Air Pollution, Body Composition, and Vascular Age in Southern Switzerland: A Cross-Sectional Population Study
Abstract
1. Introduction
2. Materials and Methods
Statistical Analysis
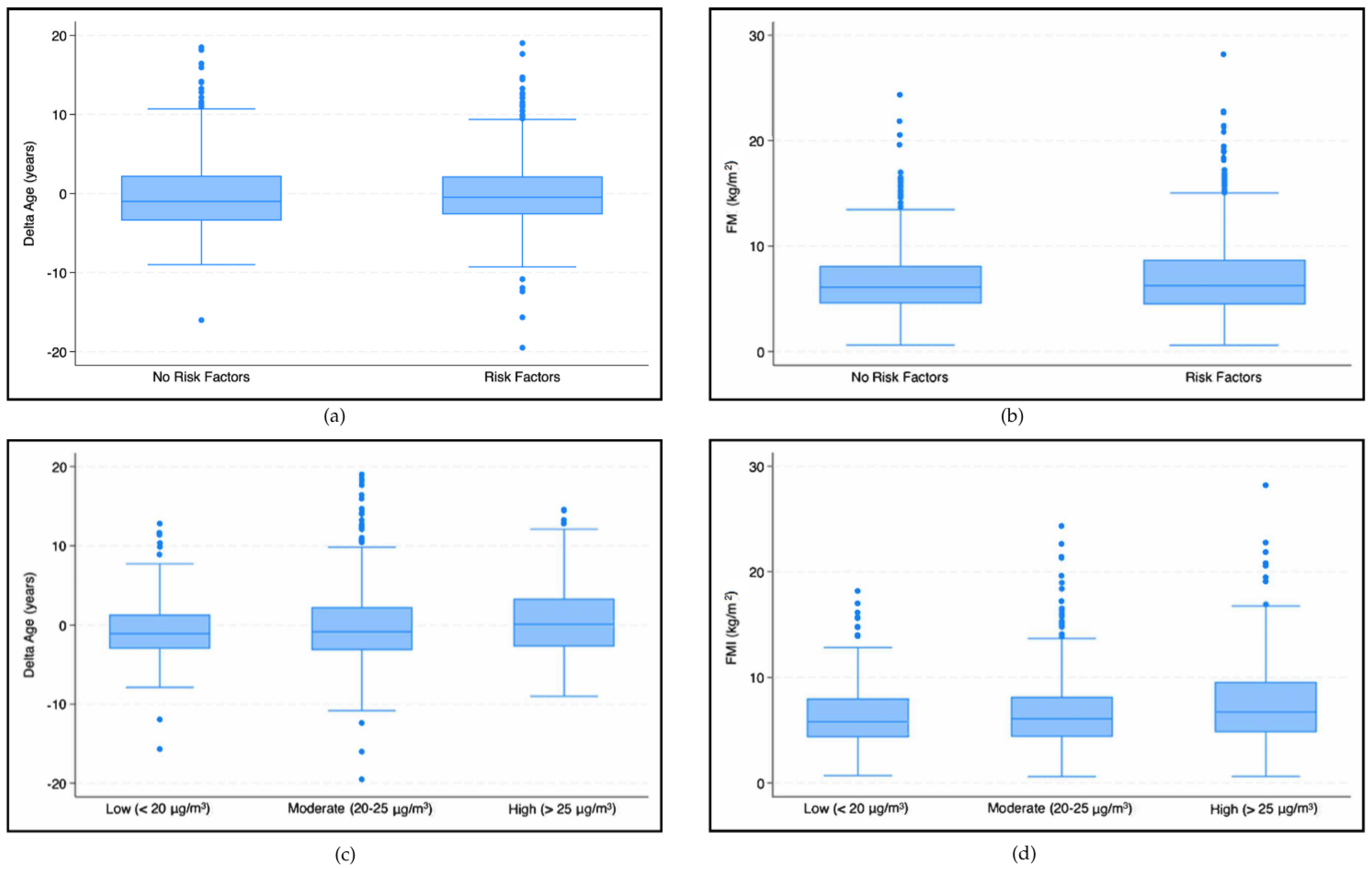
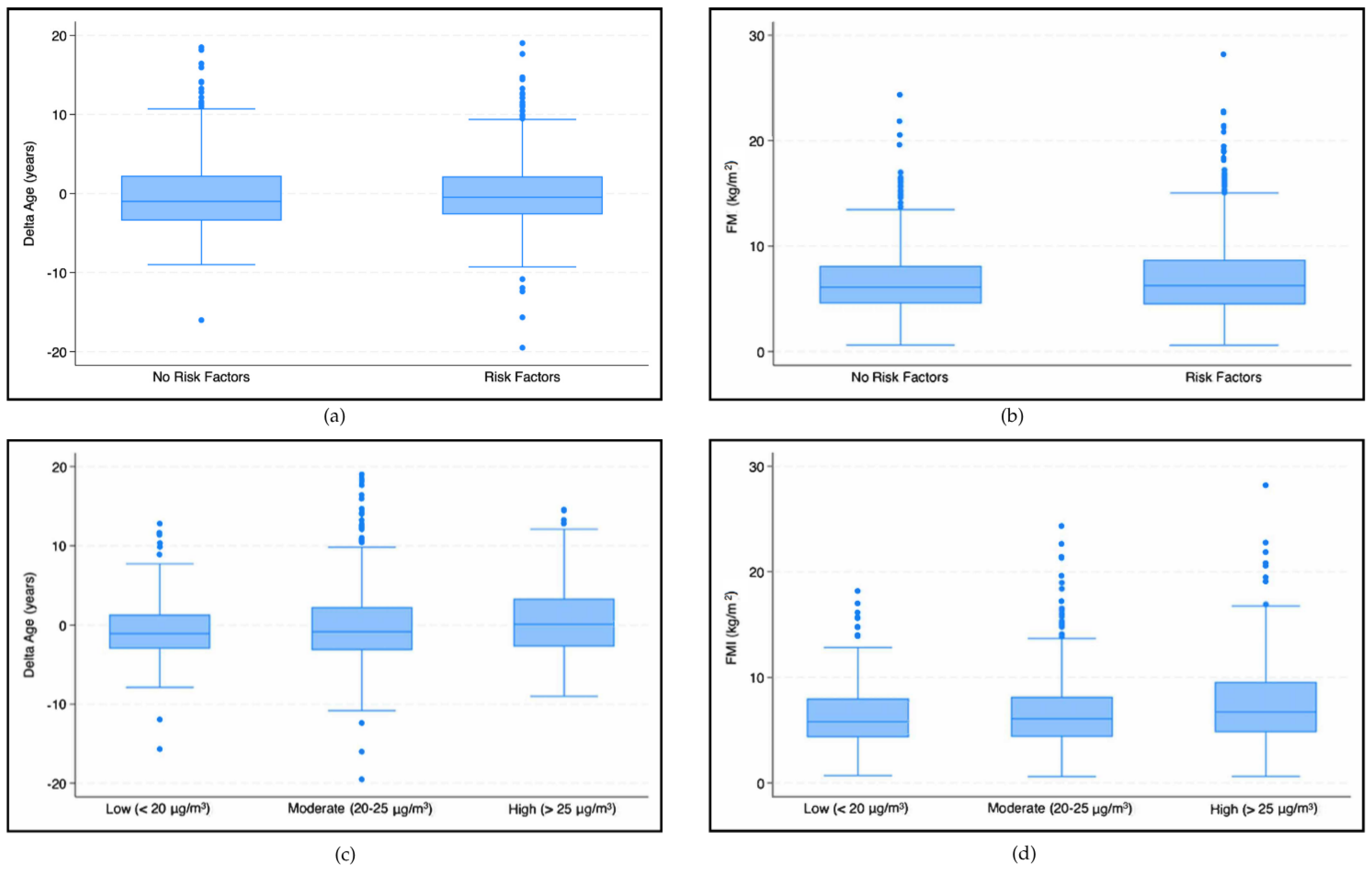
3. Results
- -
- Low 16.77 ± 2.97 µg/m3 (range: 7.69–19.93)
- -
- Moderate: 22.57 ± 1.45 µg/m3 (range: 20.13–25.0)
- -
- High: 27.58 ± 2.53 µg/m3 (range: 25.06–42.75)
- -
- Low: 15.35 ± 2.65 µg/m3 (range: 10.75–19.75)
- -
- Moderate: 23.19 ± 1.11 µg/m3 (range: 20.0–24.94)
- -
- High: 26.96 ± 2.31 µg/m3 (range: 25.0–36.25)

4. Discussion
5. Conclusions
Author Contributions
Funding
Institutional Review Board Statement
Informed Consent Statement
Data Availability Statement
Conflicts of Interest
Abbreviations
| BP | Blood pressure |
| CVD | Cardiovascular disease |
| ABPM | Ambulatory blood pressure monitoring |
| PWV | Pulse wave velocity |
| PM | Particulate matter |
| FM | Fat mass |
| FMI | Fat mass index |
| BCM | Body cellular mass |
| BCMI | Body cellular mass index |
| BMI | Body mass index |
References
- European Environment Agency. Air Quality in Europe 2021. Available online: https://www.eea.europa.eu/en/analysis/publications/air-quality-in-europe-2021 (accessed on 1 March 2025).
- Stone, R. Air pollution. Counting the cost of London’s killer smog. Science 2002, 298, 2106–2107. [Google Scholar] [CrossRef]
- World Health Organization, Regional Office for Europe. Air Quality Guidelines for Europe, 2nd ed.; WHO: Geneva, Switzerland, 2000. [Google Scholar]
