Stress, Diet, and Sleep Shape Irritable-Bowel-Syndrome-Specific Symptoms: The Lockdown “Cocoon Effect”
Abstract
1. Introduction
2. Materials and Methods
- Subject characteristics and sociodemographic information [gender, age, height, weight before and after lockdown, location, occupation, type of employment (public, free-lance, retired, student, and unemployed), and work location (working from home, office, and hybrid)].
- Daily habits and lifestyle before and after lockdown [physical activity, number of meals per day, amount of food intake, dietary and nutrient composition (water, soft drinks, fruit, fibers, red meat, white meat, fish, and lipids), alcohol consumption, smoking habits, and hours of sleep].
- Gastrointestinal symptoms (recurrent abdominal pain, IBS symptoms as categorized by the Rome IV criteria, heartburn, epigastric pain, postprandial fullness, early satiety, nausea, meteorism, tenesmus, and bowel movements per day).
- Perceived stress dimensions (general stress, and stress related to work, personal relations, and health status).
- Medications and dietary supplements (probiotics, non-steroidal anti-inflammatory drugs (NSAIDs), antacids, sleeping pills, and anxiolytic pills).
3. Results
3.1. Patients’ Demographic and Social Characteristics
3.2. Perceived Stress
3.3. Daily Habits and Lifestyle
3.4. Medications and Dietary Supplements
4. Discussion
5. Conclusions
Supplementary Materials
Author Contributions
Funding
Institutional Review Board Statement
Informed Consent Statement
Data Availability Statement
Conflicts of Interest
Abbreviations
| IBS | Irritable Bowel Syndrome |
| MC | Microscopic Colitis |
| CD | Celiac Disease |
| BMI | Body Mass Index |
| NSAIDs | Non-Steroidal Anti Inflammatory Drugs |
References
- Lovell, R.M.; Ford, A.C. Global Prevalence of and Risk Factors for Irritable Bowel Syndrome: A Meta-Analysis. Clin. Gastroenterol. Hepatol. 2012, 10, 712–721.e4. [Google Scholar] [CrossRef] [PubMed]
- Everhart, J.E.; Renault, P.F. Irritable bowel syndrome in office-based practice in the United States. Gastroenterology 1991, 100, 998–1005. [Google Scholar] [CrossRef]
- Hungin, A.P.; Chang, L.; Locke, G.R.; Dennis, E.H.; Barghout, V. Irritable bowel syndrome in the United States: Prevalence, symptom patterns and impact. Aliment. Pharmacol. Ther. 2005, 21, 1365–1375. [Google Scholar] [CrossRef]
- Swarbrick, E.T.; Hegarty, J.E.; Bat, L.; Williams, C.B.; Dawson, A.M. Site of pain from the irritable bowel. Lancet 1980, 2, 443–446. [Google Scholar] [CrossRef]
- Canavan, C.; West, J.; Card, T. Review article: The economic impact of the irritable bowel syndrome. Aliment. Pharmacol. Ther. 2014, 40, 1023–1034. [Google Scholar] [CrossRef] [PubMed]
