First- and Second-Trimester Uterine Artery Doppler and Hypertensive Disorders in Twin Pregnancies
Abstract
1. Introduction
2. Materials and Methods
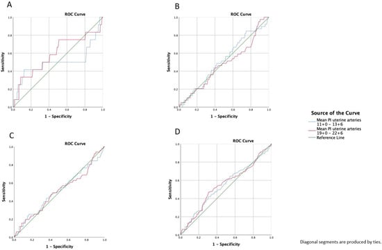
3. Results
4. Discussion
5. Conclusions
Author Contributions
Funding
Institutional Review Board Statement
Informed Consent Statement
Data Availability Statement
Conflicts of Interest
Abbreviations
| UTPI | uterine artery pulsatility index |
| PE | preeclampsia |
| MC | monochorionic |
| DC | dichorionic |
| PI | pulsatility index |
| FGR | fetal growth restriction |
| SD | standard deviation |
| CRL | crown-rump-length |
| ROC | receiver operating characteristics |
| CI | confidence interval |
| AUC | area under the curve |
| ART | assisted reproductive technology |
| IUFD | intrauterine fetal death |
| BMI | body mass index |
| NPV | negative predictive value |
| PPV | positive predictive value |
| LR+ | likelihood ratio of positive test result |
References
- Chauhan, S.P.; Scardo, J.A.; Hayes, E.; Abuhamad, A.Z.; Berghella, V. Twins: Prevalence, Problems, and Preterm Births. Am. J. Obstet. Gynecol. 2010, 203, 305–315. [Google Scholar] [CrossRef]
- Ananth, C.V.; Joseph, K.S.; Demissie, K.; Vintzileos, A.M. Trends in Twin Preterm Birth Subtypes in the United States, 1989 through 2000: Impact on Perinatal Mortality. Am. J. Obstet. Gynecol. 2005, 193, 1076–1082. [Google Scholar] [CrossRef]
- Kogan, M.D.; Alexander, G.R.; Kotelchuck, M.; MacDorman, M.F.; Buekens, P.; Martin, J.A.; Papiernik, E. Trends in Twin Birth Outcomes and Prenatal Care Utilization in the United States, 1981–1997. JAMA 2000, 284, 335–341. [Google Scholar]
- Blondel, B.; Kogan, M.D.; Alexander, G.R.; Dattani, N.; Kramer, M.S.; Macfarlane, A.; Wen, S.W. The Impact of the Increasing Number of Multiple Births on the Rates of Preterm Birth and Low Birthweight: An International Study. Am. J. Public Health 2002, 92, 1323–1330. [Google Scholar]
- Eriksson, A.W.; Fellman, J. Temporal Trends in the Rates of Multiple Maternities in England and Wales. Twin Res. Hum. Genet. 2007, 10, 626–632. [Google Scholar] [CrossRef]
- Imaizumi, Y. Trends of Twinning Rates in Ten Countries, 1972–1996. Acta Genet. Med. Gemellol. 1997, 46, 209–218. [Google Scholar]
- Committee on Practice Bulletins—Obstetrics. Society for Maternal–Fetal Medicine Practice Bulletin No. 169: Multifetal Gestations: Twin, Triplet, and Higher-Order Multifetal Pregnancies. Obstet. Gynecol. 2016, 128, e131–e146. [Google Scholar] [CrossRef]
- Wainstock, T.; Yoles, I.; Sergienko, R.; Sheiner, E. Twins vs Singletons-Long-Term Health Outcomes. Acta Obstet. Gynecol. Scand. 2023, 102, 1000–1006. [Google Scholar] [CrossRef]
- Leeman, L.; Dresang, L.T.; Fontaine, P. Hypertensive Disorders of Pregnancy. Am. Fam. Physician 2016, 93, 121–127. [Google Scholar]
- Espinoza, J.; Vidaeff, A.; Pettker, C.M.; Simhan, H. ACOG Practice Bulletin No. 202: Gestational Hypertension and Preeclampsia. Obstet. Gynecol. 2019, 133, e1–e25. [Google Scholar] [CrossRef]
