Patient-Reported Outcome Measures After Botulinum Toxin for Temporomandibular-Related Myalgia: A Prospective Study
Abstract
1. Introduction
2. Materials and Methods
2.1. Participants
- Adults with TMD-related myalgia in accordance with the DC/TMD;
- Acceptance of BTX-A injections as treatment;
- Ability to understand and complete questionnaires in Dutch.
- Systemic inflammatory and connective tissue diseases (e.g., rheumatoid arthritis, ankylosing spondylitis, psoriatic arthritis);
- Surgery in the TMJ area < 12 months ago;
- Pain of dental origin;
- Limited cognitive functioning (not allowed to make medical decisions);
- Use of muscle relaxants or aminoglycoside antibiotics;
- A history of allergic reactions to BTX;
- Pregnancy and lactation.
2.2. Study Procedure
2.3. Description of Measuring Instruments and Questionnaires
2.4. BTX-A Injections
2.5. Statistical Analyses
3. Results
4. Discussion
Author Contributions
Funding
Institutional Review Board Statement
Informed Consent Statement
Data Availability Statement
Conflicts of Interest
Abbreviations
| BTX-A | Botulinum toxin-A |
| TMD | Temporomandibular disorders |
| TMJ | Temporomandibular joint |
| DC/TMD | Diagnostic criteria for temporomandibular disorders |
| RCT | Randomized controlled trial |
| OMS | Oral and maxillofacial surgery |
| EQ-5D-3L | European Quality of Life 5 Dimensions 3 Level Version |
| VAS | Visual Analogue Scale |
| OHIP-14 | Oral Health Impact Profile 14 |
| MFIQ | Mandibular Function Impact Questionnaire |
| AMO | Active mouth opening |
| PMO | Passive mouth opening |
Appendix A

Appendix B
| VAS-Scores | Concurrent Therapies at T0 | |||||||||
|---|---|---|---|---|---|---|---|---|---|---|
| Patient | Sex | Age | T0 | T1 | T2 | T3 | Medication | Physical Therapy | Oral Splint Use | Changes in Therapy |
| 1 | Female | 26 | 70 | 60 | 50 | 40 | No | Yes | No | |
| 2 | Male | 42 | 45 | 41 | 18 | 40 | No | No | No | |
| 3 | Female | 25 | 52 | 20 | 16 | 3 | No | Yes | No | |
| 4 | Male | 56 | 61 | 50 | 15 | 28 | No | Yes | Yes | |
| 5 | Male | 62 | 50 | 25 | 5 | 17 | No | Yes | No | |
| 6 | Female | 50 | 15 | 16 | 38 | 40 | No | Yes | Yes | Discontinued splint use at T3 |
| 7 | Female | 39 | 55 | 12 | 0 | 0 | No | No | Yes | |
| 8 | Female | 28 | 82 | 86 | 84 | 91 | No | No | Yes | Initiated physical therapy at T1 |
| 9 | Female | 65 | 68 | 30 | 10 | 10 | No | Yes | Yes | |
| 10 | Female | 62 | 58 | 37 | 24 | 54 | No | Yes | No | Discontinued physical therapy at T3 |
| 11 | Female | 30 | 25 | 43 | 57 | 13 | No | Yes | Yes | |
| 12 | Female | 40 | 83 | 40 | 50 | 48 | No | Yes | No | |
| 13 | Female | 56 | 65 | 10 | 60 | 0 | No | Yes | Yes | |
| 14 | Female | 25 | 62 | 40 | 62 | 65 | No | Yes | No | |
| 15 | Female | 56 | 68 | 65 | 65 | 60 | No | Yes | No | Initiated splint use at T1 |