- Palsson, O.S.; Whitehead, W.; Törnblom, H.; Sperber, A.D.; Simren, M. Prevalence of Rome IV Functional Bowel Disorders Among Adults in the United States, Canada, and the United Kingdom. Gastroenterology 2020, 158, 1262–1273.e3. [Google Scholar] [CrossRef] [PubMed]
- Sandler, R.S.; Everhart, J.E.; Donowitz, M.; Adams, E.; Cronin, K.; Goodman, C.; Gemmen, E.; Shah, S.; Avdic, A.; Rubin, R. The burden of selected digestive diseases in the United States. Gastroenterology 2002, 122, 1500–1511. [Google Scholar] [CrossRef]
- Camilleri, M. Peripheral mechanisms in irritable bowel syndrome. N. Engl. J. Med. 2012, 367, 1626–1635. [Google Scholar] [CrossRef]
- Ek, W.E.; Reznichenko, A.; Ripke, S.; Niesler, B.; Zucchelli, M.; Rivera, N.V.; Schmidt, P.T.; Pedersen, N.L.; Magnusson, P.; Talley, N.J.; et al. Exploring the genetics of irritable bowel syndrome: A GWA study in the general population and replication in multinational case-control cohorts. Gut 2015, 64, 1774–1782. [Google Scholar] [CrossRef]
- Holtmann, G.J.; Ford, A.C.; Talley, N.J. Pathophysiology of irritable bowel syndrome. Lancet Gastroenterol. Hepatol. 2016, 1, 133–146. [Google Scholar] [CrossRef]
- Li, Q.; Guan, X.; Wu, P.; Wang, X.; Zhou, L.; Tong, Y.; Ren, R.; Leung, K.S.M.; Lau, E.H.Y.; Wong, J.Y.; et al. Early Transmission Dynamics in Wuhan, China, of Novel Coronavirus-Infected Pneumonia. N. Engl. J. Med. 2020, 382, 1199–1207. [Google Scholar] [CrossRef]
- Ford, A.C.; Sperber, A.D.; Corsetti, M.; Camilleri, M. Irritable bowel syndrome. Lancet 2020, 396, 1675–1688. [Google Scholar] [CrossRef]
- Indolfi, C.; Spaccarotella, C. The Outbreak of COVID-19 in Italy: Fighting the Pandemic. JACC Case Rep. 2020, 2, 1414–1418. [Google Scholar] [CrossRef]
- Drossman, D.A.; Hasler, W.L. Rome IV-Functional GI Disorders: Disorders of Gut-Brain Interaction. Gastroenterology 2016, 150, 1257–1261. [Google Scholar] [CrossRef]
- Manzoli, L.; Flacco, M.E.; Marzuillo, C.; Lopetuso, L. Prevalence of severe irritable bowel syndrome among Italian adults. A meta-analysis. Eur. Rev. Med. Pharmacol. Sci. 2017, 21, 5751–5764. [Google Scholar] [PubMed]
- Bennett, E.J.; Tennant, C.C.; Piesse, C.; Badcock, C.A.; Kellow, J.E. Level of chronic life stress predicts clinical outcome in irritable bowel syndrome. Gut 1998, 43, 256–261. [Google Scholar] [CrossRef] [PubMed]
- Fujii, Y.; Nomura, S. A prospective study of the psychobehavioral factors responsible for a change from non-patient irritable bowel syndrome to IBS patient status. Biopsychosoc. Med. 2008, 2, 16. [Google Scholar] [CrossRef] [PubMed]
- Hod, K.; Melamed, S.; Dekel, R.; Maharshak, N.; Sperber, A.D. Burnout, but not job strain, is associated with irritable bowel syndrome in working adults. J. Psychosom. Res. 2020, 134, 110121. [Google Scholar] [CrossRef]
