Cementless vs. Cemented Total Knee Arthroplasty: Reduced Operative Time with Comparable Perioperative Safety—A Retrospective Cohort from a Tertiary Care Center
Abstract
1. Introduction
2. Materials and Methods
2.1. Surgical Technique
2.2. Data Collection and Outcomes
2.3. Statistical Analysis
3. Results
3.1. Patient Characteristics
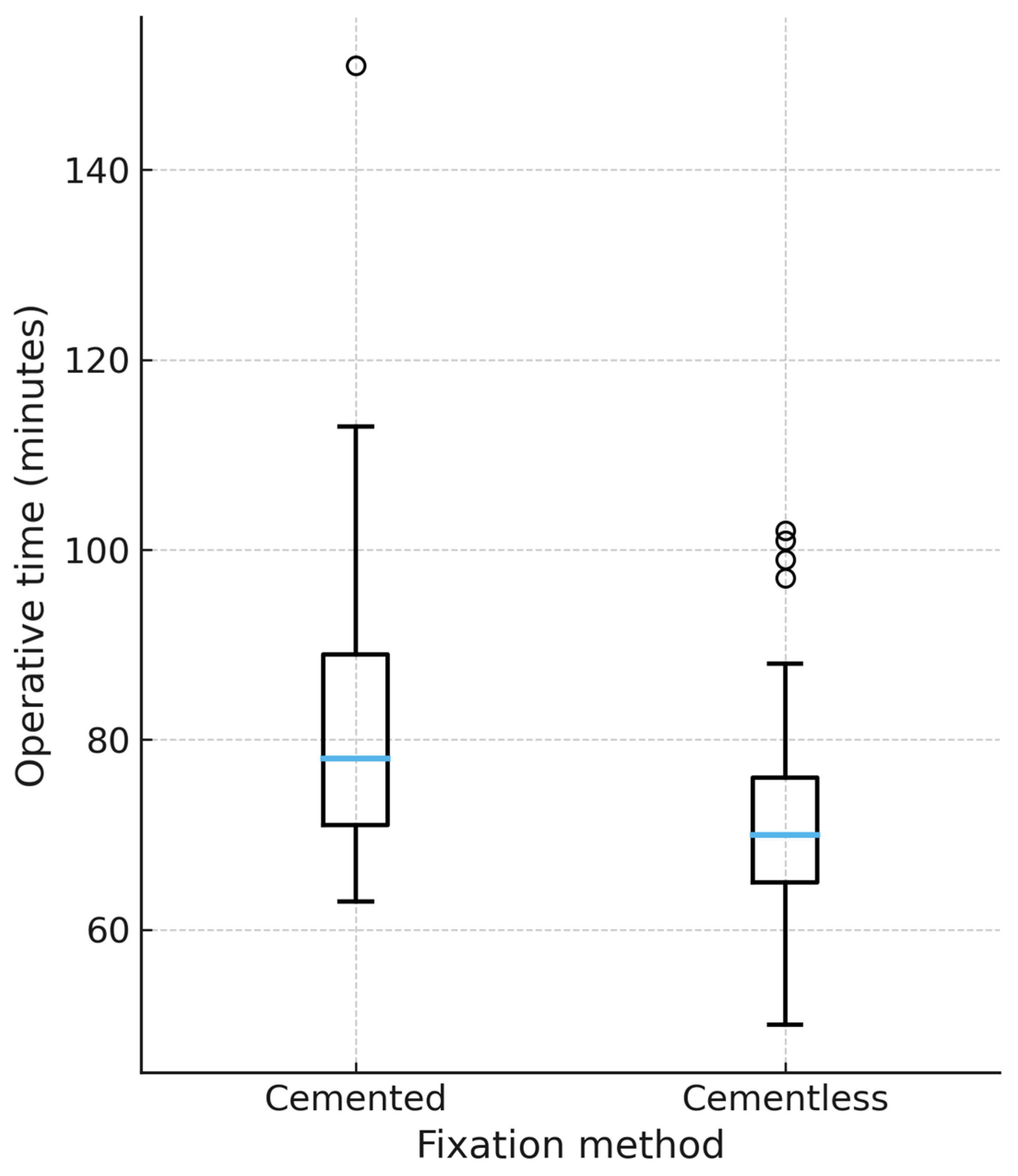
3.2. Operative Time
3.3. Hemoglobin Trajectory
3.4. Propensity Score Analysis
4. Discussion
5. Conclusions
Supplementary Materials
Author Contributions
Funding
Institutional Review Board Statement
Data Availability Statement
Conflicts of Interest
References
- Papas, P.V.; Congiusta, D.; Cushner, F.D. Cementless versus Cemented Fixation in Total Knee Arthroplasty. J. Knee Surg. 2019, 32, 596–599. [Google Scholar] [CrossRef]
- Romanini, E.; Decarolis, F.; Luzi, I.; Zanoli, G.; Venosa, M.; Laricchiuta, P.; Carrani, E.; Torre, M. Total Knee Arthroplasty in Italy: Reflections from the Last Fifteen Years and Projections for the next Thirty. Int. Orthop. 2019, 43, 133–138. [Google Scholar] [CrossRef]
- Kiadaliri, A.A.; Lohmander, L.S.; Moradi-Lakeh, M.; Petersson, I.F.; Englund, M. High and Rising Burden of Hip and Knee Osteoarthritis in the Nordic Region, 1990–2015. Acta Orthop. 2018, 89, 177–183. [Google Scholar] [CrossRef] [PubMed]
- Chahidi, E.; Martinov, S.; Simion, F.; Mercier, C.; Sabot, L.; Kyriakydis, T.; Callewier, A.; Hernigou, J. Survivorship and Complications of Cementless Compared to Cemented Posterior-Stabilized Total Knee Arthroplasties: A Systematic Review and Meta-Analysis. SICOT J. 2024, 10, 22. [Google Scholar] [CrossRef]
- Schwabe, M.T.; Hannon, C.P. The Evolution, Current Indications and Outcomes of Cementless Total Knee Arthroplasty. J. Clin. Med. 2022, 11, 6608. [Google Scholar] [CrossRef]
- Agarwal, A.R.; Kuyl, E.-V.; Gu, A.; Golladay, G.J.; Thakkar, S.C.; Siram, G.; Unger, A.; Rao, S. Trend of Using Cementless Total Knee Arthroplasty: A Nationwide Analysis from 2015 to 2021. Arthroplasty 2024, 6, 24. [Google Scholar] [CrossRef] [PubMed]
- Sohn, S.; Cho, N.; Oh, H.; Kim, Y.D.; Jo, H.; Koh, I.J. No Blood Loss Increase in Cementless vs. Cemented Fixation Following Bilateral Total Knee Arthroplasty: A Propensity Score Matching Study. Medicina 2023, 59, 1458. [Google Scholar] [CrossRef]
- Choi, K.Y.; Kim, Y.D.; Cho, N.; Kim, M.S.; In, Y.; You, H.Y.; Koh, I.J. Postoperative Hemodynamics of Total Knee Arthroplasty Unaffected by Cementless Approach under Contemporary Patient Blood Management Protocol: A Propensity Score-Matched Study. J. Clin. Med. 2023, 12, 6980. [Google Scholar] [CrossRef] [PubMed]
