Prevalence of Diabetes Mellitus and Clinical Differences in Patients with Severe Osteoporosis and Fragility Fractures
Abstract
1. Introduction
2. Materials and Methods
2.1. Case Selection
2.2. Data Collection
2.3. BMD Assessment
2.4. Statistical Analysis
3. Results
4. Discussion
5. Conclusions
Author Contributions
Funding
Institutional Review Board Statement
Informed Consent Statement
Data Availability Statement
Conflicts of Interest
References
- Nuti, R.; Brandi, M.L.; Checchia, G.; Di Munno, O.; Dominguez, L.; Falaschi, P.; Fiore, C.E.; Iolascon, G.; Maggi, S.; Michieli, R.; et al. Guidelines for the management of osteoporosis and fragility fractures. Intern. Emerg. Med. 2019, 14, 85–102. [Google Scholar] [CrossRef] [PubMed]
- Johnston, C.B.; Dagar, M. Osteoporosis in Older Adults. Med. Clin. N. Am. 2020, 104, 873–884. [Google Scholar] [CrossRef] [PubMed]
- Piscitelli, P.; Neglia, C.; Feola, M.; Rizzo, E.; Argentiero, A.; Ascolese, M.; Rivezzi, M.; Rao, C.; Miani, A.; Distante, A.; et al. Updated incidence and costs of hip fractures in elderly Italian population. Aging Clin. Exp. Res. 2020, 32, 2587–2593. [Google Scholar] [CrossRef]
- Davies, M.J.; Aroda, V.R.; Collins, B.S.; Gabbay, R.A.; Green, J.; Maruthur, N.M.; Rosas, S.E.; Del Prato, S.; Mathieu, C.; Mingrone, G.; et al. Management of hyperglycaemia in type 2 diabetes, 2022. A consensus report by the American Diabetes Association (ADA) and the European Association for the Study of Diabetes (EASD). Diabetologia 2022, 65, 1925–1966. [Google Scholar] [CrossRef] [PubMed]
- Lovic, D.; Piperidou, A.; Zografou, I.; Grassos, H.; Pittaras, A.; Manolis, A. The Growing Epidemic of Diabetes Mellitus. Curr. Vasc. Pharmacol. 2020, 18, 104–109. [Google Scholar] [CrossRef]
- Ministero della Salute. Relazione al Parlamento 2021 Sullo Stato Delle Conoscenze e Delle Nuove Acquisizioni in Tema di Diabete Mellito—Legge 16 Marzo 1987, n. 115, Recante “Disposizioni per la Prevenzione e la Cura del Diabete Mellito”. Available online: https://www.salute.gov.it/portale/documentazione/p6_2_2_1.jsp?lingua=italiano&id=3229 (accessed on 9 January 2024).
- Dal Canto, E.; Ceriello, A.; Rydén, L.; Ferrini, M.; Hansen, T.B.; Schnell, O.; Standl, E.; Beulens, J.W. Diabetes as a cardiovascular risk factor: An overview of global trends of macro and micro vascular complications. Eur. J. Prev. Cardiol. 2019, 26, 25–32. [Google Scholar] [CrossRef]
- Napoli, N.; Chandran, M.; Pierroz, D.D.; Abrahamsen, B.; Schwartz, A.V.; Ferrari, S.L. Mechanisms of diabetes mellitus-induced bone fragility. Nat. Rev. Endocrinol. 2017, 13, 208–219. [Google Scholar] [CrossRef]
- Hofbauer, L.C.; Busse, B.; Eastell, R.; Ferrari, S.; Frost, M.; Müller, R.; Burden, A.M.; Rivadeneira, F.; Napoli, N.; Rauner, M. Bone fragility in diabetes: Novel concepts and clinical implications. Lancet Diabetes Endocrinol. 2022, 10, 207–220. [Google Scholar] [CrossRef]