- Huerta-Franco, M.R.; Vargas-Luna, M.; Tienda, P.; Delgadillo-Holtfort, I.; Balleza-Ordaz, M.; Flores-Hernandez, C. Effects of occupational stress on the gastrointestinal tract. World J. Gastrointest. Pathophysiol. 2013, 4, 108–118. [Google Scholar] [CrossRef]
- Nam, Y.; Kwon, S.C. Relationship between job stress and functional dyspepsia in display manufacturing sector workers: A cross-sectional study. Ann. Occup. Environ. Med. 2018, 30, 62. [Google Scholar] [CrossRef]
- Arif, T.B.; Ali, S.H.; Bhojwani, K.D.; Sadiq, M.; Siddiqui, A.A.; Ur-Rahman, A.; Khan, M.Z.; Hasan, F.; Shahzil, M. Global Prevalence and Risk Factors of Irritable Bowel Syndrome from 2006 to 2024 Using the Rome III and IV Criteria: A Meta-Analysis. Eur. J. Gastroenterol. Hepatol. 2025; ahead of print. [Google Scholar] [CrossRef] [PubMed]
- Nakov, R.; Dimitrova-Yurukova, D.; Snegarova, V.; Nakov, V.; Fox, M.; Heinrich, H. Increased prevalence of gastrointestinal symptoms and disorders of gut-brain interaction during the COVID-19 pandemic: An internet-based survey. Neurogastroenterol. Motil. 2022, 34, e14197. [Google Scholar] [CrossRef]
- Palsson, O.; Simren, M.; Sperber, A.D.; Bangdiwala, S.; Hreinsson, J.P.; Aziz, I. The Prevalence and Burden of Disorders of Gut-Brain Interaction (DGBI) Before vs After the COVID-19 Pandemic. Clin. Gastroenterol. Hepatol. 2025; in press. [Google Scholar] [CrossRef]
- Kamp, K.J.; Levy, R.L.; Munson, S.A.; Heitkemper, M.M. Impact of COVID-19 on Individuals with Irritable Bowel Syndrome and Comorbid Anxiety and/or Depression. J. Clin. Gastroenterol. 2022, 56, e149–e152. [Google Scholar] [CrossRef]
- Helgadóttir, B.; Forsell, Y.; Ekblom, Ö. Physical activity patterns of people affected by depressive and anxiety disorders as measured by accelerometers: A cross-sectional study. PLoS ONE 2015, 10, e0115894. [Google Scholar] [CrossRef]
- Kerckhoffs, A.P.; Akkermans, L.M.; de Smet, M.B.; Besselink, M.G.H.; Hietbrink, F.; Bartelink, I.H.; Busschers, W.B.; Samsom, M.; Renooij, W. Intestinal permeability in irritable bowel syndrome patients: Effects of NSAIDs. Dig. Dis. Sci. 2010, 55, 716–723. [Google Scholar] [CrossRef] [PubMed]
- Scarmozzino, F.; Visioli, F. COVID-19 and the Subsequent Lockdown Modified Dietary Habits of Almost Half the Population in an Italian Sample. Foods 2020, 9, 675. [Google Scholar] [CrossRef] [PubMed]
- Hislop, T.G.; Bajdik, C.D.; Balneaves, L.G.; Holmes, A.; Chan, S.; Wu, E.; Abanto, Z.U.; Butler, A.L. Physical and emotional health effects and social consequences after participation in a low-fat, high-carbohydrate dietary trial for more than 5 years. J. Clin. Oncol. 2006, 24, 2311–2317. [Google Scholar] [CrossRef] [PubMed]
