Three-Month Incidence of Venous Thromboembolism in Patients Who Underwent Neurological Surgeries
Abstract
1. Introduction
2. Materials and Methods
2.1. Patients
2.2. Variables and Outcomes of Interest
2.3. Sample Size
2.4. Statistical Analysis
3. Results
3.1. Thromboprophylaxis
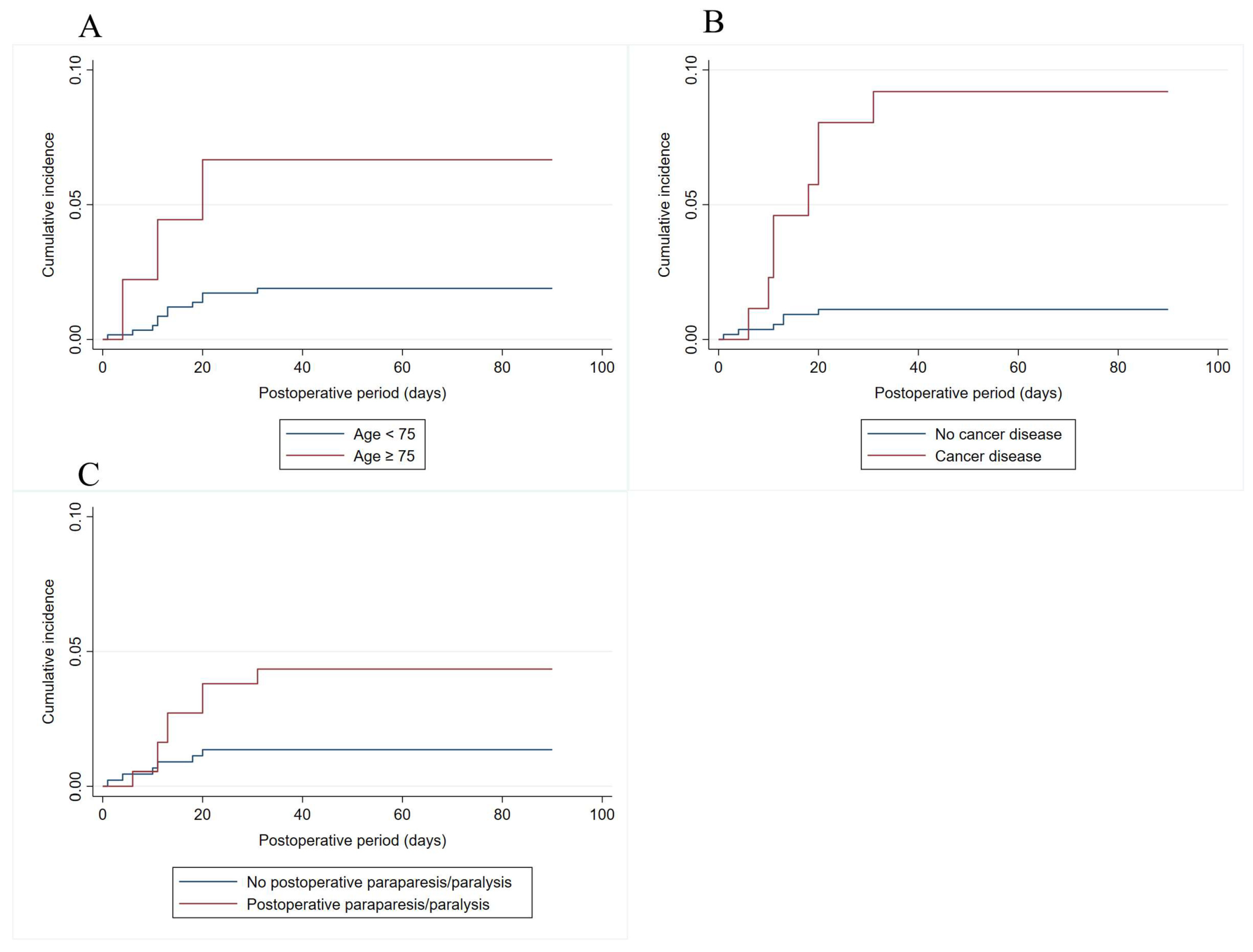
3.2. Post-Operative Venous Thromboembolism
3.3. Post-Operative Bleeding
3.4. Post-Operative All-Cause Mortality
4. Discussion
5. Conclusions
Author Contributions
Funding
Institutional Review Board Statement
Informed Consent Statement
Data Availability Statement
Acknowledgments
Conflicts of Interest
References
- Hamilton, M.G.; Hull, R.D.; Pineo, G.F. Venous thromboembolism in neurosurgery and neurology patients: A review. Neurosurgery 1994, 34, 280–296, discussion 296. [Google Scholar] [CrossRef]
- Shaikhouni, A.; Baum, J.; Lonser, R.R. Deep Vein Thrombosis Prophylaxis in the Neurosurgical Patient. Neurosurg. Clin. N. Am. 2018, 29, 567–574. [Google Scholar] [CrossRef] [PubMed]
- Keenan, C.R.; White, R.H. The effects of race/ethnicity and sex on the risk of venous thromboembolism. Curr. Opin. Pulm. Med. 2007, 13, 377–383. [Google Scholar] [CrossRef] [PubMed]
- Stone, J.; Hangge, P.; Albadawi, H.; Wallace, A.; Shamoun, F.; Knuttien, M.G.; Naidu, S.; Oklu, R. Deep vein thrombosis: Pathogenesis, diagnosis, and medical management. Cardiovasc. Diagn. Ther. 2017, 7, S276–S284. [Google Scholar] [CrossRef] [PubMed]
- Caprini, J.A. Risk assessment as a guide for the prevention of the many faces of venous thromboembolism. Am. J. Surg. 2010, 199, S3–S10. [Google Scholar] [CrossRef]
- Anderson, D.R.; Morgano, G.P.; Bennett, C.; Dentali, F.; Francis, C.W.; Garcia, D.A.; Kahn, S.R.; Rahman, M.; Rajasekhar, A.; Rogers, F.B.; et al. American Society of Hematology 2019 guidelines for management of venous thromboembolism: Prevention of venous thromboembolism in surgical hospitalized patients. Blood Adv. 2019, 3, 3898–3944. [Google Scholar] [CrossRef] [PubMed]
- Khaldi, A.; Helo, N.; Schneck, M.J.; Origitano, T.C. Venous thromboembolism: Deep venous thrombosis and pulmonary embolism in a neurosurgical population. J. Neurosurg. 2011, 114, 40–46. [Google Scholar] [CrossRef] [PubMed]
- Henwood, P.C.; Kennedy, T.M.; Thomson, L.; Galanis, T.; Tzanis, G.L.; Merli, G.J.; Kraft, W.K. The incidence of deep vein thrombosis detected by routine surveillance ultrasound in neurosurgery patients receiving dual modality prophylaxis. J. Thromb. Thrombolysis 2011, 32, 209–214. [Google Scholar] [CrossRef][Green Version]