| 16 | Female | 42 | 79 | 19 | 71 | 72 | No | Yes | Yes | |
| 17 | Female | 38 | 63 | 18 | 6 | 3 | No | Yes | Yes | |
| 18 | Female | 24 | 18 | 42 | 51 | 34 | No | Yes | Yes | |
| 19 | Female | 56 | 36 | 50 | 41 | 25 | No | Yes | Yes | Discontinued physical therapy at T3 |
| 20 | Female | 27 | 76 | 59 | 72 | 85 | No | Yes | Yes | |
| 21 | Female | 31 | 73 | 27 | 19 | 9 | No | Yes | No | |
| 22 | Female | 29 | 58 | 16 | 11 | 16 | No | Yes | Yes | |
| 23 | Female | 31 | 87 | 67 | 37 | 53 | No | Yes | Yes | |
| 24 | Female | 29 | 31 | 4 | 20 | 15 | No | Yes | Yes | |
| 25 | Female | 28 | 29 | 26 | 9 | 28 | No | Yes | Yes | |
| 26 | Female | 60 | 73 | 5 | 31 | 63 | No | Yes | No | |
| 27 | Female | 44 | 60 | 7 | 6 | 4 | No | Yes | No | |
| 28 | Female | 30 | 46 | 10 | 11 | 35 | No | Yes | Yes | |
| 29 | Female | 23 | 34 | 4 | 10 | 23 | No | Yes | No | |
| 30 | Female | 29 | 25 | 0 | 18 | 15 | No | No | No | |
| 31 | Female | 69 | 55 | 33 | 6 | 3 | No | Yes | Yes | |
| 32 | Female | 79 | 63 | 50 | 52 | 54 | No | No | Yes | Initiated physical therapy at T3 |
| 33 | Female | 31 | 40 | 23 | 64 | 28 | No | Yes | No | |
| 34 | Female | 34 | 45 | 26 | 52 | 50 | No | Yes | Yes | |
| 35 | Female | 40 | 61 | 49 | 71 | 31 | No | Yes | No | |
References
- Thambar, S.; Kulkarni, S.; Armstrong, S.; Nikolarakos, D. Botulinum toxin in the management of temporomandibular disorders: A systematic review. Br. J. Oral Maxillofac. Surg. 2020, 58, 508–519. [Google Scholar] [CrossRef]
- Valesan, L.F.; Da-Cas, C.D.; Réus, J.C.; Denardin, A.C.S.; Garanhani, R.R.; Bonotto, D.; Januzzi, E.; de Souza, B.D.M. Prevalence of temporomandibular joint disorders: A systematic review and meta-analysis. Clin. Oral. Investig. 2021, 25, 441–453. [Google Scholar] [CrossRef] [PubMed]
- Chisnoiu, A.M.; Picos, A.M.; Popa, S.; Chisnoiu, P.D.; Lascu, L.; Picos, A.; Chisnoiu, R. Factors involved in the etiology of temporomandibular disorders-a literature review. Clujul Med. 2015, 88, 473–478. [Google Scholar] [CrossRef]
- Schiffman, E.; Ohrbach, R.; Truelove, E.; Look, J.; Anderson, G.; Goulet, J.P.; List, T.; Svensson, P.; Gonzalez, Y.; Lobbezoo, F.; et al. Diagnostic Criteria for Temporomandibular Disorders (DC/TMD) for Clinical and Research Applications: Recommendations of the International RDC/TMD Consortium Network* and Orofacial Pain Special Interest Group. J. Oral Facial Pain Headache 2014, 28, 6–27. [Google Scholar] [CrossRef]
- Golanska, P.; Saczuk, K.; Domarecka, M.; Kuć, J.; Lukomska-Szymanska, M. Temporomandibular myofascial pain syndrome-aetiology and biopsychosocial modulation. A narrative review. Int. J. Environ. Res. Public Health 2021, 18, 7807. [Google Scholar] [CrossRef] [PubMed]
- Kalladka, M.; Young, A.; Khan, J. Myofascial pain in temporomandibular disorders: Updates on etiopathogenesis and management. J. Bodyw. Mov. Ther. 2021, 28, 104–113. [Google Scholar] [CrossRef]