- Haghbin, H.; Hasan, F.; Gangwani, M.K.; Zakirkhodjaev, N.; Lee-Smith, W.; Beran, A.; Kamal, F.; Hart, B.; Aziz, M. Efficacy of Dietary Interventions for Irritable Bowel Syndrome: A Systematic Review and Network Meta-Analysis. J. Clin. Med. 2024, 13, 7531. [Google Scholar] [CrossRef]
- Roberfroid, M.; Gibson, G.R.; Hoyles, L.; McCartney, A.L.; Rastall, R.; Rowland, I.; Wolvers, D.; Watzl, B.; Szajewska, H.; Stahl, B.; et al. Prebiotic effects: Metabolic and health benefits. Br. J. Nutr. 2010, 104 (Suppl. S2), S1–S63. [Google Scholar] [CrossRef]
- Weingarden, A.R.; Ko, C.W. Non-prescription Therapeutics. Am. J. Gastroenterol. 2024, 119 (Suppl. S1), S7–S15. [Google Scholar] [CrossRef] [PubMed]
- El-Salhy, M.; Ystad, S.O.; Mazzawi, T.; Gundersen, D. Dietary fiber in irritable bowel syndrome (Review). Int. J. Mol. Med. 2017, 40, 607–613. [Google Scholar] [CrossRef]
- McKenzie, Y.A.; Bowyer, R.K.; Leach, H.; Gulia, P.; Horobin, J.; O’Sullivan, N.A.; Pettitt, C.; Reeves, L.B.; Seamark, L.; Williams, M.; et al. British Dietetic Association systematic review and evidence-based practice guidelines for the dietary management of irritable bowel syndrome in adults (2016 update). J. Hum. Nutr. Diet. 2016, 29, 549–575. [Google Scholar] [CrossRef] [PubMed]
- Chey, W.D.; Hashash, J.G.; Manning, L.; Chang, L. AGA Clinical Practice Update on the Role of Diet in Irritable Bowel Syndrome: Expert Review. Gastroenterology 2022, 162, 1737–1745.e5. [Google Scholar] [CrossRef]
- Tu, Q.; Heitkemper, M.M.; Jarrett, M.E.; Buchanan, D.T. Sleep disturbances in irritable bowel syndrome: A systematic review. Neurogastroenterol. Motil. 2017, 29, e12946. [Google Scholar] [CrossRef]
- Orr, W.C.; Fass, R.; Sundaram, S.S.; Scheimann, A.O. The effect of sleep on gastrointestinal functioning in common digestive diseases. Lancet Gastroenterol. Hepatol. 2020, 5, 616–624. [Google Scholar] [CrossRef]
- Sadeghian, M.; Sadeghi, O.; Hassanzadeh Keshteli, A.; Daghaghzadeh, H.; Esmaillzadeh, A.; Adibi, P. Physical activity in relation to irritable bowel syndrome among Iranian adults. PLoS ONE 2018, 13, e0205806. [Google Scholar] [CrossRef]
- Vasquez-Rios, G.; Machicado, J.D.; Ticse, R.; Ruiz, E.F.; Gamero, M.T.; Pezua, A.; Marcos, L.A.; Tagle, M. Stress and a sedentary lifestyle are associated with irritable bowel syndrome in medical students from Peru: A cross-sectional study. Eur. J. Gastroenterol. Hepatol. 2019, 31, 1322–1327. [Google Scholar] [CrossRef]
- Lindsell, H.B.; Williams, N.C.; Magistro, D.; Corsetti, M.; Walton, G.E.; Hunter, K.A. Could the Therapeutic Effect of Physical Activity on Irritable Bowel Syndrome Be Mediated Through Changes to the Gut Microbiome? A Narrative and Hypothesis Generating Review. Neurogastroenterol. Motil. 2025, 37, e70004. [Google Scholar] [CrossRef] [PubMed]