- Rolston, J.D.; Han, S.J.; Bloch, O.; Parsa, A.T. What clinical factors predict the incidence of deep venous thrombosis and pulmonary embolism in neurosurgical patients? J. Neurosurg. 2014, 121, 908–918. [Google Scholar] [CrossRef] [PubMed]
- Piper, K.; Algattas, H.; De Andrea-Lazarus, I.A.; Kimmell, K.T.; Li, Y.M.; Walter, K.A.; Silberstein, H.J.; Vates, G.E. Risk factors associated with venous thromboembolism in patients undergoing spine surgery. J. Neurosurg. Spine 2017, 26, 90–96. [Google Scholar] [CrossRef]
- Chan, A.T.; Atiemo, A.; Diran, L.K.; Licholai, G.P.; McLaren Black, P.; Creager, M.A.; Goldhaber, S.Z. Venous thromboembolism occurs frequently in patients undergoing brain tumor surgery despite prophylaxis. J. Thromb. Thrombolysis 1999, 8, 139–142. [Google Scholar] [CrossRef]
- Cote, D.J.; Dubois, H.M.; Karhade, A.V.; Smith, T.R. Venous Thromboembolism in Patients Undergoing Craniotomy for Brain Tumors: A U.S. Nationwide Analysis. Semin. Thromb. Hemost. 2016, 42, 870–876. [Google Scholar] [CrossRef] [PubMed]
- Dubinski, D.; Won, S.Y.; Voss, M.; Keil, F.; Miesbach, W.; Behmanesh, B.; Dosch, M.; Baumgarten, P.; Bernstock, J.D.; Seifert, V.; et al. Direct oral anticoagulants vs. low-molecular-weight heparin for pulmonary embolism in patients with glioblastoma. Neurosurg. Rev. 2022, 45, 451–457. [Google Scholar] [CrossRef]
- Ray, W.Z.; Strom, R.G.; Blackburn, S.L.; Ashley, W.W.; Sicard, G.A.; Rich, K.M. Incidence of deep venous thrombosis after subarachnoid hemorrhage. J. Neurosurg. 2009, 110, 1010–1014. [Google Scholar] [CrossRef]
- Serrone, J.C.; Wash, E.M.; Hartings, J.A.; Andaluz, N.; Zuccarello, M. Venous thromboembolism in subarachnoid hemorrhage. World Neurosurg. 2013, 80, 859–863. [Google Scholar] [CrossRef] [PubMed]
- Reiff, D.A.; Haricharan, R.N.; Bullington, N.M.; Griffin, R.L.; McGwin, G., Jr.; Rue, L.W., 3rd. Traumatic brain injury is associated with the development of deep vein thrombosis independent of pharmacological prophylaxis. J. Trauma 2009, 66, 1436–1440. [Google Scholar] [CrossRef]
- Schulman, S.; Kearon, C. Definition of major bleeding in clinical investigations of antihemostatic medicinal products in non-surgical patients. J. Thromb. Haemost. 2005, 3, 692–694. [Google Scholar] [CrossRef]