- Stafoggia, M.; Oftedal, B.; Chen, J.; Rodopoulou, S.; Renzi, M.; Atkinson, R.W.; Bauwelinck, M.; Klompmaker, J.O.; Mehta, A.; Vienneau, D.; et al. Long-term exposure to low ambient air pollution concentrations and mortality among 28 million people: Results from seven large European cohorts within the ELAPSE project. Lancet Planet. Health 2022, 6, e9–e18. [Google Scholar] [CrossRef]
- Cohen, A.J.; Brauer, M.; Burnett, R.; Anderson, H.R.; Frostad, J.; Estep, K.; Balakrishnan, K.; Brunekreef, B.; Dandona, L.; Dandona, R.; et al. Estimates and 25-year trends of the global burden of disease attributable to ambient air pollution: An analysis of data from the Global Burden of Diseases Study 2015. Lancet 2017, 389, 1907–1918. [Google Scholar] [CrossRef]
- Pérez Velasco, R.; Jarosińska, D. Update of the WHO global air quality guidelines: Systematic reviews—An introduction. Environ. Int. 2022, 170, 107556. [Google Scholar] [CrossRef] [PubMed]
- Orellano, P.; Reynoso, J.; Quaranta, N. Short-term exposure to sulphur dioxide (SO2) and all-cause and respiratory mortality: A systematic review and meta-analysis. Environ. Int. 2021, 150, 106434. [Google Scholar] [CrossRef] [PubMed]
- Liu, C.; Chen, R.; Sera, F.; Vicedo-Cabrera, A.M.; Guo, Y.; Tong, S.; Coelho, M.S.Z.S.; Saldiva, P.H.N.; Lavigne, E.; Matus, P.; et al. Ambient Particulate Air Pollution and Daily Mortality in 652 Cities. N. Engl. J. Med. 2019, 381, 705–715. [Google Scholar] [CrossRef]
- Orellano, P.; Reynoso, J.; Quaranta, N.; Bardach, A.; Ciapponi, A. Short-term exposure to particulate matter (PM10 and PM2.5), nitrogen dioxide (NO2), and ozone (O3) and all-cause and cause-specific mortality: Systematic review and meta-analysis. Environ. Int. 2020, 142, 105876. [Google Scholar] [CrossRef] [PubMed]
