Vitamin D Receptor rs7975232 (ApaI) Variant, Inflammatory Markers, and Patient-Reported Outcomes in Orthopedic Surgery
Abstract
1. Introduction
Key Points
- The VDR rs7975232 (ApaI) variant may be associated with systemic inflammatory markers and patient-reported quality of life.
- Genotyping provides lifelong molecular information that could complement, rather than replace, conventional laboratory markers.
- Future studies may explore whether incorporating VDR genotyping could inform individualized perioperative monitoring or rehabilitation strategies.
- This study exemplifies the broader innovation in laboratory medicine, where integration of molecular and biochemical markers drives precision diagnostics and personalized care.
2. Materials and Methods
2.1. Participants
2.2. Measures
2.3. Genotyping
2.4. Statistics
3. Results
| Sex | Men = 112 M (SD)/Me * [Q1:Q3] * | Women = 180 M (SD)/Me * [Q1:Q3] * | Student’s t-Test/Mann–Whitney U Test * | p-Value | 
|---|---|---|---|---|
| Age | 66.09 (9.83) | 67.08 (10.38) | −0.8116 | 0.41767 | 
| BMI | 29.96 (4.98) | 28.76 (5.06) | 1.96907 | 0.04991 # | 
| WBC | 7.24 (1.89) | 6.82 (2.00) | 1.7692 | 0.0779 | 
| LYM | 1.73 (0.55) | 1.69 (0.58) | 0.6586 | 0.51068 | 
| NEU | 4.74 (1.63) | 4.47 (1.73) | 1.323 | 0.18687 | 
| MONO | 0.57 (0.18) | 0.50 (0.17) | 3.794 | 0.00018 #ǂ | 
| EOS | 0.13 [0.06:0.18] | 0.12 [0.04:0.16] | 1.2863 * | 0.19832 | 
| BASO | 0.04 [0.02:0.05] | 0.04 [0.03:0.05] | −0.7247 * | 0.46859 | 
| HGB | 14.49 (1.54) | 13.37 (1.20) | 6.9628 | 0.00001 #ǂ | 
| HCT % | 43.02 (4.22) | 40.07 (4.14) | 5.8694 | 0.00001 #ǂ | 
| MCV | 91.48 (5.24) | 90.02 (4.92) | 2.4084 | 0.01664 # | 
| MCH | 30.81 (2.00) | 29.79 (2.11) | 4.1028 | 0.00005 #ǂ | 
| MCHC | 33.68 (0.93) | 33.14 (0.95) | 4.7251 | 0.00001 #ǂ | 
| PLT | 240.47 (60.87) | 267.11 (76.33) | −3.1257 | 0.00195 #ǂ | 
| PDW | 14.77 [10.70:13.40] | 12.50 [11.10:13.50] | −0.7344 * | 0.46266 | 
| MPV | 10.35 [9.70:11.10] | 12.31 [9.80:11.10] | −0.9857 * | 0.32425 | 
| PCT | 0.54 [0.21:0.28] | 0.36 [0.23:0.33] | 3.7583 * | 0.00017 #ǂ | 
| CRP | 7.53 [0.85:4.09] | 7.81 [1.07:4.83] | −1.0276 * | 0.30411 | 
| 25(OH)D3 | 29.02 [19.10:34.40] | 34.80 [22.40:42.90] | −3.2759 * | 0.00105 #ǂ | 
| HbA1c | 5.68 [5.36:6.03] | 5.80 [5.38:5.94] | 0.4746 * | 0.63505 | 
| Creatinine | 90.34 [72.00:99.50] | 73.98 [61.00:82.00] | 6.3369 * | 0.00001 #ǂ | 
| SF-36 PCS | 46.04 (10.76) | 45.43 (10.63) | −0.4467 | 0.6554 | 
| SF-36 MCS | 47.98 (15.46) | 47.73 (14.57) | −0.1272 | 0.89892 | 
| Variable | Reference β [−95%CI, +95%CI] p Value | rs7975232 A/A β [−95%CI, +95%CI] p Value | rs7975232 C/C β [−95%CI, +95%CI] p Value | Age β [−95%CI, +95%CI] p Value | BMI β [−95%CI, +95%CI] p Value | 
|---|---|---|---|---|---|