- Costantino, A.; Pessarelli, T.; Vecchiato, M.; Vecchi, M.; Basilisco, G.; Ermolao, A. A practical guide to the proper prescription of physical activity in patients with irritable bowel syndrome. Dig. Liver Dis. 2022, 54, 1600–1604. [Google Scholar] [CrossRef]
- Nunan, D.; Cai, T.; Gardener, A.D.; Ordóñez-Mena, J.M.; Roberts, N.W.; Thomas, E.T.; Mahtani, K.R. Physical activity for treatment of irritable bowel syndrome. Cochrane Database Syst. Rev. 2022, 6, CD011497. [Google Scholar] [CrossRef]
- Sabate, J.M.; Deutsch, D.; Melchior, C.; Entremont, A.; Mion, F.; Bouchoucha, M.; Façon, S.; Raynaud, J.-J.; Zerbib, F.; Jouët, P. COVID-19 pandemic and lockdown stress consequences in people with and without Irritable Bowel Syndrome. Ethics Med. Public Health 2021, 18, 100660. [Google Scholar] [CrossRef]
- Quek, S.X.Z.; Loo, E.X.L.; Demutska, A.; Chua, C.E. Impact of the coronavirus disease 2019 pandemic on irritable bowel syndrome. J. Gastroenterol. Hepatol. 2021, 36, 2187–2197. [Google Scholar] [CrossRef]
- Piskorz, M.; Stefanolo, J.P.; Ibañez, A.; Hesse, E.; Velez, G.B.; Tevez, A.; Gutierrez, C.; Uehara, T.; Hashimoto, H.; Puga-Tejada, M.; et al. Gut-Brain Axis and Irritable Bowel Syndrome During SARS CoV-2 Pandemic. A Survey Based Study. J. Clin. Gastroenterol. 2024; ahead of print. [Google Scholar] [CrossRef] [PubMed]
- Hahn, B.A.; Yan, S.; Strassels, S. Impact of Irritable Bowel Syndrome on Quality of Life and Resource Use in the United States and United Kingdom. Digestion 1999, 60, 77–81. [Google Scholar] [CrossRef] [PubMed]
- Camilleri, M. Diagnosis and Treatment of Irritable Bowel Syndrome: A Review. JAMA 2021, 325, 865–877. [Google Scholar] [CrossRef] [PubMed]
- Agarwal, N.; Spiegel, B.M. The effect of irritable bowel syndrome on health-related quality of life and health care expenditures. Gastroenterol. Clin. N. Am. 2011, 40, 11–19. [Google Scholar] [CrossRef]
- Inadomi, J.M.; Fennerty, M.B.; Bjorkman, D. Systematic review: The economic impact of irritable bowel syndrome. Aliment. Pharmacol. Ther. 2003, 18, 671–682. [Google Scholar] [CrossRef]
- Shin, A.; Xu, H. Healthcare Costs of Irritable Bowel Syndrome and Irritable Bowel Syndrome Subtypes in the United States. Am. J. Gastroenterol. 2024, 119, 1571–1579. [Google Scholar] [CrossRef]
- Flacco, M.E.; Manzoli, L.; De Giorgio, R.; Gasbarrini, A.; Cicchetti, A.; Bravi, F.; Altini, M.; Caio, G.P.; Ursini, F. Costs of irritable bowel syndrome in European countries with universal healthcare coverage: A meta-analysis. Eur. Rev. Med. Pharmacol. Sci. 2019, 23, 2986–3000. [Google Scholar]