- Hoffmann, B.; Boogaard, H.; de Nazelle, A.; Andersen, Z.J.; Abramson, M.; Brauer, M.; Brunekreef, B.; Forastiere, F.; Huang, W.; Kan, H.; et al. WHO Air Quality Guidelines 2021-Aiming for Healthier Air for all: A Joint Statement by Medical, Public Health, Scientific Societies and Patient Representative Organisations. Int. J. Public Health 2021, 66, 1604465. [Google Scholar] [CrossRef] [PubMed]
- Strobl, K.; Irfan, S.A.; Masood, H.; Latif, N.; Kurmi, O. Association between PM10 exposure and risk of myocardial infarction in adults: A systematic review and meta-analysis. PLoS ONE 2024, 19, e0301374. [Google Scholar]
- de Bont, J.; Jaganathan, S.; Dahlquist, M.; Persson, Å.; Stafoggia, M.; Ljungman, P. Ambient air pollution and cardiovascular diseases: An umbrella review of systematic reviews and meta-analyses. J. Intern. Med. 2022, 291, 779–800. [Google Scholar] [CrossRef]
- Requia, W.J.; Adams, M.D.; Arain, A.; Papatheodorou, S.; Koutrakis, P.; Mahmoud, M. Global Association of Air Pollution and Cardiorespiratory Diseases: A Systematic Review, Meta-Analysis, and Investigation of Modifier Variables. Am. J. Public Health 2018, 108, S123–S130. [Google Scholar] [CrossRef]
- Dominski, F.H.; Lorenzetti Branco, J.H.; Buonanno, G.; Stabile, L.; Gameiro da Silva, M.; Andrade, A. Effects of air pollution on health: A mapping review of systematic reviews and meta-analyses. Environ. Res. 2021, 201, 111487. [Google Scholar] [CrossRef] [PubMed]
- Yang, B.Y.; Qian, Z.; Howard, S.W.; Vaughn, M.G.; Fan, S.J.; Liu, K.K.; Dong, G.H. Global association between ambient air pollution and blood pressure: A systematic review and meta-analysis. Environ. Pollut. 2018, 235, 576–588. [Google Scholar] [CrossRef] [PubMed]