| WBC | 5.90 [3.89, 7.91] p < 0.00001 # | 0.35 [−0.21, 0.91] p = 0.22858 | 0.43 [−0.12, 0.98] p = 0.12468 | −0.004 [−0.03, 0.02] p = 0.74017 | 0.04 [−0.01, 0.08] p = 0.09360 | 
| LYM | 1.91 [1.33, 2.49] p < 0.00001 # | −0.07 [−0.23, 0.09] p = 0.39711 | −0.06 [−0.22, 0.10] p = 0.45858 | −0.01 [−0.02, −0.003] p = 0.00405 # | 0.01 [0.002, 0.03] p = 0.01795 # | 
| NEU | 3.50 [1.78, 5.21] p = 0.00008 # | 0.42 [−0.07, 0.90] p = 0.09243 | 0.53 [0.05, 1.00] p = 0.028849 # | 0.007 [−0.01, 0.03] p = 0.50463 | 0.01 [−0.03, 0.05] p = 0.49141 | 
| MONO | 0.31 [0.13, 0.48] p = 0.00065 # | −0.003 [−0.05, 0.05] p = 0.91245 | −0.03 [−0.07, 0.02] p = 0.28169 | 0.0003 [−0.002, 0.002] p = 0.73708 | 0.007 [0.003, 0.01] p = 0.00059 # | 
| EOS | 0.03 [−0.07, 0.13] p = 0.58019 | 0.01 [−0.02, 0.04] p = 0.49614 | −0.005 [−0.03, 0.02] p = 0.72198 | 0.0001 [−0.001, 0.001] p = 0.89897 | 0.003 [0.001, 0.005] p = 0.01324 # | 
| log EOS * | −3.36 [4.23, −2.49] p = 0.00001 # | 0.10 [−0.15, 0.35] p = 0.42711 | −0.08 [−0.31, 0.16] p = 0.518327 | 0.001 [−0.01, 0.01] p = 0.82238 | 0.03 [0.01, 0.05] p = 0.00241 # | 
| BASO | 0.04 [0.02, 0.06] p = 0.00001 # | 0.002 [−0.003, 0.007] p = 0.47394 | −0.002 [−0.007, 0.003] p = 0.46312 | −0.0002 [−0.0004, −0.00002] p = 0.03237 # | 0.0003 [−0.0001, 0.0007] p = 0.13294 | 
| log BASO * | −3.40 [−3.91, −2.89] p = 0.00001 # | 0.03 [−0.11, 0.18] p = 0.66737 | −0.06 [−0.20, 0.08] p = 0.37578 | −0.005 [−0.01, 0.0005] p = 0.07499 | 0.01 [−0.001, 0.02] p = 0.06505 | 
| HGB | 13.97 [12.50, 15.45] p < 0.00001 # | 0.02 [−0.39, 0.44] p = 0.92756 | −0.04 [−0.45, 0.36] p = 0.8449 | −0.03 [−0.03, 0.001] p = 0.06171 | 0.03 [−0.003, 0.06] p = 0.07303 | 
| HCT % | 38.86 [34.37, 43.36] p = <0.00001 # | −0.04 [−1.31, 1.23] p = 0.94957 | 0.21 [−1.03, 1.44] p = 0.74217 | −0.03 [−0.08, 0.02] p = 0.22091 | 0.15 [0.05, 0.25] p = 0.00358 # | 
| MCV | 88.19 [82.91, 93.46] p < 0.00001 # | 0.27 [−1.21, 1.76] p = 0.71773 | 0.62 [−0.83, 2.07] p = 0.40239 | 0.05 [−0.01, 0.11] p = 0.09445 | −0.04 [−0.16, 0.08] p = 0.50773 | 
| MCH | 30.12 [27.90, 32.34] p < 0.00001 # | −0.03 [−0.65, 0.60] p = 0.93714 | 0.09 [−0.52, 0.70] p = 0.77402 | 0.01 [−0.01, 0.04] p = 0.38494 | −0.02 [−0.07, 0.03] p = 0.34984 | 
| MCHC | 34.19 [33.19, 35.19] p < 0.00001 # | −0.18 [−0.46, 0.10] p= 0.20618 | −0.20 [−0.47, 0.08] p = 0.16281 | −0.01 [−0.02, 0.004] p = 0.20587 | −0.01 [−0.03, 0.01] p = 0.41115 | 
| PLT | 332.95 [258.96, 406.95] p < 0.00001 # | 3.54 [−17.33, 24.42] p = 0.73856 | 7.21 [−13.12, 27.54] p = 0.485495 | −1.11 [−1.94, −0.28] p = 0.00868 # | −0.15 [−1.80, 1.51] p = 0.85741 | 
| PDW | 12.94 [−5.61, 31.49] p = 0.17071 | 4.06 [−1.16, 9.29] p = 0.12683 | −0.10 [−5.19, 4.99] p = 0.96901 | −0.09 [−0.30, 0.12] p = 0.38427 | 0.19 [−0.22, 0.61] p = 0.35570 | 
| log PDW * | 2.41 [2.15, 2.68] p < 0.00001 # | 0.03 [−0.04, 0.11] p = 0.35934 | 0.01 [−0.06, 0.09] p = 0.70598 | −0.001 [−0.004, 0.002] p = 0.56422 | 0.005 [−0.001, 0.01] p = 0.10452 | 