- Pigozzi, L.B.; Pereira, D.D.; Pattussi, M.P.; Moret-Tatay, C.; Irigaray, T.Q.; Weber, J.B.B.; Grossi, P.K.; Grossi, M.L. Quality of life in young and middle age adult temporomandibular disorders patients and asymptomatic subjects: A systematic review and meta-analysis. Health Qual. Life Outcomes 2021, 19, 83. [Google Scholar] [CrossRef]
- Gil-Martínez, A.; Paris-Alemany, A.; López-de-Uralde-Villanueva, I.; La Touche, R. Management of pain in patients with temporomandibular disorder (TMD): Challenges and solutions. J. Pain Res. 2018, 11, 571–587. [Google Scholar] [CrossRef]
- De la Torre Canales, G.; Câmara-Souza, M.B.; Do Amaral, C.F.; Garcia, R.C.; Manfredini, D. Is there enough evidence to use botulinum toxin injections for bruxism management? A systematic literature review. Clin. Oral Investig. 2017, 21, 727–734. [Google Scholar] [CrossRef]
- Patel, J.; Cardoso, J.A.; Mehta, S. A systematic review of botulinum toxin in the management of patients with temporomandibular disorders and bruxism. Br. Dent. J. 2019, 226, 667–672. [Google Scholar] [CrossRef] [PubMed]
- Sunil Dutt, C.; Ramnani, P.; Thakur, D.; Pandit, M. Botulinum toxin in the treatment of muscle specific Oro-facial pain: A literature review. J. Maxillofac. Oral Surg. 2015, 14, 171–175. [Google Scholar] [CrossRef] [PubMed]
- Sipahi Calis, A.; Colakoglu, Z.; Gunbay, S. The use of botulinum toxin-A in the treatment of muscular temporomandibular joint disorders. J. Stomatol. Oral Maxillofac. Surg. 2019, 120, 322–325. [Google Scholar] [CrossRef] [PubMed]
- Di Francesco, F.; Lanza, A.; Di Blasio, M.; Vaienti, B.; Cafferata, E.A.; Cervino, G.; Cicciù, M.; Minervini, G. Application of Botulinum Toxin in Temporomandibular Disorders: A Systematic Review of Randomized Controlled Trials (RCTs). Appl. Sci. 2022, 12, 12409. [Google Scholar] [CrossRef]
- Chaurand, J.; Pacheco-Ruíz, L.; Orozco-Saldívar, H.; López-Valdés, J. Efficacy of botulinum toxin therapy in treatment of myofascial pain. J. Oral Sci. 2017, 59, 351–356. [Google Scholar] [CrossRef]
- Miotto, E.; Freitas, K.M.S.; Mori, A.A.; Valarelli, F.P.; Gobbi de Oliveira, R.C.; Oliveira, R.C. Effect of botulinum toxin on quality of life of patients with chronic myofascial pain. Pain Manag. 2021, 11, 583–593. [Google Scholar] [CrossRef]
- Villa, S.; Raoul, G.; Machuron, F.; Ferri, J.; Nicot, R. Improvement in quality of life after botulinum toxin injection for temporomandibular disorder. J. Stomatol. Oral Maxillofac. Surg. 2019, 120, 2–6. [Google Scholar] [CrossRef]
- Guarda-Nardini, L.; Stecco, A.; Stecco, C.; Masiero, S.; Manfredini, D. Myofascial pain of the jaw muscles: Comparison of short-term effectiveness of botulinum toxin injections and Fascial Manipulation technique. Cranio–J. Craniomandib. Pract. 2012, 30, 95–102. [Google Scholar] [CrossRef]