- Sibai, B.M.; Hauth, J.; Caritis, S.; Lindheimer, M.D.; MacPherson, C.; Klebanoff, M.; VanDorsten, J.P.; Landon, M.; Miodovnik, M.; Paul, R.; et al. Hypertensive Disorders in Twin versus Singleton Gestations. National Institute of Child Health and Human Development Network of Maternal-Fetal Medicine Units. Am. J. Obstet. Gynecol. 2000, 182, 938–942. [Google Scholar]
- Lynch, A.; McDuffie, R.; Murphy, J.; Faber, K.; Orleans, M. Preeclampsia in Multiple Gestation: The Role of Assisted Reproductive Technologies. Obstet. Gynecol. 2002, 99, 445–451. [Google Scholar]
- Francisco, C.; Wright, D.; Benkő, Z.; Syngelaki, A.; Nicolaides, K.H. Hidden High Rate of Pre-Eclampsia in Twin Compared with Singleton Pregnancy. Ultrasound Obstet. Gynecol. 2017, 50, 88–92. [Google Scholar] [CrossRef]
- Rizzo, G.; Pietrolucci, M.E.; Aiello, E.; Capponi, A.; Arduini, D. Uterine Artery Doppler Evaluation in Twin Pregnancies at 11 + 0 to 13 + 6 Weeks of Gestation. Ultrasound Obstet. Gynecol. 2014, 44, 557–561. [Google Scholar] [CrossRef]
- Siegler, Y.; Justman, N.; Bachar, G.; Farago, N.; Vitner, D.; Weiner, Z.; Beloosesky, R. Preeclampsia Twin Pregnancies: Time Differ. Approaches? Eur. J. Obstet. Gynecol. Reprod. Biol. 2025, 313, 114578. [Google Scholar] [CrossRef]
- Day, M.C.; Barton, J.R.; O’Brien, J.M.; Istwan, N.B.; Sibai, B.M. The Effect of Fetal Number on the Development of Hypertensive Conditions of Pregnancy. Obstet. Gynecol. 2005, 106, 927–931. [Google Scholar] [CrossRef]
- American College of Obstetricians and Gynecologists. Task Force on Hypertension in Pregnancy Hypertension in Pregnancy. Report of the American College of Obstetricians and Gynecologists’ Task Force on Hypertension in Pregnancy. Obstet. Gynecol. 2013, 122, 1122–1131. [Google Scholar] [CrossRef]
- Homer, C.S.E.; Brown, M.A.; Mangos, G.; Davis, G.K. Non-Proteinuric Pre-Eclampsia: A Novel Risk Indicator in Women with Gestational Hypertension. J. Hypertens. 2008, 26, 295–302. [Google Scholar] [CrossRef]
- Phipps, E.A.; Thadhani, R.; Benzing, T.; Karumanchi, S.A. Pre-Eclampsia: Pathogenesis, Novel Diagnostics and Therapies. Nat. Rev. Nephrol. 2019, 15, 275–289. [Google Scholar] [CrossRef]
- Lloyd-Davies, C.; Collins, S.L.; Burton, G.J. Understanding the Uterine Artery Doppler Waveform and Its Relationship to Spiral Artery Remodelling. Placenta 2021, 105, 78–84. [Google Scholar] [CrossRef]
- de Ganzo Suárez, T.; de Paco Matallana, C.; Plasencia, W. Spiral, Uterine Artery Doppler and Placental Ultrasound in Relation to Preeclampsia. Best Pr. Res. Clin. Obstet. Gynaecol. 2024, 92, 102426. [Google Scholar] [CrossRef]
- Petla, L.T.; Chikkala, R.; Ratnakar, K.S.; Kodati, V.; Sritharan, V. Biomarkers for the Management of Pre-Eclampsia in Pregnant Women. Indian. J. Med. Res. 2013, 138, 60–67. [Google Scholar]
- Hod, T.; Cerdeira, A.S.; Karumanchi, S.A. Molecular Mechanisms of Preeclampsia. Cold Spring Harb. Perspect. Med. 2015, 5, a023473. [Google Scholar] [CrossRef]