- Kim, Y.D.; Cho, N.; Sohn, S.; Park, S.; You, H.Y.; Koh, I.J. Comparison of Postoperative Blood Loss in Cementless and Cemented Total Knee Arthroplasty: A Systematic Review. Arch. Orthop. Trauma Surg. 2024, 145, 18. [Google Scholar] [CrossRef]
- Puri, S.; Alpaugh, K.; Chiu, Y.-F.; Ast, M.P.; Jerabek, S.; Westrich, G.; Chalmers, B. Cementless Versus Cemented Total Knee Arthroplasty of the Same Design: Shorter Operative Times and Minimal Differences in Early Outcomes. HSS J. 2024, 20, 202–207. [Google Scholar] [CrossRef]
- Zhao, E.; Zhu, X.; Tang, H.; Luo, Z.; Zeng, W.; Zhou, Z. Randomized Controlled Trial of a Novel Cementless vs. Cemented Total Knee Arthroplasty: Early Clinical and Radiographic Outcomes. Orthop. Surg. 2024, 16, 2671–2679. [Google Scholar] [CrossRef] [PubMed]
- Hannon, C.P.; Salih, R.; Barrack, R.L.; Nunley, R.M. Cementless Versus Cemented Total Knee Arthroplasty: Concise Midterm Results of a Prospective Randomized Controlled Trial. J. Bone Jt. Surg. Am. 2023, 105, 1430–1434. [Google Scholar] [CrossRef]
- Lawrie, C.M.; Schwabe, M.; Pierce, A.; Nunley, R.M.; Barrack, R.L. The Cost of Implanting a Cemented versus Cementless Total Knee Arthroplasty. Bone Jt. J. 2019, 101-B, 61–63. [Google Scholar] [CrossRef]
- Mosher, Z.A.; Bolognesi, M.P.; Malkani, A.L.; Meneghini, R.M.; Oni, J.K.; Fricka, K.B. Cementless Total Knee Arthroplasty: A Resurgence-Who, When, Where, and How? J. Arthroplast. 2024, 39 (Suppl. S2), S45–S53. [Google Scholar] [CrossRef] [PubMed]
- Molho, D.; Vaidya, S.; O’Sullivan, D.; Vye, D.; Nelson, S.; Bernstein, J. Cemented vs Cementless Robotic-Assisted Total Knee Arthroplasty Yield Similar Short-Term Clinical Outcomes. Arthroplast. Today 2024, 27, 101360. [Google Scholar] [CrossRef] [PubMed] [PubMed Central]
- Haslhofer, D.J.; Kraml, N.; Stadler, C.; Gotterbarm, T.; Klotz, M.C.; Klasan, A. Cementless fixation in total knee arthroplasty: Current evidence and future perspective. Arch. Orthop. Trauma Surg. 2024, 145, 101. [Google Scholar] [CrossRef] [PubMed] [PubMed Central]
- Wang, Q.; Goswami, K.; Shohat, N.; Aalirezaie, A.; Manrique, J.; Parvizi, J. Longer Operative Time Results in a Higher Rate of Subsequent Periprosthetic Joint Infection in Patients Undergoing Primary Joint Arthroplasty. J. Arthroplast. 2019, 34, 947–953. [Google Scholar] [CrossRef] [PubMed]
- Ishii, Y.; Matsuda, Y. Perioperative Blood Loss in Cementless or Hybrid Total Knee Arthroplasty without Patellar Resurfacing: A Prospective, Randomized Study. J. Arthroplast. 2005, 20, 972–976. [Google Scholar] [CrossRef]