| MPV | 16.67 [−3.18, 36.51] p= 0.09942 | −2.26 [−7.84, 3.33] p = 0.42751 | −2.10 [−7.54, 3.34] p = 0.44835 | −0.05 [−0.28, 0.17] p = 0.64328 | −0.02 [−0.46, 0.43] p = 0.93623 | 
| log MPV * | 2.32 [2.09, 2.55] p < 0.00001 # | −0.03 [−0.09, 0.04] p = 0.40924 | −0.01 [−0.07, 0.05] p = 0.69332 | −0.00004 [−0.003, 0.003] p = 0.97259 | 0.002 [−0.004, 0.007] p = 0.54348 | 
| PCT | 2.30 [0.62, 3.99] p = 0.00753 # | −0.10 [−0.57, 0.37] p = 0.66561 | 0.21 [−0.67, 0.25] p = 0.37789 | −0.02 [−0.04, −0.003] p= 0.02460 # | −0.01 [−0.05, 0.03] p = 0.53566 | 
| log PCT * | −0.75 [−1.25, −0.25] p = 0.00343 # | 0.0006 [−0.14, 0.14] p = 0.99351 | 0.003 [−0.14, 0.13] p = 0.96569 | −0.008 [−0.01, −0.003] p= 0.00469 # | 0.00003 [−0.01, 0.01] p = 0.99618 | 
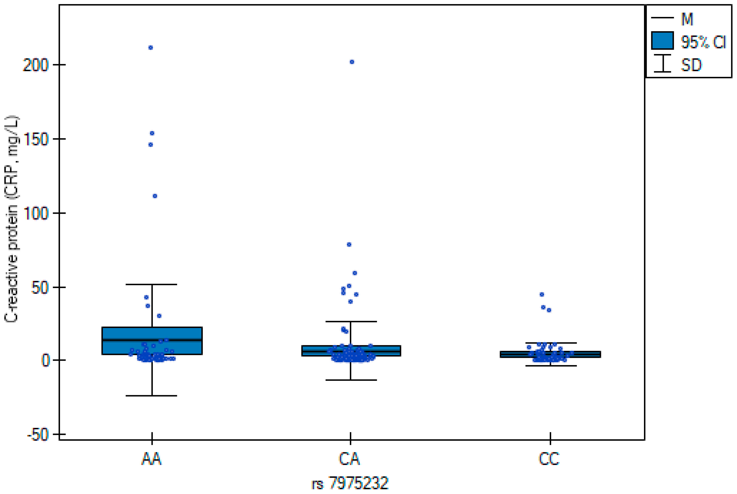
| CRP | 8.86 [−15.29, 33.02] p = 0.47084 | 7.80 [0.98, 14.62] p= 0.02504 # | −2.03 [−8.67, 4.61] p = 0.54765 | 0.09 [−0.18, 0.37] p = 0.49114 | −0.30 [−0.84, 0.24] p = 0.27446 | 
| log CRP * | 0.49 [−0.79, 1.78] p = 0.45319 | 0.35 [0.01, 0.71] P = 0.05716 | −0.07 [−0.42, 0.28] p = 0.69010 | −0.002 [−0.02, 0.01] p = 0.8168 | 0.02 [−0.01, 0.04] p = 0.30056 | 
| 25(OH)D3 | 23.88 [8.19, 39.57] p = 0.00298 # | −1.58 [−6.02, 2.86] p= 0.48440 | 2.25 [−2.05, 6.56] p = 0.30261 | 0.32 [0.15, 0.50] p = 0.00036 # | −0.47 [−0.82, −0.12] p = 0.00944 # | 
| log 25(OH)D3 * | 2.95 [2.38, 3.51] p < 0.00001 # | −0.05 [−0.21, 0.11] p= 0.52645 | 0.10 [−0.05, 0.26] p = 0.19874 | 0.01 [0.005, 0.02] p = 0.00079 # | −0.01 [−0.02, 0.001] p = 0.06461 | 
| HbA1c | 4.09 [2.26, 5.93] p = 0.00002 # | 0.08 [−0.44, 0.60] p = 0.75801 | 0.16 [−0.35, 0.66] p = 0.5405 | 0.01 [−0.01, 0.03] p= 0.33254 | 0.03 [−0.01, 0.07] p = 0.13255 | 
| log HbA1c * | 1.55 [0.79, 2.31] p = 0.00007 # | −0.05 [−0.27, 0.16] p = 0.63397 | −0.11 [−0.32, 0.10] p = 0.29740 | −0.00001 [−0.01, 0.01] p= 0.99850 | 0.005 [−0.01, 0.02] p = 0.58861 | 
| Creatinine | 17.37 [−9.88, 44.62] p = 0.21062 | 4.88 [−2.80, 12.57] p = 0.21195 | 1.18 [−6.21, 8.59] p = 0.75317 | 0.61 [0.31, 0.92] p = 0.00010 # | 0.70 [0.09, 1.30] p = 0.02409 # | 
| log Creatinine * | 3.66 [3.39, 3.94] p < 0.00001 # | 0.07 [−0.01, 0.14] p = 0.08968 | 0.01 [−0.06, 0.09] p = 0.70462 | 0.006 [0.003, 0.01] p = 0.00004 # | 0.008 [0.002, 0.01] p = 0.01179 # | 
| SF−36 PCS | 50.96 [39.13, 62.80] p < 0.00001 # | 1.27 [−2.13, 4.67] p = 0.46216 | 0.13 [−3.08, 3.34] p = 0.93617 | −0.02 [−0.15, 0.11] p = 0.73426 | −0.14 [−0.42, 0.13] p = 0.30744 | 
| SF−36 MCS | 45.67 [29.19, 62.15] p < 0.00001 # | 1.80 [−2.94, 6.53] p = 0.45565 | 4.01 [−0.46, 8.48] p = 0.07875 | −0.02 [−0.20, 0.16] p = 0.84693 | 0.07 [−0.32, 0.45] p = 0.73201 | 
4. Discussion
5. Conclusions
Supplementary Materials
Author Contributions
Funding
Institutional Review Board Statement