- Dal Negro, R.W.; Distante, C.; Bonadiman, L.; Turco, P.; Iannazzo, S. Cost of persistent asthma in Italy. Multidiscip. Respir. Med. 2016, 11, 44. [Google Scholar] [CrossRef]
- Dal Negro, R.W.; Bonadiman, L.; Turco, P.; Tognella, S.; Iannazzo, S. Costs of illness analysis in Italian patients with chronic obstructive pulmonary disease (COPD): An update. Clinicoecon. Outcomes Res. 2015, 7, 153–159. [Google Scholar] [CrossRef]
- Giorda, C.B.; Manicardi, V.; Diago Cabezudo, J. The impact of diabetes mellitus on healthcare costs in Italy. Expert Rev. Pharmacoecon. Outcomes Res. 2011, 11, 709–719. [Google Scholar] [CrossRef] [PubMed]
- Brooks, S.K.; Webster, R.K.; Smith, L.E.; Woodland, L.; Wessely, S.; Greenberg, N.; Rubin, G.J. The psychological impact of quarantine and how to reduce it: Rapid review of the evidence. Lancet 2020, 395, 912–920. [Google Scholar] [CrossRef] [PubMed]
- Irvine, A.J.; Chey, W.D.; Ford, A.C. Screening for Celiac Disease in Irritable Bowel Syndrome: An Updated Systematic Review and Meta-analysis. Am. J. Gastroenterol. 2017, 112, 65–76. [Google Scholar] [CrossRef] [PubMed]
- Lacy, B.E.; Pimentel, M.; Brenner, D.M.; Chey, W.D.; Keefer, L.A.; Long, M.D.; Moshiree, B. ACG ClinicalGuideline: Management of Irritable Bowel Syndrome. Am. J. Gastroenterol. 2021, 116, 17–44. [Google Scholar] [CrossRef]


| Variables | Colonna1 | Healthy Subjects Pre-Lockdown | IBS Subjects Pre-Lockdown | p Value |
|---|---|---|---|---|
| 2735 | 2471 | 264 | ||
| Gender (%) | Female | 1635 (66.2) | 216 (81.8) | <0.001 |
| Age (median [IQR]) | 37.00 [24.00, 56.00] | 34.00 [23.00, 55.00] | 0.168 | |
| Height (median [IQR]) | 168 [162, 175] | 165.00 [160.00, 171.00] | <0.001 | |
| BMI (median [IQR]) | 22.59 [20.31, 25.25] | 22.22 [20.20, 24.91] | 0.124 | |
| BMI (%) | Regular | 1637 (66.2) | 173 (65.5) | 0.117 |
| Obese class I | 106 (4.3) | 8 (3.0) | ||
| Obese class II | 24 (1.0) | 0 (0.0) | ||
| Obese class III | 7 (0.3) | 2 (0.8) | ||
| Overweight | 523 (21.2) | 54 (20.5) | ||
| Underweight | 174 (7.0) | 27 (10.2) | ||
| Employment (%) | Freelance | 150 (6.1) | 14 (5.3) | 0.139 |
| Private employee | 137 (5.5) | 8 (3.0) | ||
| Public employee | 179 (47.7) | 113 (42.8) | ||
| Retired | 48 (1.9) | 3 (1.1) | ||
| Student | 917 (37.1) | 122 (46.2) | ||
| Unemployed | 40 (1.6) | 4 (1.5) |
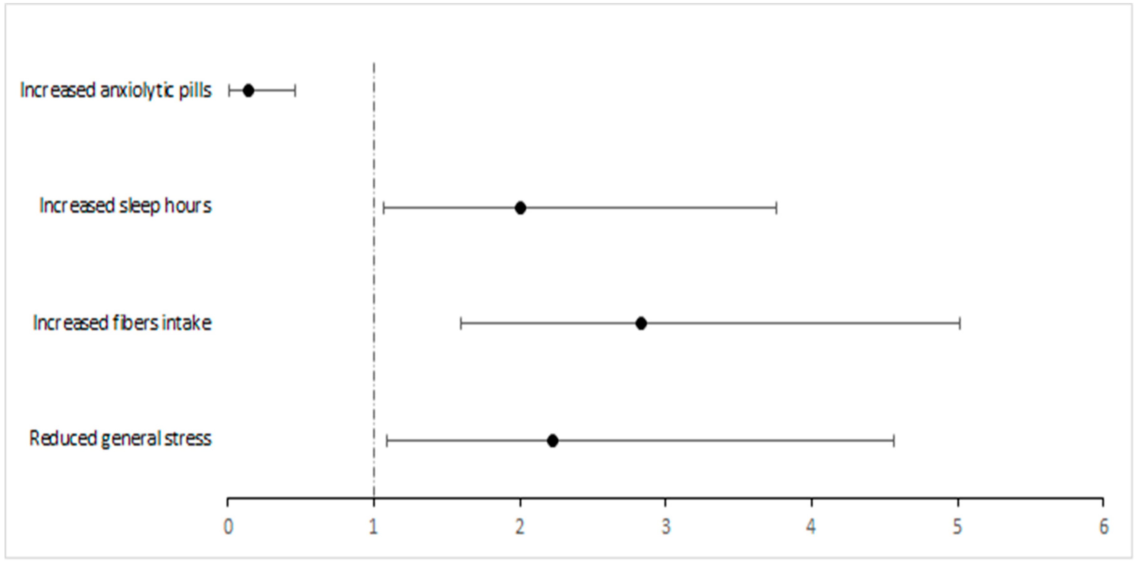
| Effect | Variable | OR (95%CI) | p ‡ |
|---|---|---|---|
| IBS resolution | Reduced general stress | 2.23 (1.09–4.56) | 0.029 |
| Increased general stress | 0.78 (0.41–1.45) | 0.43 | |
| Increased fiber intake | 2.83 (1.60–5.02) | <0.001 | |
| Reduced fiber intake | 1.22 (0.45–3.27) | 0.68 | |
| Increased sleep hours | 2.00 (1.07–3.76) | 0.031 | |
| Reduced sleep hours | 1.22 (0.59–2.48) | 0.59 | |