- Shah, A.S.; Langrish, J.P.; Nair, H.; McAllister, D.A.; Hunter, A.L.; Donaldson, K.; Newby, D.E.; Mills, N.L. Global association of air pollution and heart failure: A systematic review and meta-analysis. Lancet 2013, 382, 1039–1048. [Google Scholar] [CrossRef] [PubMed]
- Serra, R.; Abramo, A.; Ielapi, N.; Procopio, S.; Marino, P. Environmental Pollution and Peripheral Artery Disease. Risk Manag. Healthc. Policy 2021, 14, 2181–2190. [Google Scholar] [CrossRef]
- Akintoye, E.; Shi, L.; Obaitan, I.; Olusunmade, M.; Wang, Y.; Newman, J.D.; Dodson, J.A. Association between fine particulate matter exposure and subclinical atherosclerosis: A meta-analysis. Eur. J. Prev. Cardiol. 2016, 23, 602–612. [Google Scholar] [CrossRef]
- Zanoli, L.; Lentini, P.; Granata, A.; Gaudio, A.; Fatuzzo, P.; Serafino, L.; Rastelli, S.; Fiore, V.; D’Anca, A.; Signorelli, S.S.; et al. A systematic review of arterial stiffness, wave reflection and air pollution. Mol. Med. Rep. 2017, 15, 3425–3429. [Google Scholar] [CrossRef]
- Huang, S.; Zhang, X.; Huang, J.; Lu, X.; Liu, F.; Gu, D. Ambient air pollution and body weight status in adults: A systematic review and meta-analysis. Environ. Pollut. 2020, 265 Pt. A, 114999. [Google Scholar] [CrossRef]
- Altug, H.; Ogurtsova, K.; Breyer-Kohansal, R.; Schiffers, C.; Ofenheimer, A.; Tzivian, L.; Hartl, S.; Hoffmann, B.; Lucht, S.; Breyer, M.K. Associations of long-term exposure to air pollution and noise with body composition in children and adults: Results from the LEAD general population study. Environ. Int. 2024, 189, 108799. [Google Scholar] [CrossRef]
- Dipartimento del Territorio CT. Qualità dell’Aria in Ticino—Rapporto 2023. Available online: https://m3.ti.ch/COMUNICAZIONI/242753/RQA_2023.pdf (accessed on 1 March 2025).