Informed Consent Statement
Data Availability Statement
Conflicts of Interest
References
- Charoenngam, N.; Holick, M.F. Immunologic Effects of Vitamin D on Human Health and Disease. Nutrients 2020, 12, 2097. [Google Scholar] [CrossRef]
- Khammissa, R.A.G.; Fourie, J.; Dheda, K.; Feller, L.; Raubenheimer, E.J.; Lemmer, J.; Altini, M. The Biological Activities of Vitamin D and Its Receptor in Relation to Calcium and Bone Homeostasis, Cancer, Immune and Cardiovascular Systems, Skin Biology, and Oral Health. Biomed Res. Int. 2018, 2018, 9276380. [Google Scholar] [CrossRef]
- Radwan, R.; Elsalakawy, W.; Abdelaziz, D.; Abdelrazek, D.; Radwan, S. BsmI, ApaI and FokI variants of vitamin D receptor gene polymorphism as predictors of response to treatment in immune thrombocytopenia patients. Mol. Cell. Biochem. 2025, 480, 1919–1929. [Google Scholar] [CrossRef] [PubMed]
- Ferrer-Suay, S.; Alonso-Iglesias, E.; Tortajada-Girbés, M.; Carrasco-Luna, J.; Codoñer-Franch, P. Vitamin D receptor gene ApaI and FokI polymorphisms and its association with inflammation and oxidative stress in vitamin D sufficient Caucasian Spanish children. Transl. Pediatr. 2021, 10, 103–111. [Google Scholar] [CrossRef] [PubMed]
- Mondockova, V.; Kovacova, V.; Zemanova, N.; Babikova, M.; Martiniakova, M.; Galbavy, D.; Omelka, R. Vitamin D Receptor Gene Polymorphisms Affect Osteoporosis-Related Traits and Response to Antiresorptive Therapy. Genes 2023, 14, 193. [Google Scholar] [CrossRef] [PubMed]
- Garnero, P.; Munoz, F.; Borel, O.; Sornay-Rendu, E.; Delmas, P.D. Vitamin D Receptor Gene Polymorphisms Are Associated with the Risk of Fractures in Postmenopausal Women, Independently of Bone Mineral Density. J. Clin. Endocrinol. Metab. 2005, 90, 4829–4835. [Google Scholar] [CrossRef]
- Kempinska-Podhorodecka, A.; Milkiewicz, M.; Jabłoński, D.; Milkiewicz, P.; Wunsch, E. ApaI Polymorphism of Vitamin D Receptor Affects Health-Related Quality of Life in Patients with Primary Sclerosing Cholangitis. PLoS ONE 2017, 12, e0176264. [Google Scholar] [CrossRef]
- Zhao, X.-Q.; Wan, H.-Y.; He, S.-Y.; Qin, H.-J.; Yu, B.; Jiang, N. Vitamin D Receptor Genetic Polymorphisms Associate with a Decreased Susceptibility to Extremity Osteomyelitis Partly by Inhibiting Macrophage Apoptosis through Inhibition of Excessive ROS Production via VDR-Bmi1 Signaling. Front. Physiol. 2022, 13, 808272. [Google Scholar] [CrossRef]
- Huang, J.; Ushiyama, T.; Inoue, K.; Kawasaki, T.; Hukuda, S. Vitamin D Receptor Gene Polymorphisms and Osteoarthritis of the Hand, Hip, and Knee: A Case–Control Study in Japan. Rheumatology 2000, 39, 79–84. [Google Scholar] [CrossRef]
- Li, H.M.; Liu, Y.; Zhang, R.J.; Ding, J.Y.; Shen, C.L. Vitamin D Receptor Gene Polymorphisms and Osteoarthritis: A Meta-Analysis. Rheumatology 2021, 60, 538–548. [Google Scholar] [CrossRef]