- Maynard, S.E.; Karumanchi, S.A. Angiogenic Factors and Preeclampsia. Semin. Nephrol. 2011, 31, 33–46. [Google Scholar] [CrossRef]
- Agarwal, I.; Karumanchi, S.A. Preeclampsia and the Anti-Angiogenic State. Pregnancy Hypertens. 2011, 1, 17–21. [Google Scholar] [CrossRef]
- Wang, A.; Rana, S.; Karumanchi, S.A. Preeclampsia: The Role of Angiogenic Factors in Its Pathogenesis. Physiology 2009, 24, 147–158. [Google Scholar] [CrossRef]
- Plasencia, W.; Maiz, N.; Bonino, S.; Kaihura, C.; Nicolaides, K.H. Uterine Artery Doppler at 11 + 0 to 13 + 6 Weeks in the Prediction of Pre-Eclampsia. Ultrasound Obstet. Gynecol. 2007, 30, 742–749. [Google Scholar] [CrossRef]
- Papageorghiou, A.T.; Yu, C.K.; Bindra, R.; Pandis, G.; Nicolaides, K.H. Fetal Medicine Foundation Second Trimester Screening Group Multicenter Screening for Pre-Eclampsia and Fetal Growth Restriction by Transvaginal Uterine Artery Doppler at 23 Weeks of Gestation. Ultrasound Obstet. Gynecol. 2001, 18, 441–449. [Google Scholar] [CrossRef]
- Li, M.; Yue, C. Abnormal Uterine Artery Doppler Ultrasound during Gestational 21-23 Weeks Associated with Pre-Eclampsia. Int. J. Gynaecol. Obstet. 2023, 161, 264–270. [Google Scholar] [CrossRef]
- Abonyi, E.O.; Idigo, F.U.; Anakwue, A.-M.C.; Agbo, J.A. Sensitivity of Uterine Artery Doppler Pulsatility Index in Screening for Adverse Pregnancy Outcome in First and Second Trimesters. J. Ultrasound 2023, 26, 517–523. [Google Scholar] [CrossRef]
- Bonacina, E.; Del Barco, E.; Farràs, A.; Dalmau, M.; Garcia, E.; Gleeson-Vallbona, L.; Serrano, B.; Armengol-Alsina, M.; Catalan, S.; Hernadez, A.; et al. Role of Routine Uterine Artery Doppler at 18–22 and 24–28 Weeks’ Gestation Following Routine First-Trimester Screening for Pre-Eclampsia. Ultrasound Obstet. Gynecol. 2025, 65, 63–70. [Google Scholar] [CrossRef]
- Jones, S.L.; Aviram, A.; Porto, L.; Huang, T.; Satkunaratnam, A.; Barrett, J.F.R.; Melamed, N.; Mei-Dan, E. Uterine Artery Doppler to Predict Growth Restriction in Cases of Abnormal First Trimester Analytes. Placenta 2021, 106, 22–24. [Google Scholar] [CrossRef]
- Ekanem, E.; Karouni, F.; Katsanevakis, E.; Kapaya, H. Implementation of Uterine Artery Doppler Scanning: Improving the Care of Women and Babies High Risk for Fetal Growth Restriction. J. Pregnancy 2023, 2023, 1506447. [Google Scholar] [CrossRef]
- Francisco, C.; Wright, D.; Benkő, Z.; Syngelaki, A.; Nicolaides, K.H. Competing-Risks Model in Screening for Pre-Eclampsia in Twin Pregnancy According to Maternal Factors and Biomarkers at 11–13 Weeks’ Gestation. Ultrasound Obstet. Gynecol. 2017, 50, 589–595. [Google Scholar] [CrossRef]
- Filipecka-Tyczka, D.; Pokropek, A.; Kajdy, A.; Modzelewski, J.; Rabijewski, M. Uterine Artery Doppler Reference Ranges in a Twin Caucasian Population Followed Longitudinally From 17 to 37 Weeks Gestation Compared to That of Singletons. J. Ultrasound Med. 2021, 40, 2421–2429. [Google Scholar] [CrossRef]