- Fedlex. Ordinance of 16 December 1985 on Air Pollution Control (OAPC); SR 814.318.142.1; Fedlex: Geneva, Switzerland, 1985. [Google Scholar]
- Agency TES. Air Pollution Fluctuations over the Po Valley. 2024. Available online: https://www.esa.int/Applications/Observing_the_Earth/Air_pollution_fluctuations_over_the_Po_Valley (accessed on 1 March 2025).
- ARPA-Lombardia. Qualità dell’Aria—Un Primo Bilancio dell’Anno 2023. 2024. Available online: https://ecoinformazioni.com/wp-content/uploads/2024/02/ARPA-Lombardia-Analisi-anno-2023_def.pdf (accessed on 1 March 2025).
- Sacks, D.; Baxter, B.; Campbell, B.C.V.; Carpenter, J.S.; Cognard, C.; Dippel, D.; Eesa, M.; Fischer, U.; Hausegger, K.; Hirsch, J.A.; et al. Multisociety Consensus Quality Improvement Revised Consensus Statement for Endovascular Therapy of Acute Ischemic Stroke. Int. J. Stroke 2018, 13, 612–632. [Google Scholar] [CrossRef]
- Vardoulakis, S.; Giagloglou, E.; Steinle, S.; Davis, A.; Sleeuwenhoek, A.; Galea, K.S.; Dixon, K.; Crawford, J.O. Indoor Exposure to Selected Air Pollutants in the Home Environment: A Systematic Review. Int. J. Environ. Res. Public Health 2020, 17, 8972. [Google Scholar] [CrossRef]
- Park, Y.M.; Chavez, D.; Sousan, S.; Figueroa-Bernal, N.; Alvarez, J.R.; Rocha-Peralta, J. Personal exposure monitoring using GPS-enabled portable air pollution sensors: A strategy to promote citizen awareness and behavioral changes regarding indoor and outdoor air pollution. J. Expo. Sci. Environ. Epidemiol. 2023, 33, 347–357. [Google Scholar] [CrossRef]




| Variable | Mean or Frequency | % or SD |
|---|---|---|
| No. of patients | 1202 | |
| Sex, n (%) | ||
| Female | 672 | (56.0) |
| Male | 528 | (44.0) |
| Age (age), mean (SD) | 50.4 | (13.7) |
| Country of birth, n (%) | ||
| Suisse | 816 | (68.0) |
| Other country | 384 | (32.0) |
| Years of residence in Ticino, mean (SD) | 41.4 | (19.0) |
| Diseases and lifestyle, n (%) | ||
| Previous CVD | 39 | (3.3) |
| Hypertension | 192 | (16.1) |
| Hypercholesterolemia | 173 | (14.5) |
| Diabetes | 26 | (2.2) |
| Smoking | 236 | (19.6) |
| CKD | 24 | (2.0) |
| Metabolic syndrome | 104 | (8.7) |
| Medications, n (%) | ||
| Antihypertensives | 188 | (15.8) |
| Hypolipidemic | 176 | (14.8) |
| Body Composition, mean (SD) | ||
| FM (kg) | 19.6 | (10.0) |
| BCM (kg) | 29.2 | (7.8) |
| BCMI (kg/m2) | 10.1 | (2.1) |
| FMI (kg/m2) | 6.9 | (3.6) |
| BMI (kg/m2) | 25.1 | (4.4) |
| Blood pressure values, mean (SD) | ||
| Systolic pressure 24 H (mm/Hg) | 119.1 | (11.9) |
| Diastolic pressure 24 H(mm/Hg) | 74.2 | (8.8) |
| Daily Systolic pressure (mm/Hg) | 121.9 | (12.3) |
| Daily Diastolic pressure (mm/Hg) | 76.9 | (9.1) |
| Dipping (%) | 8.3 | (6.9) |
| PWV Tonometric (m/s), mean (SD) | 7.4 | (1.7) |
| Vascular age * | ||
| Mean (SD) (years) | 50.5 | (13.0) |