- Napoli, N.; Incalzi, R.A.; De Gennaro, G.; Marcocci, C.; Marfella, R.; Papalia, R.; Purrello, F.; Ruggiero, C.; Tarantino, U.; Tramontana, F.; et al. Bone fragility in patients with diabetes mellitus: A consensus statement from the working group of the Italian Diabetes Society (SID), Italian Society of Endocrinology (SIE), Italian Society of Gerontology and Geriatrics (SIGG), Italian Society of Orthopaedics and Traumatology (SIOT). Nutr. Metab. Cardiovasc. Dis. 2021, 31, 1375–1390. [Google Scholar] [CrossRef]
- Janghorbani, M.; Van Dam, R.M.; Willett, W.C.; Hu, F.B. Systematic Review of Type 1 and Type 2 Diabetes Mellitus and Risk of Fracture. Am. J. Epidemiol. 2007, 166, 495–505. [Google Scholar] [CrossRef]
- Weber, D.R.; Haynes, K.; Leonard, M.B.; Willi, S.M.; Denburg, M.R. Type 1 Diabetes Is Associated with an Increased Risk of Fracture across the Life Span: A Population-Based Cohort Study Using The Health Improvement Network (THIN). Diabetes Care 2015, 38, 1913–1920. [Google Scholar] [CrossRef]
- Van Hulten, V.; Rasmussen, N.; Driessen, J.H.M.; Burden, A.M.; Kvist, A.; van den Bergh, J.P. Fracture Patterns in Type 1 and Type 2 Diabetes Mellitus: A Narrative Review of Recent Literature. Curr. Osteoporos. Rep. 2021, 19, 644–655. [Google Scholar] [CrossRef]
- Bai, J.; Gao, Q.; Wang, C.; Dai, J. Diabetes mellitus and risk of low-energy fracture: A meta-analysis. Aging Clin. Exp. Res. 2020, 32, 2173–2186. [Google Scholar] [CrossRef] [PubMed]
- Wang, H.; Ba, Y.; Xing, Q.; Du, J.-L. Diabetes mellitus and the risk of fractures at specific sites: A meta-analysis. BMJ Open 2019, 9, e024067. [Google Scholar] [CrossRef] [PubMed]
- Palermo, A.; D’Onofrio, L.; Buzzetti, R.; Manfrini, S.; Napoli, N. Pathophysiology of Bone Fragility in Patients with Diabetes. Calcif. Tissue Int. 2017, 100, 122–132. [Google Scholar] [CrossRef]
- Eller-Vainicher, C.; Cairoli, E.; Grassi, G.; Grassi, F.; Catalano, A.; Merlotti, D.; Falchetti, A.; Gaudio, A.; Chiodini, I.; Gennari, L. Pathophysiology and Management of Type 2 Diabetes Mellitus Bone Fragility. J. Diabetes Res. 2020, 2020, 7608964. [Google Scholar] [CrossRef]
- Hamann, C.; Kirschner, S.; Günther, K.P.; Hofbauer, L.C. Bone, sweet bone—Osteoporotic fractures in diabetes mellitus. Nat. Rev. Endocrinol. 2012, 8, 297–305. [Google Scholar] [CrossRef]
- Napoli, N.; Strotmeyer, E.S.; Ensrud, K.E.; Sellmeyer, D.E.; Bauer, D.C.; Hoffman, A.R.; Dam, T.T.L.; Barrett-Connor, E.; Palermo, L.; Orwoll, E.S.; et al. Fracture risk in diabetic elderly men: The MrOS study. Diabetologia 2014, 57, 2057–2065. [Google Scholar] [CrossRef]
- Valderrábano, R.J.; Linares, M.I. Diabetes mellitus and bone health: Epidemiology, etiology and implications for fracture risk stratification. Clin. Diabetes Endocrinol. 2018, 4, 9. [Google Scholar] [CrossRef]
- Krugh, M.; Langaker MDKrugh, M.; Langaker, M.D. Dual-Energy X-Ray Absorptiometry. In StatPearls; StatPearls Publishing: Treasure Island, FL, USA, 2023. [Google Scholar] [PubMed]
- Bonds, D.E.; Larson, J.C.; Schwartz, A.V.; Strotmeyer, E.S.; Robbins, J.; Rodriguez, B.L.; Johnson, K.C.; Margolis, K.L. Risk of fracture in women with type 2 diabetes: The Women’s Health Initiative Observational Study. J. Clin. Endocrinol. Metab. 2006, 91, 3404–3410. [Google Scholar] [CrossRef]
- Dhaliwal, R.; Cibula, D.; Ghosh, C.; Weinstock, R.S.; Moses, A.M. Bone quality assessment in type 2 diabetes mellitus. Osteoporos. Int. 2014, 25, 1969–1973. [Google Scholar] [CrossRef] [PubMed]