- Queirós, A.; Domingues, S.; Gomes, L.; Pereira, I.; Brito, M.; Cohen, Á.; Alves, M.; Papoila, A.L.; Simões, T. First-Trimester Uterine Artery Doppler and Hypertensive Disorders in Twin Pregnancies: Use of Twin versus Singleton References. Int. J. Gynaecol. Obstet. 2024, 167, 705–713. [Google Scholar] [CrossRef]
- Cao, L.; He, B.; Zhou, Y.; Chen, T.; Gao, Y.; Yao, B. Utility of Uterine Artery Doppler Ultrasound Imaging in Predicting Preeclampsia during Pregnancy: A Meta-Analysis. Med. Ultrason. 2024, 26, 197–204. [Google Scholar] [CrossRef]
- Geipel, A.; Berg, C.; Germer, U.; Katalinic, A.; Krapp, M.; Smrcek, J.; Gembruch, U. Doppler Assessment of the Uterine Circulation in the Second Trimester in Twin Pregnancies: Prediction of Pre-Eclampsia, Fetal Growth Restriction and Birth Weight Discordance. Ultrasound Obstet. Gynecol. 2002, 20, 541–545. [Google Scholar] [CrossRef]
- Yu, C.K.H.; Papageorghiou, A.T.; Boli, A.; Cacho, A.M.; Nicolaides, K.H. Screening for Pre-Eclampsia and Fetal Growth Restriction in Twin Pregnancies at 23 Weeks of Gestation by Transvaginal Uterine Artery Doppler. Ultrasound Obstet. Gynecol. 2002, 20, 535–540. [Google Scholar] [CrossRef]
- Pilalis, A.; Souka, A.P.; Antsaklis, P.; Daskalakis, G.; Papantoniou, N.; Mesogitis, S.; Antsaklis, A. Screening for Pre-Eclampsia and Fetal Growth Restriction by Uterine Artery Doppler and PAPP-A at 11-14 Weeks’ Gestation. Ultrasound Obstet. Gynecol. 2007, 29, 135–140. [Google Scholar] [CrossRef]
- Velauthar, L.; Plana, M.N.; Kalidindi, M.; Zamora, J.; Thilaganathan, B.; Illanes, S.E.; Khan, K.S.; Aquilina, J.; Thangaratinam, S. First-Trimester Uterine Artery Doppler and Adverse Pregnancy Outcome: A Meta-Analysis Involving 55,974 Women. Ultrasound Obstet. Gynecol. 2014, 43, 500–507. [Google Scholar] [CrossRef]
- Yu, C.K.H.; Khouri, O.; Onwudiwe, N.; Spiliopoulos, Y.; Nicolaides, K.H. Fetal Medicine Foundation Second-Trimester Screening Group Prediction of Pre-Eclampsia by Uterine Artery Doppler Imaging: Relationship to Gestational Age at Delivery and Small-for-Gestational Age. Ultrasound Obstet. Gynecol. 2008, 31, 310–313. [Google Scholar] [CrossRef]
- Lees, C.; Parra, M.; Missfelder-Lobos, H.; Morgans, A.; Fletcher, O.; Nicolaides, K.H. Individualized Risk Assessment for Adverse Pregnancy Outcome by Uterine Artery Doppler at 23 Weeks. Obstet. Gynecol. 2001, 98, 369–373. [Google Scholar] [CrossRef]
- Martin, A.M.; Bindra, R.; Curcio, P.; Cicero, S.; Nicolaides, K.H. Screening for Pre-Eclampsia and Fetal Growth Restriction by Uterine Artery Doppler at 11–14 Weeks of Gestation. Ultrasound Obstet. Gynecol. 2001, 18, 583–586. [Google Scholar] [CrossRef]
- Pedroso, M.A.; Palmer, K.R.; Hodges, R.J.; Costa, F.D.S.; Rolnik, D.L. Uterine Artery Doppler in Screening for Preeclampsia and Fetal Growth Restriction. Rev. Bras. Ginecol. Obstet. 2018, 40, 287–293. [Google Scholar] [CrossRef]