| Patients with vascular age ≤ chronological age, n (%) | 640 | (58.0) |
| Patients with vascular age > chronological age, n (%) | 463 | (42.0) |
| Patients with at least three risk factors **, n (%) | 716 | (59.6) |
| Unadjusted Analysis | Adjusted for Risk Factors * | ||||||||
|---|---|---|---|---|---|---|---|---|---|
| BCM | BCMI | FMI | BCM | BCMI | FMI | BCM | BCMI | FMI | |
| NO2 Concentration | −0.16 † (0.05) | −0.04 † (0.01) | 0.05 (0.02) | −0.16 † (0.05) | −0.04 † (0.01) | 0.05 † (0.02) | |||
| PM10 Concentration | −0.10 (0.08) | −0.02 (0.02) | 0.02 (0.04) | −0.10 (0.08) | −0.02 (0.02) | 0.02 (0.04) | |||
| Risk factors (Ref. no risk factors) * | −0.06 (0.47) | −0.08 (0.13) | 0.26 (0.22) | −0.02 (0.47) | −0.06 (0.13) | 0.24 (0.22) | |||
| Unadjusted Analysis | Adjusted for Risk Factors | ||
|---|---|---|---|
| Delta Age * | Delta Age * | ||
| NO2 Concentration (μg/m3) | 0.08 † (0.03) | 0.08 † (0.03) | |
| PM10 Concentration (μg/m3) | 0.06 (0.04) | 0.07 (0.04) | |
| Risk factors (Ref. no risk factors) ** | 0.22 (0.27) | 0.18 (0.27) | |
Disclaimer/Publisher’s Note: The statements, opinions and data contained in all publications are solely those of the individual author(s) and contributor(s) and not of MDPI and/or the editor(s). MDPI and/or the editor(s) disclaim responsibility for any injury to people or property resulting from any ideas, methods, instructions or products referred to in the content. |
© 2025 by the authors. Licensee MDPI, Basel, Switzerland. This article is an open access article distributed under the terms and conditions of the Creative Commons Attribution (CC BY) license (https://creativecommons.org/licenses/by/4.0/).
Share and Cite
Pasini, M.; Zandonà, M.; Garo, M.L.; Bozzini, C.; Cinieri, F.; Del Giorno, R.; Gabutti, L. Air Pollution, Body Composition, and Vascular Age in Southern Switzerland: A Cross-Sectional Population Study. J. Clin. Med. 2025, 14, 6971. https://doi.org/10.3390/jcm14196971
Pasini M, Zandonà M, Garo ML, Bozzini C, Cinieri F, Del Giorno R, Gabutti L. Air Pollution, Body Composition, and Vascular Age in Southern Switzerland: A Cross-Sectional Population Study. Journal of Clinical Medicine. 2025; 14(19):6971. https://doi.org/10.3390/jcm14196971
Chicago/Turabian StylePasini, Matteo, Martina Zandonà, Maria Luisa Garo, Claudio Bozzini, Francesca Cinieri, Rosaria Del Giorno, and Luca Gabutti. 2025. "Air Pollution, Body Composition, and Vascular Age in Southern Switzerland: A Cross-Sectional Population Study" Journal of Clinical Medicine 14, no. 19: 6971. https://doi.org/10.3390/jcm14196971
APA StylePasini, M., Zandonà, M., Garo, M. L., Bozzini, C., Cinieri, F., Del Giorno, R., & Gabutti, L. (2025). Air Pollution, Body Composition, and Vascular Age in Southern Switzerland: A Cross-Sectional Population Study. Journal of Clinical Medicine, 14(19), 6971. https://doi.org/10.3390/jcm14196971