- Zhang, W.; Liu, A.; Hu, D.; Tan, Y.; Al-Aidaros, M.; Pan, Z. Effects of the timing of tourniquet release in cemented total knee arthroplasty: A systematic review and meta-analysis of randomized controlled trials. J. Orthop. Surg. Res. 2014, 9, 125. [Google Scholar] [CrossRef] [PubMed] [PubMed Central]
- Basso, M.; Arnaldi, E.; Bruno, A.A.M.; Formica, M. Outcomes of cementless fixation in medial unicompartmental knee arthroplasty: Review of recent literature. Musculoskelet. Surg. 2021, 105, 131–138. [Google Scholar] [CrossRef] [PubMed]
- Jiang, F.Z.; Zhong, H.M.; Hong, Y.C.; Zhao, G.F. Use of a tourniquet in total knee arthroplasty: A systematic review and meta-analysis of randomized controlled trials. J. Orthop. Sci. 2015, 20, 110–123. [Google Scholar] [CrossRef] [PubMed]
- Beckers, G.; Mazy, D.; Manche, E.; Geulette, B. Impact of tourniquet use in total knee arthroplasty on functional recovery and postoperative pain: A prospective study. Arch. Orthop. Trauma Surg. 2024, 144, 1361–1367. [Google Scholar] [CrossRef] [PubMed]
- Yazdi, H.; Choo, K.J.; Restrepo, C.; Hammad, M.; Sherman, M.; Parvizi, J. Short-term results of triathlon cementless versus cemented primary total knee arthroplasty. Knee 2020, 27, 1248–1255. [Google Scholar] [CrossRef] [PubMed]
- Liu, D.; Graham, D.; Gillies, K.; Gillies, R.M. Effects of tourniquet use on quadriceps function and pain in total knee arthroplasty. Knee Surg. Relat. Res. 2014, 26, 207–213. [Google Scholar] [CrossRef] [PubMed] [PubMed Central]
- Magan, A.A.; Dunseath, O.; Armonis, P.; Fontalis, A.; Kayani, B.; Haddad, F.S. Tourniquet use in total knee arthroplasty and the risk of infection: A meta-analysis of randomised controlled trials. J. Exp. Orthop. 2022, 9, 62. [Google Scholar] [CrossRef] [PubMed] [PubMed Central]
- Xie, J.; Yu, H.; Wang, F.; Jing, J.; Li, J. A comparison of thrombosis in total knee arthroplasty with and without a tourniquet: A meta-analysis of randomized controlled trials. J. Orthop. Surg. Res. 2021, 16, 408. [Google Scholar] [CrossRef] [PubMed] [PubMed Central]
- Polizzotti, G.; Lamberti, A.; Mancino, F.; Baldini, A. New Horizons of Cementless Total Knee Arthroplasty. J. Clin. Med. 2023, 13, 233. [Google Scholar] [CrossRef] [PubMed] [PubMed Central]




| Section | Variable | Cemented | Cementless | SMD |
|---|---|---|---|---|
| Pre-match | Age (years) | 69.3 ± 8.1 | 68.0 ± 7.8 | −154 |
| Pre-match | Male, n (%) | 21 (36.2%) | 41 (66.1%) | 599 |
| Pre-match | CR design, n (%) | 19 (32.8%) | 33 (53.2%) | 413 |
| Pre-match | Operative time (minutes) | 79.5 ± 15.3 | 72.2 ± 11.9 | |