- Kurtoglu, C.; Gur, O.H.; Kurkcu, M.; Sertdemir, Y.; Guler-Uysal, F.; Uysal, H. Effect of botulinum toxin-A in myofascial pain patients with or without functional disc displacement. J. Oral Maxillofac. Surg. 2008, 66, 1644–1651. [Google Scholar] [CrossRef] [PubMed]
- Patel, A.A.; Lerner, M.Z.; Blitzer, A. IncobotulinumtoxinA Injection for Temporomandibular Joint Disorder. Ann. Otol. Rhinol. Laryngol. 2017, 126, 328–333. [Google Scholar] [CrossRef]
- Von Lindern, J.J.; Niederhagen, B.; Bergé, S.; Appel, T. Type A Botulinum Toxin in the Treatment of Chronic Facial Pain Associated with Masticatory Hyperactivity. J. Oral Maxillofac. Surg. 2003, 61, 774–778. [Google Scholar] [CrossRef]
- Ernberg, M.; Hedenberg-Magnusson, B.; List, T.; Svensson, P. Efficacy of botulinum toxin type A for treatment of persistent myofascial TMD pain: A randomized, controlled, double-blind multicenter study. Pain 2011, 152, 1988–1996. [Google Scholar] [CrossRef]
- Nixdorf, D.R.; Heo, G.; Major, P.W. Randomized controlled trial of botulinum toxin A for chronic myogenous orofacial pain. Pain 2002, 99, 465–473. [Google Scholar] [CrossRef]
- Chen, Y.W.; Chiu, Y.W.; Chen, C.Y.; Chuang, S.K. Botulinum toxin therapy for temporomandibular joint disorders: A systematic review of randomized controlled trials. Int. J. Oral Maxillofac. Surg. 2015, 44, 1018–1026. [Google Scholar] [CrossRef] [PubMed]
- Al-Wayli, H. Treatment of chronic pain associated with nocturnal bruxism with botulinum toxin. A prospective and randomized clinical study. J. Clin. Exp. Dent. 2017, 9, e112–e117. [Google Scholar] [CrossRef] [PubMed]
- Machado, D.; Martimbianco, A.L.C.; Bussadori, S.K.; Pacheco, R.L.; Riera, R.; Santos, E.M. Botulinum Toxin Type A for Painful Temporomandibular Disorders: Systematic Review and Meta-Analysis. J. Pain 2020, 21, 281–293. [Google Scholar] [CrossRef]
- De la Torre Canales, G.; Câmara-Souza, M.B.; Ernberg, M.; Al-Moraissi, E.A.; Grigoriadis, A.; Poluha, R.L.; Christidis, M.; Jasim, H.; Lövgren, A.; Christidis, N. Botulinum Toxin-A for the Treatment of Myogenous Temporomandibular Disorders: An Umbrella Review of Systematic Reviews. Drugs 2024, 84, 779–809. [Google Scholar] [CrossRef]
- De la Torre Canales, G.; Câmara-Souza, M.B.; Poluha, R.L.; de Figueredo, O.M.C.; Nobre, B.B.S.; Ernberg, M.; Conti, P.C.R.; Rizzatti-Barbosa, C.M. Long-Term Effects of a Single Application of Botulinum Toxin Type A in Temporomandibular Myofascial Pain Patients: A Controlled Clinical Trial. Toxins 2022, 14, 741. [Google Scholar] [CrossRef] [PubMed]
- Li, K.; Tan, K.; Yacovelli, A.; Bi, W.G. Effect of Botulinum Toxin Type A on Muscular Temporomandibular Disorder: A Systematic Review and Meta-Analysis of Randomized Controlled Trials. J. Oral Rehabil. 2024, 51, 886–897. [Google Scholar] [CrossRef]