- Rethinasamy, R.; Alias, A.; Kandasamy, R.; Raffiq, A.; Looi, M.C.; Hillda, T. Deep Vein Thrombosis and the Neurosurgical Patient. Malays. J. Med. Sci. 2019, 26, 139–147. [Google Scholar] [CrossRef]
- Parmontree, P.; Ketprathum, P.; Ladnok, T.; Meeaium, S.; Thanaratsiriworakul, T.; Sonhorm, U. Predictive risk factors for venous thromboembolism in neurosurgical patients: A retrospective analysis single center cohort study. Ann. Med. Surg. 2022, 77, 103628. [Google Scholar] [CrossRef]
- Liu, X.; Zhang, X.; Ma, T.; Li, M.; Zhang, L.; Li, S.; Zeng, M.; Kass, I.S.; Peng, Y. Risk factors for postoperative thrombosis-related complications in patients undergoing malignant brain tumor resection: A retrospective cohort study. Front. Neurol. 2023, 14, 1108596. [Google Scholar] [CrossRef]
- Kimmell, K.T.; Jahromi, B.S. Clinical factors associated with venous thromboembolism risk in patients undergoing craniotomy. J. Neurosurg. 2015, 122, 1004–1011. [Google Scholar] [CrossRef] [PubMed]
- Aishima, K.; Yoshimoto, Y. Screening strategy using sequential serum D-dimer assay for the detection and prevention of venous thromboembolism after elective brain tumor surgery. Br. J. Neurosurg. 2013, 27, 348–354. [Google Scholar] [CrossRef] [PubMed]
- Smith, T.R.; Nanney, A.D., 3rd; Lall, R.R.; Graham, R.B.; McClendon, J., Jr.; Lall, R.R.; Adel, J.G.; Zakarija, A.; Cote, D.J.; Chandler, J.P. Development of venous thromboembolism (VTE) in patients undergoing surgery for brain tumors: Results from a single center over a 10 year period. J. Clin. Neurosci. 2015, 22, 519–525. [Google Scholar] [CrossRef] [PubMed]
- Kaewborisutsakul, A.; Tunthanathip, T.; Yuwakosol, P.; Inkate, S.; Pattharachayakul, S. Incidence and Risk Factors for Venous Thromboembolism Following Craniotomy for Intracranial Tumors: A Cohort Study. Asian J. Neurosurg. 2020, 15, 31–38. [Google Scholar] [CrossRef]
- Chow, J.H.; Chancer, Z.; Mazzeffi, M.A.; McNeil, J.S.; Sokolow, M.J.; Gaines, T.M.; Reif, M.M.; Trinh, A.T.; Wellington, I.J.; Camacho, J.E.; et al. Impact of Preoperative Platelet Count on Bleeding Risk and Allogeneic Transfusion in Multilevel Spine Surgery. Spine 2021, 46, E65–E72. [Google Scholar] [CrossRef] [PubMed]
- Pang, C.H.; Lee, S.E.; Kim, C.H.; Kim, J.E.; Kang, H.S.; Park, C.K.; Paek, S.H.; Kim, C.H.; Jahng, T.A.; Kim, J.W.; et al. Acute intracranial bleeding and recurrence after bur hole craniostomy for chronic subdural hematoma. J. Neurosurg. 2015, 123, 65–74. [Google Scholar] [CrossRef] [PubMed]