- Usategui-Martín, R.; De Luis-Román, D.-A.; Fernández-Gómez, J.M.; Ruiz-Mambrilla, M.; Pérez-Castrillón, J.-L. Vitamin D Receptor (VDR) Gene Polymorphisms Modify the Response to Vitamin D Supplementation: A Systematic Review and Meta-Analysis. Nutrients 2022, 14, 360. [Google Scholar] [CrossRef] [PubMed]
- Agliardi, C.; Guerini, F.R.; Bolognesi, E.; Zanzottera, M.; Clerici, M. VDR Gene Single Nucleotide Polymorphisms and Autoimmunity: A Narrative Review. Biology 2023, 12, 916. [Google Scholar] [CrossRef] [PubMed]
- Pepineli, A.; Alves, H.; Tiyo, B.; Macedo, L.; Visentainer, L.; De Lima Neto, Q.; Zacarias, J.; Sell, A.; Visentainer, J. Vitamin D Receptor Gene Polymorphisms Are Associated with Leprosy in Southern Brazil. Front. Immunol. 2019, 10, 2157. [Google Scholar] [CrossRef] [PubMed]
- Miyamoto, K.; Kesterson, R.A.; Yamamoto, H.; Taketani, Y.; Nishiwaki, E.; Tatsumi, S.; Inoue, Y.; Morita, K.; Takeda, E.; Pike, J.W. Structural Organization of the Human Vitamin D Receptor Chromosomal Gene and Its Promoter. Mol. Endocrinol. 1997, 11, 1165–1179. [Google Scholar] [CrossRef]
- Gross, C.; Krishnan, A.V.; Malloy, P.J.; Eccleshall, T.R.; Zhao, X.-Y.; Feldman, D. The Vitamin D Receptor Gene Start Codon Polymorphism: A Functional Analysis of FokI Variants. J. Bone Miner. Res. 1998, 13, 1691–1699. [Google Scholar] [CrossRef]
- Al-Gharrawi, A.; Anvari, E.; Fateh, A. Association of ApaI rs7975232 and BsmI rs1544410 in clinical outcomes of COVID-19 patients according to different SARS-CoV-2 variants. Sci. Rep. 2023, 13, 3612. [Google Scholar] [CrossRef]
- Apaydın, M.; Beysel, S.; Eyerci, N.; Genc, H.; Yildiz, B.O.; Aydin, O. A VDR Gene FokI Polymorphism Is Associated with Gestational Diabetes Mellitus in Turkish Women. BMC Med. Genet. 2019, 20, 82. [Google Scholar] [CrossRef]
- Apaydin, T.; Polat, H.; Dincer Yazan, C.; Ilgin, C.; Elbasan, O.; Dashdamirova, S.; Yazan, C.D.; Elbasan, O.; Ilgin, C.; Bilgin, H.; et al. Effects of Vitamin D Receptor Gene Polymorphisms on the Prognosis of COVID-19. Clin. Endocrinol. 2022, 96, 819–830. [Google Scholar] [CrossRef]
- Alhammadin, G.; Jarrar, Y.; Madani, A.; Lee, S.J. Exploring the Influence of VDR Genetic Variants TaqI, ApaI, and FokI on COVID-19 Severity and Long-COVID-19 Symptoms. J. Pers. Med. 2023, 13, 1663. [Google Scholar] [CrossRef]
- Healy, K.D.; Zella, J.B.; Prahl, J.M.; DeLuca, H.F. Regulation of the Murine Renal Vitamin D Receptor by 1,25-Dihydroxyvitamin D3 and Calcium. Proc. Natl. Acad. Sci. USA 2003, 100, 9733–9737. [Google Scholar] [CrossRef]
- Athanassiou, L.; Mavragani, C.P.; Koutsilieris, M. The Immunomodulatory Properties of Vitamin D. Mediterr. J. Rheumatol. 2022, 33, 7–13. [Google Scholar] [CrossRef] [PubMed]
- Sassi, F.; Tamone, C.; D’Amelio, P. Vitamin D: Nutrient, Hormone, and Immunomodulator. Nutrients 2018, 10, 1656. [Google Scholar] [CrossRef]