- Val, M.; Manfredini, D.; Guarda Nardini, L. Is botulinum toxin the future of orofacial pain management? Evidence and perspectives. Dent. Med. Probl. 2025, 62, 405–407. [Google Scholar] [CrossRef]
- Kahl, C.; Cleland, J.A. Visual analogue scale, numeric pain rating scale and the McGill pain Questionnaire: An overview of psychometric properties. Phys. Ther. Rev. 2005, 10, 123–128. [Google Scholar] [CrossRef]
- Brooks, R. EuroQol: The current state of play. Health Policy 1996, 37, 53–72. [Google Scholar] [CrossRef] [PubMed]
- van der Meulen, M.J.; John, M.T.; Naeije, M.; Lobbezoo, F. Developing abbreviated OHIP versions for use with TMD patients. J. Oral Rehabil. 2012, 39, 18–27. [Google Scholar] [CrossRef]
- Kropmans, T.J.; Dijkstra, P.U.; van Veen, A.; Stegenga, B.; de Bont, L.G. The smallest detectable difference of mandibular function impairment in patients with a painfully restricted temporomandibular joint. J. Dent. Res. 1999, 78, 1445–1449. [Google Scholar] [CrossRef]
- Emshoff, R.; Emshoff, I.; Bertram, S. Estimation of clinically important change for visual analog scales measuring chronic temporomandibular disorder pain. J. Orofac. Pain 2010, 24, 262–269. [Google Scholar] [PubMed]
- Locker, D.; Jokovic, A.; Clarke, M. Assessing the responsiveness of measures of oral health-related quality of life. Community Dent. Oral Epidemiol. 2004, 32, 10–18. [Google Scholar] [CrossRef]
- Walker, N.; Bohannon, R.W.; Cameron, D. Discriminant validity of temporomandibular joint range of motion measurements obtained with a ruler. J. Orthop. Sports Phys. Ther. 2000, 30, 484–492. [Google Scholar] [CrossRef] [PubMed]
- De la Torre Canales, G.; Lorenzi Poluha, R.; Alvarez Pinzon, Y.N.; Rodrigues Conti, P.C.; Manfredini, D.; Sánchez-Ayala, A.; Rizzatti-Barbosa, C.M. Effects of Botulinum Toxin Type A on the Psychosocial Features of Myofascial Pain TMD Subjects: A Randomized Controlled Trial. J. Oral Facial Pain Headache 2021, 35, 288–296. [Google Scholar] [CrossRef]
- Gonzalez-Perez, L.M.; Vera-Martin, R.; Montes-Latorre, E.; Torres-Carranza, E.; Infante-Cossio, P. Botulinum Toxin and Percutaneous Needle Electrolysis for the Treatment of Chronic Masticatory Myalgia. Toxins 2023, 15, 278. [Google Scholar] [CrossRef]
- De Carli, B.M.; Magro, A.K.; Souza-Silva, B.N.; Matos, F.S.; De Carli, J.P.; Paranhos, L.R.; Magro, E.D. The Effect of Laser and Botulinum Toxin in the Treatment of Myofascial Pain and Mouth Opening: A Randomized Clinical Trial. J. Photochem. Photobiol. B 2016, 159, 120–123. [Google Scholar] [CrossRef]
- Sitnikova, V.; Kämppi, A.; Kämppi, L.; Alvesalo, E.; Burakova, M.; Kemppainen, P.; Teronen, O. Clinical benefit of botulinum toxin for treatment of persistent TMD-related myofascial pain: A randomized, placebo-controlled, cross-over trial. Pain Pract. 2024, 24, 1014–1023. [Google Scholar] [CrossRef]