- Geipel, A.; Hennemann, F.; Fimmers, R.; Willruth, A.; Lato, K.; Gembruch, U.; Berg, C. Reference Ranges for Doppler Assessment of Uterine Artery Resistance and Pulsatility Indices in Dichorionic Twin Pregnancies. Ultrasound Obstet. Gynecol. 2011, 37, 663–667. [Google Scholar] [CrossRef]
- Springer, S.; Polterauer, M.; Stammler-Safar, M.; Zeisler, H.; Leipold, H.; Worda, C.; Worda, K. Notching and Pulsatility Index of the Uterine Arteries and Preeclampsia in Twin Pregnancies. J. Clin. Med. 2020, 9, 2653. [Google Scholar] [CrossRef]
- Klein, K.; Mailath-Pokorny, M.; Elhenicky, M.; Schmid, M.; Zeisler, H.; Worda, C. Mean, Lowest, and Highest Pulsatility Index of the Uterine Artery and Adverse Pregnancy Outcome in Twin Pregnancies. Am. J. Obstet. Gynecol. 2011, 205, 549.e1–549.e7. [Google Scholar] [CrossRef]
- Rizzo, G.; Arduini, D.; Romanini, C. Uterine Artery Doppler Velocity Waveforms in Twin Pregnancies. Obstet. Gynecol. 1993, 82, 978–983. [Google Scholar]
- Svirsky, R.; Yagel, S.; Ben-Ami, I.; Cuckle, H.; Klug, E.; Maymon, R. First Trimester Markers of Preeclampsia in Twins: Maternal Mean Arterial Pressure and Uterine Artery Doppler Pulsatility Index. Prenat. Diagn. 2014, 34, 956–960. [Google Scholar] [CrossRef]
- Ferreira, A.E.G.M.T.; Mauad Filho, F.; Abreu, P.S.G.; Mauad, F.M.; Araujo Júnior, E.; Martins, W.P. Reproducibility of First- and Second-Trimester Uterine Artery Pulsatility Index Measured by Transvaginal and Transabdominal Ultrasound. Ultrasound Obstet. Gynecol. 2015, 46, 546–552. [Google Scholar] [CrossRef]
- Gómez, O.; Figueras, F.; Fernández, S.; Bennasar, M.; Martínez, J.M.; Puerto, B.; Gratacós, E. Reference Ranges for Uterine Artery Mean Pulsatility Index at 11–41 Weeks of Gestation. Ultrasound Obstet. Gynecol. 2008, 32, 128–132. [Google Scholar] [CrossRef]
- Francisco, C.; Gamito, M.; Reddy, M.; Rolnik, D.L. Screening for Preeclampsia in Twin Pregnancies. Best. Pr. Res. Clin. Obstet. Gynaecol. 2022, 84, 55–65. [Google Scholar] [CrossRef]
- Chen, J.; Zhao, D.; Liu, Y.; Zhou, J.; Zou, G.; Zhang, Y.; Guo, M.; Duan, T.; Van Mieghem, T.; Sun, L. Screening for Preeclampsia in Low-Risk Twin Pregnancies at Early Gestation. Acta Obstet. Gynecol. Scand. 2020, 99, 1346–1353. [Google Scholar] [CrossRef]
- Benkő, Z.; Chaveeva, P.; de Paco Matallana, C.; Zingler, E.; Wright, D.; Nicolaides, K.H. Revised Competing-Risks Model in Screening for Pre-Eclampsia in Twin Pregnancy by Maternal Characteristics and Medical History. Ultrasound Obstet. Gynecol. 2019, 54, 617–624. [Google Scholar] [CrossRef]
- Maymon, R.; Trahtenherts, A.; Svirsky, R.; Melcer, Y.; Madar-Shapiro, L.; Klog, E.; Meiri, H.; Cuckle, H. Developing a New Algorithm for First and Second Trimester Preeclampsia Screening in Twin Pregnancies. Hypertens. Pregnancy 2017, 36, 108–115. [Google Scholar] [CrossRef]
- Bergeron, T.S.; Roberge, S.; Carpentier, C.; Sibai, B.; McCaw-Binns, A.; Bujold, E. Prevention of Preeclampsia with Aspirin in Multiple Gestations: A Systematic Review and Meta-Analysis. Am. J. Perinatol. 2016, 33, 605–610. [Google Scholar] [CrossRef]