- Liu, D.; Song, D.; Ning, W.; Zhang, X.; Chen, S.; Zhang, H. Efficacy and safety of prophylaxis for venous thromboembolism in brain neoplasm patients undergoing neurosurgery: A systematic review and Bayesian network meta-analysis. J. Thromb. Thrombolysis 2023, 55, 710–720. [Google Scholar] [CrossRef] [PubMed]
- Tomlinson, S.B.; Piper, K.; Kimmell, K.T.; Vates, G.E. Preoperative Frailty Score for 30-Day Morbidity and Mortality After Cranial Neurosurgery. World Neurosurg. 2017, 107, 959–965. [Google Scholar] [CrossRef] [PubMed]
- Forgerini, M.; Varallo, F.R.; Oliveira, A.R.A.; Nadai, T.R.; Mastroianni, P.C. Assessment of the adherence to and costs of the prophylaxis protocol for venous thromboembolism. Clinics 2019, 74, e1143. [Google Scholar] [CrossRef] [PubMed]
- Lara-Reyna, J.; Alali, L.; Wedderburn, R.; Margetis, K. Compliance with venous thromboembolism chemoprophylaxis guidelines in non-operative traumatic brain injury. Clin. Neurol. Neurosurg. 2022, 215, 107212. [Google Scholar] [CrossRef]
- Choucha, A.; Troude, L.; Morin, L.; Fernandes, S.; Baucher, G.; De Simone, M.; Lihi, A.; Mazen, K.; Alseirihi, M.; Passeri, T.; et al. Management of large Trigeminal Schwannoma: Long-term oncologic and functional outcome from a multicentric retrospective cohort. Acta Neurochir. 2024, 166, 440. [Google Scholar] [CrossRef] [PubMed]


| Characteristic | Total (n = 626) | Non-VTE (n = 612) | VTE (n = 14) | p-Value |
|---|---|---|---|---|
| Age (year), mean ±SD | 50.21±17.37 | 50.00 ±17.34 | 59.50 ±16.39 | 0.043 |
| Sex, n (%) | 0.887 | |||
| Male | 346 (55.27) | 338 (55.23) | 8 (57.14) | - |
| BMI (kg/m2), mean ±SD | 23.60 ±4.05 | 23.57 ±4.05 | 24.88 ±3.88 | 0.231 |
| Comorbidity, n (%) | ||||
| Diabetes mellitus | 76 (12.14) | 74 (12.09) | 2 (14.29) | 0.683 |
| Hypertension | 216 (34.5) | 210 (34.31) | 6 (42.86) | 0.506 |
| Dyslipidemia | 132 (21.09) | 128 (20.92) | 4 (28.57) | 0.508 |
| Smoking | 147 (23.48) | 144 (23.53) | 3 (21.43) | 0.999 |
| History of venous thromboembolism | 1 (0.16) | 1 (0.16) | 0 (0.00) | 0.999 |
| History of arterial thromboembolism | 19 (3.04) | 18 (2.94) | 1 (7.14) | 0.353 |
| Chronic kidney disease | 17 (2.72) | 17 (2.78) | 0 (0.00) | 0.999 |
| Current medication, n (%) | ||||
| Concomitant aspirin use | 42 (6.71) | 40 (6.54) | 2 (14.29) | 0.240 |
| History of chemotherapy within 3 months | 6 (0.96) | 6 (0.98) | 0 (0.00) | 0.999 |