- Jadhao, V.A.; Lokhande, N.; Habbu, S.G.; Sewane, S.; Dongare, S.; Goyal, N. Efficacy of botulinum toxin in treating myofascial pain and occlusal force characteristics of masticatory muscles in bruxism. Indian J. Dent. Res. 2017, 28, 493–497. [Google Scholar] [CrossRef]
- Kaya, D.I.; Ataoğlu, H. Botulinum toxin treatment of temporomandibular joint pain in patients with bruxism: A prospective and randomized clinical study. Niger. J. Clin. Pract. 2021, 24, 412–417. [Google Scholar] [CrossRef]
- Pascu, L.; Haiduc, R.S.; Almășan, O.; Leucuța, D.C. Occlusion and Temporomandibular Disorders: A Scoping Review. Medicina 2025, 61, 791. [Google Scholar] [CrossRef] [PubMed]
- Kahn, A.; Bertin, H.; Corre, P.; Praud, M.; Paré, A.; Kün-Darbois, J.D. Assessing the effectiveness of botulinum toxin injections into masticatory muscles in the treatment of temporomandibular disorders. J. Oral Med. Oral Surg. 2018, 24, 107–111. [Google Scholar] [CrossRef]
- Lemos, G.A.; Paulino, M.R.; Forte, F.D.S.; Beltrão, R.T.S.; Batista, A.U.D. Influence of temporomandibular disorder presence and severity on oral health-related quality of life. Rev. Dor. 2015, 16, 10–14. [Google Scholar] [CrossRef]
- Weinberg, F.M.; Rosenberg, A.J.W.P.; Withagen, K.P.A.; Gilijamse, M.; Forouzanfar, T.; Speksnijder, C.M. Oral functioning after open versus closed treatment of unilateral condylar neck or base fractures: A two-centre controlled clinical trial. J. Oral Rehabil. 2023, 50, 194–202. [Google Scholar] [CrossRef]


| Female n (%) | 32 (91) |
| Male n (%) | 3 (9) |
| Age in years mean ± SD (range) | 41 ± 15 (23–79) |
| Duration complaints in months median (IQR) | 60 (24–120) |
| Previous BTX-A injection n (%) | 13 (37) |
| Use of oral splint n (%) | 28 (80) |
| Physical therapy n (%) | 32 (91) |
| Prescribed medication n (%) | 7 (20) |
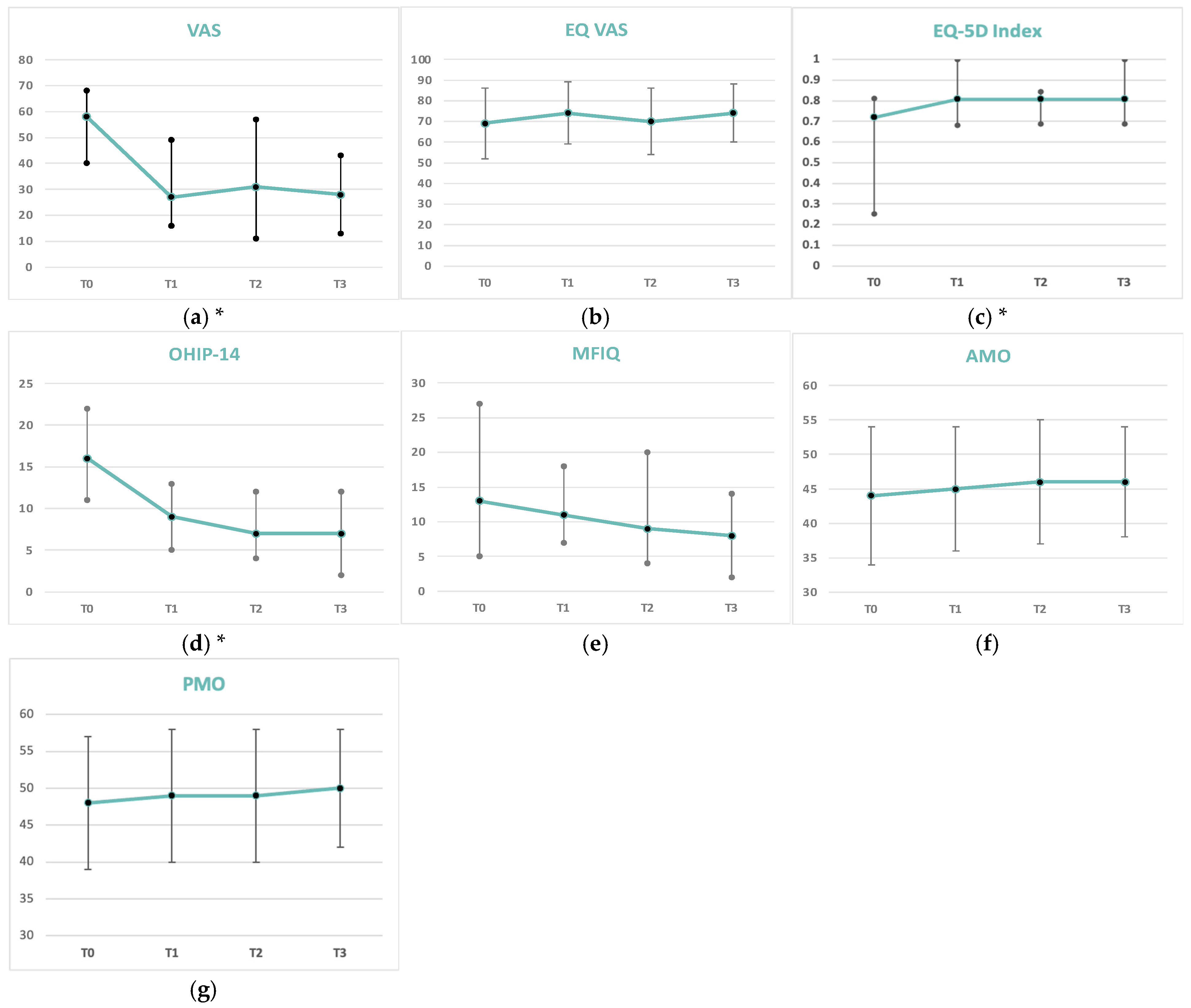
| Variable | T0 | T1 | T2 | T3 |
|---|---|---|---|---|
| VAS (0–100) | 58 (40–68) | 27 (16–49) | 31 (11–57) | 28 (13–53) |
| EQ-5D Index | 0.719 (0.252–0.811) | 0.807 (0.683–1.000) | 0.807 (0.687–0.843) | 0.807 (0.687–1.000) |
| EQ VAS | 69 ± 17 | 74 ± 15 | 70 ± 16 | 74 ± 14 |
| OHIP-14 | 16 (11–22) | 9 (5–13) | 7 (4–12) | 7 (2–12) |
| MFIQ | 13 (5–27) | 11 (7–18) | 9 (4–20) | 8 (2–14) |
| AMO | 44 ± 10 | 45 ± 9 | 46 ± 9 | 46 ± 8 |
| PMO | 48 ± 9 | 49 ± 9 | 49 ± 9 | 50 ± 8 |
| (a) | ||||||
|---|---|---|---|---|---|---|
| Variable | ||||||
| Median Difference | Z | p | ||||
| VAS (0–100) | T0–T1 | 31 | −4.83 | <0.001 * | ||
| T0–T2 | 27 | −3.58 | <0.001 * | |||
| T0–T3 | 30 | −4.13 | <0.001 * | |||
| T1–T2 | 4 | −0.55 | 0.584 | |||
| T1–T3 | 1 | −0.01 | 0.993 | |||
| T2–T3 | 3 | −0.72 | 0.943 | |||
| EQ-5D index | T0–T1 | 0.088 | −2.97 | 0.003 * | ||
| T0–T2 | 0.088 | −3.43 | <0.001 * | |||