| Characteristic | Controls (N = 503) | Preeclampsia (N = 51) | Early Preeclampsia (N = 12) | Late Preeclampsia (N = 39) |
|---|---|---|---|---|
| age, y, * | 31.8 (5.8) | 34.0 (6.5) | 34.6 (6.6) | 33.8 (6.6) |
| BMI, kg/m2, † | 22.7 (15.5–49.4) | 23.5 (18.9–37.6) | 29.1 (19.4–35.6) | 23.5 (18.9–37.6) |
| nulliparity, ‡ | 287 (57.1) | 38 (74.5) | 8 (66.7) | 30 (76.9) |
| smoking, ‡ | 49 (9.7) | 6 (11.8) | 3 (25.0) | 3 (7.7) |
| ART, ‡ | 184 (36.6) | 27 (52.9) | 8 (66.7) | 19 (48.7) |
| chorionicity, ‡ | ||||
| DC twins | 352 (70.0) | 40 (78.4) | 9 (75.0) | 31 (79.5) |
| MC twins | 151 (30.0) | 11 (21.6) | 3 (25.0) | 8 (20.5) |
| gestational weeks at delivery, † | 36.7 (23.0–41.1) | 36.0 (28.7–38.9) | 33.5 (28.7–35.7) | 36.3 (30.4–38.9) |
| Characteristic | Controls (N = 407) | Adverse Pregnancy Outcome (N = 147) |
|---|---|---|
| age, y, * | 31.8 (5.7) | 32.5 (6.3) |
| BMI, kg/m2, † | 22.7 (15.8–49.4) | 23.3 (15.5–40.7) |
| nulliparity, ‡ | 221 (54.3) | 104 (70.7) |
| smoking, ‡ | 37 (9.1) | 18 (12.2) |
| ART, ‡ | 143 (35.1) | 68 (46.3) |
| chorionicity, ‡ | ||
| DC twins | 292 (71.7) | 100 (68.0) |
| MC twins | 115 (28.3) | 47 (32.0) |
| gestational weeks at delivery, † | 37.0 (30.3–39.9) | 34.1 (23.0–41.1) |
| Characteristics | Controls (N = 503) | Preeclampsia (N = 51) | p |
|---|---|---|---|
| UTPI at gestational weeks 11+0–13+6, * | 1.23 (0.36–2.97) | 1.26 (0.54–2.57) | 0.77 |
| UTPI at gestational weeks 19+0–22+6, * | 0.80 (0.33–1.78) | 0.81 (0.47–1.56) | 0.93 |
| Characteristics | MC (N = 162) | DC (N = 392) | p |
|---|---|---|---|
| UTPI at gestational weeks 11+0–13+6, * | 1.38 (0.54–2.45) | 1.24 (0.36–2.97) | <0.01 |
| UTPI at gestational weeks 19+0–22+6, * | 0.88 (0.47–1.76) | 0.82 (0.33–1.78) | <0.01 |
| Characteristics | Sensitivity | Specificity | PPV | NPV | LR+ | 95% CI |
|---|---|---|---|---|---|---|
| preeclampsia (n = 51) | 25.5% | 83.7% | 13.7% | 91.7% | 1.6 | 0.94–2.60 |
| early preeclampsia (n =12) | 41.7% | 83.4% | 5.3% | 98.5% | 2.5 | 1.25–5.03 |
| late preeclampsia (n =39) | 20.5% | 83.1% | 8.4% | 93.2% | 1.2 | 0.64–2.32 |
| adverse pregnancy outcome (n = 147) | 23.1% | 85.0% | 35.8% | 75.4% | 1.5 | 1.06–2.24 |
| Characteristics | Sensitivity | Specificity | PPV | NPV | LR+ | 95% CI |
|---|---|---|---|---|---|---|
| preeclampsia (n = 51) | 15.7% | 91.7% | 16.0% | 91.5% | 1.9 | 0.93–3.78 |
| early preeclampsia (n = 12) | 33.3% | 91.5% | 8.0% | 98.4% | 3.9 | 1.68–9.16 |
| late preeclampsia (n = 39) | 10.3% | 91.0% | 8.0% | 93.1% | 1.1 | 0.44–3.02 |
| adverse pregnancy outcome (n = 147) | 12.2% | 92.1% | 36.0% | 74.4% | 1.6 | 0.90–2.69 |
| Mean UTPI > 1.683 at Gestational Weeks 11+0–13+6 | |||||
|---|---|---|---|---|---|
| Yes | No | Total | |||
| mean UTPI > 1.188 at Gestational weeks 19+0–22+6 | Yes | Count | 27 | 23 | 50 |
| % within mean UTPI > 1.188 at gestational weeks 19+0–22+6 | 75% | 46% | 100% | ||