| Increased anxiolytic pills | 0.14 (0.04–0.46) | 0.001 | |
| Reduced anxiolytic pills | 4.66 (0.50–43.3) | 0.18 | |
| IBS development | Reduced physical activity | 2.04 (1.30–3.19) | 0.002 |
| Increased physical activity | 0.81 (0.42–1.55) | 0.52 | |
| Reduced alcohol consumption | 0.46 (0.26–0.80) | 0.006 | |
| Increased alcohol consumption | 0.67 (0.35–1.27) | 0.22 | |
| Increased anti-inflammatory pills | 2.38 (1.39–4.10) | 0.002 | |
| Reduced anti-inflammatory pills | 0.94 (0.47–1.88) | 0.87 | |
| Increased anxiolytic pills | 3.52 (2.08–5.95) | <0.001 | |
| Reduced anxiolytic pills | 1.68 (0.55–5.01) | 0.36 | |
| Increased work-related stress | 1.81 (1.16–2.83) | 0.009 | |
| Reduced work-related stress | 1.13 (0.67–1.89) | 0.65 | |
| Onset of upper GI functional symptoms | IBS resolution | 0.18 (0.11–0.31) | 0.001 |
Disclaimer/Publisher’s Note: The statements, opinions and data contained in all publications are solely those of the individual author(s) and contributor(s) and not of MDPI and/or the editor(s). MDPI and/or the editor(s) disclaim responsibility for any injury to people or property resulting from any ideas, methods, instructions or products referred to in the content. |
© 2025 by the authors. Licensee MDPI, Basel, Switzerland. This article is an open access article distributed under the terms and conditions of the Creative Commons Attribution (CC BY) license (https://creativecommons.org/licenses/by/4.0/).
Share and Cite
Kayali, S.; Marabotto, E.; Bodini, G.; Marenco, S.; Labanca, S.; Pieri, G.; Zentilin, P.; Giannini, E.G.; Furnari, M. Stress, Diet, and Sleep Shape Irritable-Bowel-Syndrome-Specific Symptoms: The Lockdown “Cocoon Effect”. J. Clin. Med. 2025, 14, 8487. https://doi.org/10.3390/jcm14238487
Kayali S, Marabotto E, Bodini G, Marenco S, Labanca S, Pieri G, Zentilin P, Giannini EG, Furnari M. Stress, Diet, and Sleep Shape Irritable-Bowel-Syndrome-Specific Symptoms: The Lockdown “Cocoon Effect”. Journal of Clinical Medicine. 2025; 14(23):8487. https://doi.org/10.3390/jcm14238487
Chicago/Turabian StyleKayali, Stefano, Elisa Marabotto, Giorgia Bodini, Simona Marenco, Sara Labanca, Giulia Pieri, Patrizia Zentilin, Edoardo Giovanni Giannini, and Manuele Furnari. 2025. "Stress, Diet, and Sleep Shape Irritable-Bowel-Syndrome-Specific Symptoms: The Lockdown “Cocoon Effect”" Journal of Clinical Medicine 14, no. 23: 8487. https://doi.org/10.3390/jcm14238487
APA StyleKayali, S., Marabotto, E., Bodini, G., Marenco, S., Labanca, S., Pieri, G., Zentilin, P., Giannini, E. G., & Furnari, M. (2025). Stress, Diet, and Sleep Shape Irritable-Bowel-Syndrome-Specific Symptoms: The Lockdown “Cocoon Effect”. Journal of Clinical Medicine, 14(23), 8487. https://doi.org/10.3390/jcm14238487