| T0–T3 | 0.088 | −3.01 | 0.003 * | |||
| T1–T2 | 0.000 | −1.68 | 0.092 | |||
| T1–T3 | 0.000 | −1.34 | 0.180 | |||
| T2–T3 | 0.000 | −0.76 | 0.448 | |||
| OHIP-14 | T0–T1 | 7 | −4.88 | <0.001 * | ||
| T0–T2 | 9 | −4.47 | <0.001 * | |||
| T0–T3 | 9 | −4.27 | <0.001 * | |||
| T1–T2 | 2 | −1.11 | 0.266 | |||
| T1–T3 | 2 | −1.12 | 0.261 | |||
| T2–T3 | 0 | −0.40 | 0.687 | |||
| MFIQ | T0–T1 | 2 | −1.01 | 0.313 | ||
| T0–T2 | 4 | −1.89 | 0.059 | |||
| T0–T3 | 5 | −2.44 | 0.015 | |||
| T1–T2 | 2 | −0.96 | 0.340 | |||
| T1–T3 | 3 | −1.62 | 0.105 | |||
| T2–T3 | 1 | 0.81 | 0.418 | |||
| (b) | ||||||
| Variable | 95% CI for Difference | |||||
| Mean Difference | Std. Error | p b | Lower Bound | Upper Bound | ||
| AMO | T0–T1 | 0.83 | 0.74 | 1.000 | −2.91 | 1.25 |
| T0–T2 | 1.51 | 0.73 | 0.277 | −3.56 | 0.54 | |
| T0–T3 | 2.23 | 0.95 | 0.150 | −4.89 | 0.43 | |
| T1–T2 | 0.69 | 0.51 | 1.000 | −2.10 | 0.73 | |
| T1–T3 | 1.40 | 0.78 | 0.492 | −3.59 | 0.79 | |
| T2–T3 | 0.71 | 0.53 | 1.000 | −0.76 | 2.19 | |
Disclaimer/Publisher’s Note: The statements, opinions and data contained in all publications are solely those of the individual author(s) and contributor(s) and not of MDPI and/or the editor(s). MDPI and/or the editor(s) disclaim responsibility for any injury to people or property resulting from any ideas, methods, instructions or products referred to in the content. |
© 2025 by the authors. Licensee MDPI, Basel, Switzerland. This article is an open access article distributed under the terms and conditions of the Creative Commons Attribution (CC BY) license (https://creativecommons.org/licenses/by/4.0/).
Share and Cite
van Soest, M.; Remijn, L.; Tak, I.; van der Hoeve, E.; Koppendraaier, L.; de Ruiter, M. Patient-Reported Outcome Measures After Botulinum Toxin for Temporomandibular-Related Myalgia: A Prospective Study. J. Clin. Med. 2025, 14, 7494. https://doi.org/10.3390/jcm14217494
van Soest M, Remijn L, Tak I, van der Hoeve E, Koppendraaier L, de Ruiter M. Patient-Reported Outcome Measures After Botulinum Toxin for Temporomandibular-Related Myalgia: A Prospective Study. Journal of Clinical Medicine. 2025; 14(21):7494. https://doi.org/10.3390/jcm14217494
Chicago/Turabian Stylevan Soest, Martijn, Lianne Remijn, Igor Tak, Egbert van der Hoeve, Laurens Koppendraaier, and Maurits de Ruiter. 2025. "Patient-Reported Outcome Measures After Botulinum Toxin for Temporomandibular-Related Myalgia: A Prospective Study" Journal of Clinical Medicine 14, no. 21: 7494. https://doi.org/10.3390/jcm14217494
APA Stylevan Soest, M., Remijn, L., Tak, I., van der Hoeve, E., Koppendraaier, L., & de Ruiter, M. (2025). Patient-Reported Outcome Measures After Botulinum Toxin for Temporomandibular-Related Myalgia: A Prospective Study. Journal of Clinical Medicine, 14(21), 7494. https://doi.org/10.3390/jcm14217494