- Paz, J.L.P.; Silvestre, M.P.S.C.A.; Moura, L.S.; Furlaneto, I.P.; Rodrigues, Y.C.; Lima, K.V.B.; Lima, L.N.G.C. Association of the Polymorphism of the Vitamin D Receptor Gene (VDR) with the Risk of Leprosy in the Brazilian Amazon. Biosci. Rep. 2021, 41, BSR20204102. [Google Scholar] [CrossRef] [PubMed]
- Mestiri, S.; Zaaber, I.; Nasr, I.; Marmouch, H. Implication of VDR Rs7975232 and FCGR2A Rs1801274 Gene Polymorphisms in the Risk and the Prognosis of Autoimmune Thyroid Diseases in the Tunisian Population. Balkan J. Med. Genet. 2020, 23, 69–76. [Google Scholar] [CrossRef] [PubMed]
- Bugaj, B.; Wielińska, J.; Świerkot, J.; Bogunia-Kubik, K.; Górna, K. VDR Polymorphic Variants Are Related to Improvements in CRP and Disease Activity in Patients with Axial Spondyloarthritis That Undergo Anti-TNF Treatment. Genes 2022, 13, 1873. [Google Scholar] [CrossRef]
- Joelson, A.; Sigmundsson, F.; Karlsson, J. Responsiveness of the SF-36 general health domain: Observations from 14883 spine surgery procedures. Qual. Life Res. 2021, 31, 589–596. [Google Scholar] [CrossRef]
- Guilfoyle, M.; Seeley, H.; Laing, R. The Short Form 36 health survey in spine disease—Validation against condition-specific measures. Br. J. Neurosurg. 2009, 23, 401–405. [Google Scholar] [CrossRef]
- Protas, V.; Pogossyan, G.; Li, K. Frequency of rs731236, rs7975232 and rs1544410 single nucleotide polymorphisms of Vitamin-D Receptor (VDR) gene among the Kazakh ethnic group. Fundam. Exp. Biol. 2024, 11429, 57–63. [Google Scholar] [CrossRef]
- Yang, H.; Wu, X. The Correlation Between Vitamin D Receptor (VDR) Gene Polymorphisms and Autism: A Meta-analysis. J. Mol. Neurosci. 2020, 70, 260–268. [Google Scholar] [CrossRef]
- Salari, Z.; Saleh-Gohari, N.; Rezapour, M.; Khosravi, A.; Tavakkoli, H.; Salarkia, E.; Robati, F. The relationship between vitamin D receptor (VDR) rs2228570 and rs7975232 genetic variants and the risk of recurrent pregnancy loss. Meta Gene 2021, 27, 100833. [Google Scholar] [CrossRef]


| Variable | Patients Undergoing Orthopedic Surgery; n = 292 | Control; n = 90 | Student’s t-Test/χ2 * | p-Value | 
|---|---|---|---|---|
| Sex Men/Women | 112/180 (38.4%/61.6%) | 27/63 (30%/70%) | 2.0753 | 0.14970 | 
| Age (±SD) | 66.70 (±10.17) | 64.53 (±13.66) | 1.6225 | 0.1055 | 
| BMI (±SD) | 29.22 (±5.05) | 28.21 (±4.60) | 1.6839 | 0.09303 | 
| Smoking status (yes%/no%) | 31/261 (10.6%/89.4%) | 15/75 (16.7%/83.3%) | 2.3776 * | 0.12309 | 
| Hypertension (yes%/no%) | 193/99 (66.1%/33.9%) | 65/25 (72.2%/27.8%) | 1.7774 * | 0.27782 | 
| Diabetes mellitus (yes%/no%) | 57/235 (19.5%/80.5%) | 21/69 (23.3%/76.7%) | 0.61547 * | 0.43274 | 
| Hypertension medications (yes%/no%) | 180/112 (62%/38%) | 51/39 (57%/43%) | 0.71296 * | 0.39846 | 