| History of radiotherapy within 3 months | 3 (0.48) | 2 (0.33) | 1 (7.14) | 0.066 |
| Cancer, n (%) | 87 (13.90) | 79 (12.91) | 8 (57.14) | <0.001 |
| ASA classification, n (%) | ||||
| ASA 1 | 25 (3.99) | 25 (4.08) | 0 (0.00) | 0.999 |
| ASA 2 | 216 (34.50) | 210 (34.31) | 6 (42.86) | 0.506 |
| ASA 3 | 327 (52.24) | 322 (52.61) | 5 (35.71) | 0.281 |
| ASA 4 | 52 (8.31) | 49 (8.01) | 3 (21.43) | 0.102 |
| ASA 5 | 6 (0.96) | 6 (0.98) | 0 (0.00) | 0.999 |
| ASA 6 | 0 (0.00) | 0 (0.00) | 0 (0.00) | - |
| Duration of surgery, median [p25, p75] | 3 [2, 4.33] | 3 [2, 4.34] | 1.95 [1.25, 3] | 0.022 |
| Type of neurosurgery, n (%) | ||||
| Head injury | 201 (32.11) | 196 (32.03) | 5 (35.71) | 0.776 |
| Tumor | 207 (33.07) | 201 (32.84) | 6 (42.86) | 0.431 |
| Vascular | 83 (13.26) | 83 (13.56) | 0 (0.00) | 0.235 |
| Hydrocephalus | 22 (3.51) | 21 (3.43) | 1 (7.14) | 0.397 |
| Infection | 10 (1.60) | 9 (1.47) | 1 (7.14) | 0.204 |
| Miscellaneous | 16 (2.56) | 16 (2.61) | 0 (0.00) | 0.999 |
| Spine | 41 (6.55) | 41 (6.70) | 0 (0.00) | 0.615 |
| Functional surgery | 11 (1.76) | 11 (1.80) | 0 (0.00) | 0.999 |
| Peripheral nerves | 1 (0.16) | 1 (0.16) | 0 (0.00) | 0.999 |
| Ventriculostomy, lumbar drain etc. | 34 (5.43) | 33 (5.39) | 1 (7.14) | 0.546 |
| Transfusion during surgery, n (%) | 202 (32.27) | 198 (32.35) | 4 (28.57) | 0.999 |
| Pack red cell, n (%) | 192 (30.67) | 189 (30.88) | 3 (21.43) | 0.567 |
| Platelet, n (%) | 53 (8.47) | 50 (8.17) | 3 (21.43) | 0.107 |
| Postoperative assisted ventilation, n (%) | 340 (54.31) | 331 (54.08) | 9 (64.29) | 0.590 |
| Thromboprophylaxis | Total (n = 626) | Non-VTE (n = 612) | VTE (n = 14) | p-Value |
|---|---|---|---|---|
| None, n (%) | 540 (86.26) | 527 (86.11) | 13 (92.86) | 0.525 |
| Mechanical, n (%) | 58 (9.26) | 57 (9.31) | 1 (7.14) | 0.076 |
| Pharmacoprophylaxis, n (%) | 44 (7.01) | 44 (7.19) | 0 | <0.050 |
| 29 (65.91) | 29 (65.91) | 0 | - |
| 18 (40.91) | 18 (40.91) | 0 | - |
| Variables | Hazard Ratio | 95% Confidence Interval | p-Value |
|---|---|---|---|
| Venous thromboembolism | |||
| Age ≥ 75 years | 4.53 | 1.25–16.38 | 0.021 |
| Cancer | 8.51 | 2.95–24.60 | <0.001 |
| Postoperative paraparesis/paralysis | 3.26 | 1.12–9.45 | 0.030 |
| Overall bleeding | |||
| Age ≥ 60 years | 2.08 | 1.19–3.65 | 0.010 |
| Diabetes mellitus | 1.95 | 1.00–3.79 | 0.049 |
| ASA ≥ 4 | 2.30 | 1.13–4.67 | 0.021 |
| Pharmacoprophylaxis | 2.11 | 0.95–4.71 | 0.067 |
| Major bleeding | |||