| Pre-match | ΔHb POD1 (g/dL) | 1.6 ± 0.8 | 2.1 ± 0.7 | |
| Pre-match | ΔHb POD3 (g/dL) | 2.7 ± 1.0 | 3.2 ± 1.0 | |
| Pre-match | ΔHb POD5 (g/dL) | 2.9 ± 1.1 | 3.2 ± 1.0 | |
| Post-match | Age (years) | 69.3 ± 8.1 | 67.9 ± 8.0 | −165 |
| Post-match | Male, n (%) | 21 (36.2%) | 38 (65.5%) | 586 |
| Post-match | CR design, n (%) | 19 (32.8%) | 31 (53.4%) | 418 |
| Post-match | Operative time (minutes) | 79.5 ± 15.3 | 72.3 ± 12.2 | |
| Post-match | ΔHb POD1 (g/dL) | 1.6 ± 0.8 | 2.2 ± 0.7 | |
| Post-match | ΔHb POD3 (g/dL) | 2.7 ± 1.0 | 3.3 ± 1.0 | |
| Post-match | ΔHb POD5 (g/dL) | 2.9 ± 1.1 | 3.2 ± 1.0 |
Disclaimer/Publisher’s Note: The statements, opinions and data contained in all publications are solely those of the individual author(s) and contributor(s) and not of MDPI and/or the editor(s). MDPI and/or the editor(s) disclaim responsibility for any injury to people or property resulting from any ideas, methods, instructions or products referred to in the content. |
© 2025 by the authors. Licensee MDPI, Basel, Switzerland. This article is an open access article distributed under the terms and conditions of the Creative Commons Attribution (CC BY) license (https://creativecommons.org/licenses/by/4.0/).
Share and Cite
Basso, M.; Anzillotti, G.; Ruosi, L.; Kon, E.; Minelli, M.; Arnaldi, E. Cementless vs. Cemented Total Knee Arthroplasty: Reduced Operative Time with Comparable Perioperative Safety—A Retrospective Cohort from a Tertiary Care Center. J. Clin. Med. 2025, 14, 7890. https://doi.org/10.3390/jcm14217890
Basso M, Anzillotti G, Ruosi L, Kon E, Minelli M, Arnaldi E. Cementless vs. Cemented Total Knee Arthroplasty: Reduced Operative Time with Comparable Perioperative Safety—A Retrospective Cohort from a Tertiary Care Center. Journal of Clinical Medicine. 2025; 14(21):7890. https://doi.org/10.3390/jcm14217890
Chicago/Turabian StyleBasso, Marco, Giuseppe Anzillotti, Luca Ruosi, Elizaveta Kon, Marco Minelli, and Enrico Arnaldi. 2025. "Cementless vs. Cemented Total Knee Arthroplasty: Reduced Operative Time with Comparable Perioperative Safety—A Retrospective Cohort from a Tertiary Care Center" Journal of Clinical Medicine 14, no. 21: 7890. https://doi.org/10.3390/jcm14217890
APA StyleBasso, M., Anzillotti, G., Ruosi, L., Kon, E., Minelli, M., & Arnaldi, E. (2025). Cementless vs. Cemented Total Knee Arthroplasty: Reduced Operative Time with Comparable Perioperative Safety—A Retrospective Cohort from a Tertiary Care Center. Journal of Clinical Medicine, 14(21), 7890. https://doi.org/10.3390/jcm14217890