| Antidiabetic medications (yes%/no%) | 60/232 (21%/79%) | 19/71 (21%/79%) | 0.01330 * | 0.98818 | 
| Thyroid diseases medications (yes%/no%) | 50/242 (17%/83%) | 8/82 (9%/91%) | 3.62226 * | 0.05701 | 
| Cholesterol-lowering medications (yes%/no%) | 70/222 (24%/76%) | 16/74 (18%/82%) | 1.51341 * | 0.21862 | 
| Anti-reflux medications (yes%/no%) | 40/252 (14%/86%) | 17/73 (19%/81%) | 1.45985 * | 0.22695 | 
| Asthma/COPD medications (yes%/no%) | 15/277 (5%/95%) | 2/88 (2%/98%) | 1.37453 * | 0.24103 | 
| Anti-depression/psychiatric disorders medications (yes%/no%) | 20/272 (7%/93%) | 0/90 (0%/100%) | 6.50496 * | 0.01076 | 
| Anticoagulant therapy (yes%/no%) | 40/252 (14%/86%) | 10/80 (11%/89%) | 0.40490 * | 0.52457 | 
| Anti-Rheumatologic/inflammatory diseases medications (yes%/no%) | 25/267 (9%/91%) | 0/90 (0%/100%) | 8.24508 * | 0.00409 | 
| rs7975232 ApaI | Observed (Expected) | Allele freq | χ2 p Value | |
|---|---|---|---|---|
| Patients undergoing orthopedic surgery; n = 292 | CC | 73 (75.5) | p (C) = 0.51 q (A) = 0.49 | 0.3486; p = 0.5549 | 
| CA | 151 (146.0) | |||
| AA | 68 (70.5) | |||
| Control; n = 90 | CC | 35 (34.8) | p (C) = 0.62 q (A) = 0.38 | 0.0049; p = 0.9444 | 
| CA | 42 (42.3) | |||
| AA | 13 (12.8) | |||
| Patients Undergoing Orthopedic Surgery; n = 292 | Control; n = 90 | χ2; p Value | |
|---|---|---|---|
| CC n (%) | 73 (25.00%) | 35 (38.89%) | 7.5778; p = 0.02262 | 
| CA n (%) | 151 (51.71%) | 42 (46.67%) | |
| AA n (%) | 68 (23.29%) | 13 (14.44%) | |
| C n (%) | 297 (50.86%) | 112 (62.22%) | 7.14573; p = 0.00751 | 
| A n (%) | 287 (49.14%) | 68 (37.78%) | 
| Men = 112 | Women = 180 | χ2; p Value | |
|---|---|---|---|
| Hypertension | Yes = 193 | No = 99 | 1.48468; p = 0.47600 | 
| CC n (%) | 46 (23.83%) | 27 (27.27%) | |
| CA n (%) | 98 (50.78%) | 53 (53.54%) | |
| AA n (%) | 49 (25.39%) | 19 (19.19%) | |
| Diabetes mellitus | Yes = 57 | No = 235 | 4.01995; p = 0.13399 | 
| CC n (%) | 12 (21.05%) | 61 (25.96%) | |
| CA n (%) | 26 (45.61%) | 125 (53.19%) | |
| AA n (%) | 19 (33.33%%) | 49 (20.85%) | 
| M (SD)/Me * [Q1:Q3] * | Range (Min–Max) | |
|---|---|---|
| Age | 66.70 (10.08) | 27.00–87.00 | 
| Body mass index (BMI) | 29.22 (5.05) | 17.93–48.42 | 
| White blood cells (WBC, ×109/L) | 6.98 (1.97) | 2.40–14.76 | 
| Lymphocytes (LYM, ×109/L) | 1.70 (0.57) | 0.60–4.42 | 
| Neutrophils (NEU, ×109/L) | 4.57 (1.69) | 1.13–12.44 | 
| Monocytes (MONO, ×109/L) | 0.53 (0.17) | 0.05–1.23 | 
| Eosinophils (EOS, ×109/L) | 0.09 * [0.05:0.17] * | 0.00–0.73 | 
| Basophils (BASO, ×109/L) | 0.03 * [0.02:0.05] * | 0.00–0.10 | 
| Hemoglobin (HGB, g/dL) | 13.80 (1.44) | 9.10–17.90 | 
| Hematocrit (HCT, %) | 41.20 (4.40) | 14.70–52.80 | 
| Mean corpuscular volume (MCV, fL) | 90.58 (5.08) | 76.50–120.30 | 
| Mean corpuscular hemoglobin (MCH, pg) | 30.18 (2.13) | 20.80–41.00 | 
