (29) | 2 (22) | 0.73 |
| Skull fracture | 17 (24) | 2 (40) | 7 (25) | 6 (21) | 2 (22) | 0.83 |
| Cervical spine fracture | 10 (14) | 0 (0) | 6 (21) | 4 (14) | 0 (0) | 0.50 |
| Thoracic spine fracture | 15 (21) | 1 (20) | 3 (11) | 9 (32) | 2 (22) | 0.24 |
| Lumbar spine fracture | 17 (24) | 0 (0) | 8 (29) | 8 (29) | 1 (11) | 0.47 |
| Rib fracture | 52 (74) | 3 (60) | 18 (64) | 23 (82) | 8 (89) | 0.29 |
| Pelvic fracture | 14 (20) | 0 (0) | 4 (14) | 9 (32) | 1 (11) | 0.27 |
| Extremity fracture | 40 (57) | 3 (60) | 16 (57) | 17 (61) | 4 (44) | 0.91 |
| Mediastinal hemorrhage | 57 (81) | 5 (100) | 24 (86) | 23 (82) | 5 (56) | 0.19 |
| Hemothorax | 43 (61) | 3 (60) | 18 (64) | 16 (57) | 6 (67) | 0.94 |
| Lung injury | 43 (61) | 2 (40) | 21 (75) | 18 (64) | 2 (22) | 0.027 3 |
| Pneumothorax | 36 (51) | 1 (20) | 15 (54) | 16 (57) | 4 (44) | 0.50 |
| Abdominal organ injury | 35 (50) | 3 (60) | 15 (54) | 13 (46) | 4 (44) | 0.90 |
| ISS | 25 (15) | 24 (18) | 25 (12) | 24 (13) | 25 (17) | 0.74 |
| Mean arterial pressure at admission in mmHg | 84 (38) | 95.5 (23.75) | 73.5 (29) | 91 (28) | 88 (32.25) | 0.16 |
| Shock index at admission | 0.75 (0.3) | 0.55 (0.1) | 0.8 (0.28) | 0.75 (0.38) | 0.6 (0.18) | 0.03 4 |
| Hemoglobin at admission in g/dL | 12.3 (2.28) | 11.1 (2.2) | 12.5 (2.1) | 12.35 (2.1) | 11.9 (1.2) | 0.58 |
| Hemoglobin within 6 h in g/dL | 9.95 (2.4) | 9.8 (2) | 9.9 (2) | 10.2 (2.3) | 10.9 (2) | 0.87 |
| Cohort (n = 70) | <18 (n = 5) | 18–40 (n = 28) | 41–65 (n = 28) | >65 (n = 9) | p-Value | |
|---|---|---|---|---|---|---|
| 30-day morbidity | 0.49 | |||||
| None | 28 (40) | 3 (60) | 10 (36) | 10 (36) | 5 (56) | 0.51 |
| Pneumonia | 13 (19) | 1 (20) | 9 (32) | 1 (4) | 2 (22) | 0.02 5 |
| Delirium | 12 (17) | 1 (20) | 6 (21) | 5 (18) | 0 (0) | 0.60 |
| Sepsis/SIRS | 11 (16) | 1 (20) | 5 (18) | 4 (14) | 1 (11) | 1 |
| Significant bleeding | 10 (14) | 0 (0) | 7 (25) | 3 (11) | 0 (0) | 0.24 |
| Deep vein thrombosis | 6 (9) | 1 (20) | 2 (7) | 3 (11) | 0 (0) | 0.58 |
| Permanent paraplegia | 6 (9) | 1 (20) | 2 (7) | 3 (11) | 0 (0) | 0.58 |
| ARDS | 5 (7) | 1 (20) | 3 (11) | 0 (0) | 1 (11) | 0.15 |
| Lower limb ischemia | 5 (7) | 0 (0) | 3 (11) | 1 (4) | 1 (11) | 0.69 |
| Major stroke | 5 (7) | 1 (20) | 2 (7) | 1 (4) | 1 (11) | 0.40 |
| Endoleak type IIa | 4 (6) | 1 (20) | 1 (4) | 1 (4) | 1 (11) | 0.51 |
| Visceral infarction | 4 (6) | 1 (20) | 1 (4) | 1 (4) | 1 (11) | 0.32 |
| Pulmonary embolism | 3 (4) | 0 (0) | 2 (7) | 1 (4) | 0 (0) | 1 |
| Transient hemodialysis | 3 (4) | 0 (0) | 1 (4) | 2 (7) | 0 (0) | 1 |
| TIA | 2 (3) | 0 (0) | 0 (0) | 1 (4) | 1 (11) | 0.36 |
| Upper limb ischemia | 1 (1) | 0 (0) | 0 (0) | 0 (0) | 1 (11) | 0.20 |
| In-hospital mortality | 4 (6) | 0 (0) | 2 (7) | 1 (4) | 1 (11) | 0.84 |
| ICU stay duration—d | 9 (13) | 10 (21) | 10 (13) | 6.5 (11) | 4 (8) | 0.91 |
| LOHS—d | 15.5 (18) | 13 (40) | 14.5 (22) | 15.5 (15) | 19 (7) | 0.92 |
Disclaimer/Publisher’s Note: The statements, opinions and data contained in all publications are solely those of the individual author(s) and contributor(s) and not of MDPI and/or the editor(s). MDPI and/or the editor(s) disclaim responsibility for any injury to people or property resulting from any ideas, methods, instructions or products referred to in the content. |
© 2025 by the authors. Licensee MDPI, Basel, Switzerland. This article is an open access article distributed under the terms and conditions of the Creative Commons Attribution (CC BY) license (https://creativecommons.org/licenses/by/4.0/).
Share and Cite
Lutz, M.; Wippel, D.; Loizides, A.; Galijasevic, M.; Schönherr, L.; Gizewski, E.R.; Wipper, S.; Freund, M.; Enzmann, F.K. Blunt Traumatic Aortic Injury Treated with Endovascular Aortic Repair: Does Age Influence the Outcome? J. Clin. Med. 2025, 14, 776. https://doi.org/10.3390/jcm14030776
Lutz M, Wippel D, Loizides A, Galijasevic M, Schönherr L, Gizewski ER, Wipper S, Freund M, Enzmann FK. Blunt Traumatic Aortic Injury Treated with Endovascular Aortic Repair: Does Age Influence the Outcome? Journal of Clinical Medicine. 2025; 14(3):776. https://doi.org/10.3390/jcm14030776
Chicago/Turabian StyleLutz, Maximilian, David Wippel, Alexander Loizides, Malik Galijasevic, Laura Schönherr, Elke R. Gizewski, Sabine Wipper, Martin Freund, and Florian K. Enzmann. 2025. "Blunt Traumatic Aortic Injury Treated with Endovascular Aortic Repair: Does Age Influence the Outcome?" Journal of Clinical Medicine 14, no. 3: 776. https://doi.org/10.3390/jcm14030776
APA StyleLutz, M., Wippel, D., Loizides, A., Galijasevic, M., Schönherr, L., Gizewski, E. R., Wipper, S., Freund, M., & Enzmann, F. K. (2025). Blunt Traumatic Aortic Injury Treated with Endovascular Aortic Repair: Does Age Influence the Outcome? Journal of Clinical Medicine, 14(3), 776. https://doi.org/10.3390/jcm14030776