| % within mean UTPI > 1.683 at gestational weeks 11+0–13+6 | 28.4% | 5% | 9% | ||
| No | Count | 68 | 436 | 504 | |
| % within mean UTPI > 1.188 at gestational weeks 19+0–22+6 | 75% | 86.5% | 100% | ||
| % within mean UTPI > 1.683 at gestational weeks 11+0–13+6 | 71.6% | 95% | 91% | ||
| Total | Count | 95 | 459 | 554 | |
| % within mean UTPI > 1.188 at gestational weeks 19+0–22+6 | 75% | 82.9% | 100% | ||
| % within mean UTPI > 1.683 at gestational weeks 11+0–13+6 | 100% | 100% | 100% | ||
| Variable | OR | 95% CI | p Value |
|---|---|---|---|
| prediction of preeclampsia | |||
| maternal age | 1.07 | 1.02–1.12 | 0.01 |
| maternal BMI | 1.07 | 1.01–1.13 | 0.015 |
| nulliparity | 2.75 | 1.38–5.47 | 0.004 |
| mean UTPI at gestational weeks 11+0–13+6 > 1.682 and 19+0–22+6 > 1.187 | 2.84 | 1.05–7.77 | 0.03 |
| prediction of early preeclampsia | |||
| maternal BMI | 1.1 | 1.00–1.20 | 0.04 |
| mean UTPI at gestational weeks 11+0–13+6 > 1.682 and 19+0–22+6 > 1.187 | 10.13 | 2.8–36.73 | <0.001 |
| prediction of late preeclampsia | |||
| maternal age | 1.06 | 1.00–1.12 | 0.04 |
| nulliparity | 2.53 | 1.17–5.44 | 0.02 |
| prediction of adverse pregnancy outcome | |||
| nulliparity | 2.28 | 1.53–3.58 | <0.001 |
| mean UTPI at gestational weeks 11+0–13+6 > 1.682 and 19+0–22+6 > 1.187 | 2.91 | 1.31–6.64 | 0.009 |
Disclaimer/Publisher’s Note: The statements, opinions and data contained in all publications are solely those of the individual author(s) and contributor(s) and not of MDPI and/or the editor(s). MDPI and/or the editor(s) disclaim responsibility for any injury to people or property resulting from any ideas, methods, instructions or products referred to in the content. |
© 2025 by the authors. Licensee MDPI, Basel, Switzerland. This article is an open access article distributed under the terms and conditions of the Creative Commons Attribution (CC BY) license (https://creativecommons.org/licenses/by/4.0/).
Share and Cite
Springer, S.; Anzböck, T.; Worda, K.; Karner, E.; Worda, C. First- and Second-Trimester Uterine Artery Doppler and Hypertensive Disorders in Twin Pregnancies. J. Clin. Med. 2025, 14, 5563. https://doi.org/10.3390/jcm14155563
Springer S, Anzböck T, Worda K, Karner E, Worda C. First- and Second-Trimester Uterine Artery Doppler and Hypertensive Disorders in Twin Pregnancies. Journal of Clinical Medicine. 2025; 14(15):5563. https://doi.org/10.3390/jcm14155563
Chicago/Turabian StyleSpringer, Stephanie, Teresa Anzböck, Katharina Worda, Eva Karner, and Christof Worda. 2025. "First- and Second-Trimester Uterine Artery Doppler and Hypertensive Disorders in Twin Pregnancies" Journal of Clinical Medicine 14, no. 15: 5563. https://doi.org/10.3390/jcm14155563
APA StyleSpringer, S., Anzböck, T., Worda, K., Karner, E., & Worda, C. (2025). First- and Second-Trimester Uterine Artery Doppler and Hypertensive Disorders in Twin Pregnancies. Journal of Clinical Medicine, 14(15), 5563. https://doi.org/10.3390/jcm14155563