| Mean corpuscular hemoglobin concentration (MCHC, g/dL) | 33.35 (0.97) | 28.40–36.60 | 
| Platelet count (PLT, ×109/L) | 256.89 (71.87) | 12.00–717.00 | 
| Platelet distribution width (PDW, %) | 11.90 * [10.90:13.50] * | 8.70–36.9 | 
| Mean platelet volume (MPV, fL) | 10.40 * [9.80:11.10] * | 8.60–14.7 | 
| Plateletcrit (PCT, %) | 0.26 * [0.22:0.31] * | 0.09–00.68 | 
| C-reactive protein (CRP, mg/L) | 2.01 * [0.99:4.49] * | 0.05–211.55 | 
| 25-hydroxyvitamin D3 (ng/mL) | 28.85 * [20.40:40.70] * | 0.35–101.00 | 
| Glycated hemoglobin (HbA1c, %) | 5.63 * [5.38:6.00] * | 4.72–9.85 | 
| Creatinine (µmol/L) | 73.50 * [65.00:86.50] * | 46.00–282.00 | 
| SF-36 PCS | 45.67 (10.67) | 16.37–76.08 | 
| SF-36 MCS | 47.83 (14.89) | 6.69–94.6 | 
| Disclaimer/Publisher’s Note: The statements, opinions and data contained in all publications are solely those of the individual author(s) and contributor(s) and not of MDPI and/or the editor(s). MDPI and/or the editor(s) disclaim responsibility for any injury to people or property resulting from any ideas, methods, instructions or products referred to in the content. | 
© 2025 by the authors. Licensee MDPI, Basel, Switzerland. This article is an open access article distributed under the terms and conditions of the Creative Commons Attribution (CC BY) license (https://creativecommons.org/licenses/by/4.0/).
Share and Cite
Larysz, D.; Recław, R.; Suchanecka, A.; Dziurawiec, W.; Tkacz, R.; Strońska-Pluta, A.; Chmielowiec, K.; Grzywacz, A.; Chmielowiec, J. Vitamin D Receptor rs7975232 (ApaI) Variant, Inflammatory Markers, and Patient-Reported Outcomes in Orthopedic Surgery. J. Clin. Med. 2025, 14, 7675. https://doi.org/10.3390/jcm14217675
Larysz D, Recław R, Suchanecka A, Dziurawiec W, Tkacz R, Strońska-Pluta A, Chmielowiec K, Grzywacz A, Chmielowiec J. Vitamin D Receptor rs7975232 (ApaI) Variant, Inflammatory Markers, and Patient-Reported Outcomes in Orthopedic Surgery. Journal of Clinical Medicine. 2025; 14(21):7675. https://doi.org/10.3390/jcm14217675
Chicago/Turabian StyleLarysz, Dariusz, Remigiusz Recław, Aleksandra Suchanecka, Wojciech Dziurawiec, Rafał Tkacz, Aleksandra Strońska-Pluta, Krzysztof Chmielowiec, Anna Grzywacz, and Jolanta Chmielowiec. 2025. "Vitamin D Receptor rs7975232 (ApaI) Variant, Inflammatory Markers, and Patient-Reported Outcomes in Orthopedic Surgery" Journal of Clinical Medicine 14, no. 21: 7675. https://doi.org/10.3390/jcm14217675
APA StyleLarysz, D., Recław, R., Suchanecka, A., Dziurawiec, W., Tkacz, R., Strońska-Pluta, A., Chmielowiec, K., Grzywacz, A., & Chmielowiec, J. (2025). Vitamin D Receptor rs7975232 (ApaI) Variant, Inflammatory Markers, and Patient-Reported Outcomes in Orthopedic Surgery. Journal of Clinical Medicine, 14(21), 7675. https://doi.org/10.3390/jcm14217675
 
        

 
       