| Age (each year increase) | 1.02 | 1.00–1.05 | 0.049 |
| ASA ≥ 4 | 4.23 | 1.65–10.90 | 0.003 |
| All-cause mortality | |||
| Chronic kidney disease | 8.89 | 2.89–27.38 | <0.001 |
| Cancer disease | 6.11 | 2.32–16.07 | <0.001 |
| Head injury | 4.27 | 1.75–10.44 | <0.001 |
| Duration of surgery ≥ 45 min | 0.23 | 0.08–0.63 | 0.004 |
| Transfusion during surgery | 2.69 | 1.26–5.74 | 0.017 |
| Postoperative paraparesis/paralysis | 5.55 | 2.64–11.66 | <0.001 |
| Any bleeding | 2.23 | 1.09–4.59 | 0.029 |
Disclaimer/Publisher’s Note: The statements, opinions and data contained in all publications are solely those of the individual author(s) and contributor(s) and not of MDPI and/or the editor(s). MDPI and/or the editor(s) disclaim responsibility for any injury to people or property resulting from any ideas, methods, instructions or products referred to in the content. |
© 2025 by the authors. Licensee MDPI, Basel, Switzerland. This article is an open access article distributed under the terms and conditions of the Creative Commons Attribution (CC BY) license (https://creativecommons.org/licenses/by/4.0/).
Share and Cite
Ponsumritchok, P.; Chaijaroen, P.; Ayurag, T.; Siritikul, N.; Niprapan, P.; Hantrakun, N.; Vongsfak, J.; Chai-Adisaksopha, C. Three-Month Incidence of Venous Thromboembolism in Patients Who Underwent Neurological Surgeries. J. Clin. Med. 2025, 14, 552. https://doi.org/10.3390/jcm14020552
Ponsumritchok P, Chaijaroen P, Ayurag T, Siritikul N, Niprapan P, Hantrakun N, Vongsfak J, Chai-Adisaksopha C. Three-Month Incidence of Venous Thromboembolism in Patients Who Underwent Neurological Surgeries. Journal of Clinical Medicine. 2025; 14(2):552. https://doi.org/10.3390/jcm14020552
Chicago/Turabian StylePonsumritchok, Petnumnueng, Praepattra Chaijaroen, Tin Ayurag, Nattaphan Siritikul, Piangrawee Niprapan, Nonthakorn Hantrakun, Jirapong Vongsfak, and Chatree Chai-Adisaksopha. 2025. "Three-Month Incidence of Venous Thromboembolism in Patients Who Underwent Neurological Surgeries" Journal of Clinical Medicine 14, no. 2: 552. https://doi.org/10.3390/jcm14020552
APA StylePonsumritchok, P., Chaijaroen, P., Ayurag, T., Siritikul, N., Niprapan, P., Hantrakun, N., Vongsfak, J., & Chai-Adisaksopha, C. (2025). Three-Month Incidence of Venous Thromboembolism in Patients Who Underwent Neurological Surgeries. Journal of Clinical Medicine, 14(2), 552. https://doi.org/10.3390/jcm14020552