- Silva, B.C.; Leslie, W.D.; Resch, H.; Lamy, O.; Lesnyak, O.; Binkley, N.; McCloskey, E.V.; Kanis, J.A.; Bilezikian, J.P. Trabecular bone score: A noninvasive analytical method based upon the DXA image. J. Bone Miner. Res. 2014, 29, 518–530. [Google Scholar] [CrossRef] [PubMed]
- McCloskey, E.V.; Odén, A.; Harvey, N.C.; Leslie, W.D.; Hans, D.; Johansson, H.; Barkmann, R.; Boutroy, S.; Brown, J.; Chapurlat, R.; et al. A Meta-Analysis of Trabecular Bone Score in Fracture Risk Prediction and Its Relationship to FRAX. J. Bone Miner. Res. 2016, 31, 940–948. [Google Scholar] [CrossRef] [PubMed]
- Ho-Pham, L.T.; Nguyen, T.V. Association between trabecular bone score and type 2 diabetes: A quantitative update of evidence. Osteoporos. Int. 2019, 30, 2079–2085. [Google Scholar] [CrossRef] [PubMed]
- Guglielmi, G.; Diacinti, D.; Van Kuijk, C.; Aparisi, F.; Krestan, C.; Adams, J.E.; Link, T.M. Vertebral morphometry: Current methods and recent advances. Eur. Radiol. 2008, 18, 1484–1496. [Google Scholar] [CrossRef] [PubMed]
- The jamovi Project. 2022. jamovi. Version 2.3. Computer Software. Available online: https://www.jamovi.org (accessed on 9 January 2024).
- Janghorbani, M.; Feskanich, D.; Willett, W.C.; Hu, F. Prospective study of diabetes and risk of hip fracture: The Nurses’ Health Study. Diabetes Care 2006, 29, 1573–1578. [Google Scholar] [CrossRef] [PubMed]
- Gkastaris, K.; Goulis, D.G.; Potoupnis, M.; Anastasilakis, A.D.; Kapetanos, G. Obesity, osteoporosis and bone metabolism. J. Musculoskelet. Neuronal Interact. 2020, 20, 372–381. [Google Scholar] [PubMed]
- Lloret, M.J.; Fusaro, M.; Jørgensen, H.S.; Haarhaus, M.; Gifre, L.; Alfieri, C.M.; Massó, E.; D’Marco, L.; Evenepoel, P.; Bover, J. Evaluating Osteoporosis in Chronic Kidney Disease: Both Bone Quantity and Quality Matter. J. Clin. Med. 2024, 13, 1010. [Google Scholar] [CrossRef]
- Leslie, W.D.; Krieg, M.A.; Hans, D. Clinical factors associated with trabecular bone score. J. Clin. Densitom. 2013, 16, 374–379. [Google Scholar] [CrossRef]
- Palermo, A.; Tuccinardi, D.; Defeudis, G.; Watanabe, M.; D’Onofrio, L.; Lauria Pantano, A.; Napoli, N.; Pozzilli, P.; Manfrini, S. BMI and BMD: The Potential Interplay between Obesity and Bone Fragility. Int. J. Environ. Res. Public Health 2016, 13, 544. [Google Scholar] [CrossRef]
- Gortler, H.; Rusyn, J.; Godbout, C.; Chahal, J.; Schemitsch, E.H.; Nauth, A. Diabetes and Healing Outcomes in Lower Extremity Fractures: A Systematic Review. Injury 2018, 49, 177–183. [Google Scholar] [CrossRef] [PubMed]
- Norris, R.; Parker, M. Diabetes mellitus and hip fracture: A study of 5966 cases. Injury 2011, 42, 1313–1316. [Google Scholar] [CrossRef] [PubMed]


| Variables | Total | DM+ | DM− | p-Value |
|---|---|---|---|---|
| Participants n. (%) | 589 | 75 (12.7) | 523 (87.3) | |
| Males n. (%) | 20 (3.3) | 6 (8) | 14 (2.7) | 0.016 |
| Median Age (years) | 80 ± 12 | 82 ± 7.5 | 80 ± 12 | 0.190 |
| Median BMI (kg/m2) | 23.2 ± 3.33 | 24.6 ± 4.90 | 23.1 ± 3.27 | <0.001 |
| Median age at the time of first fracture (years) | 71 ± 12 | 72 ± 13.5 | 71 ± 12 | 0.514 |
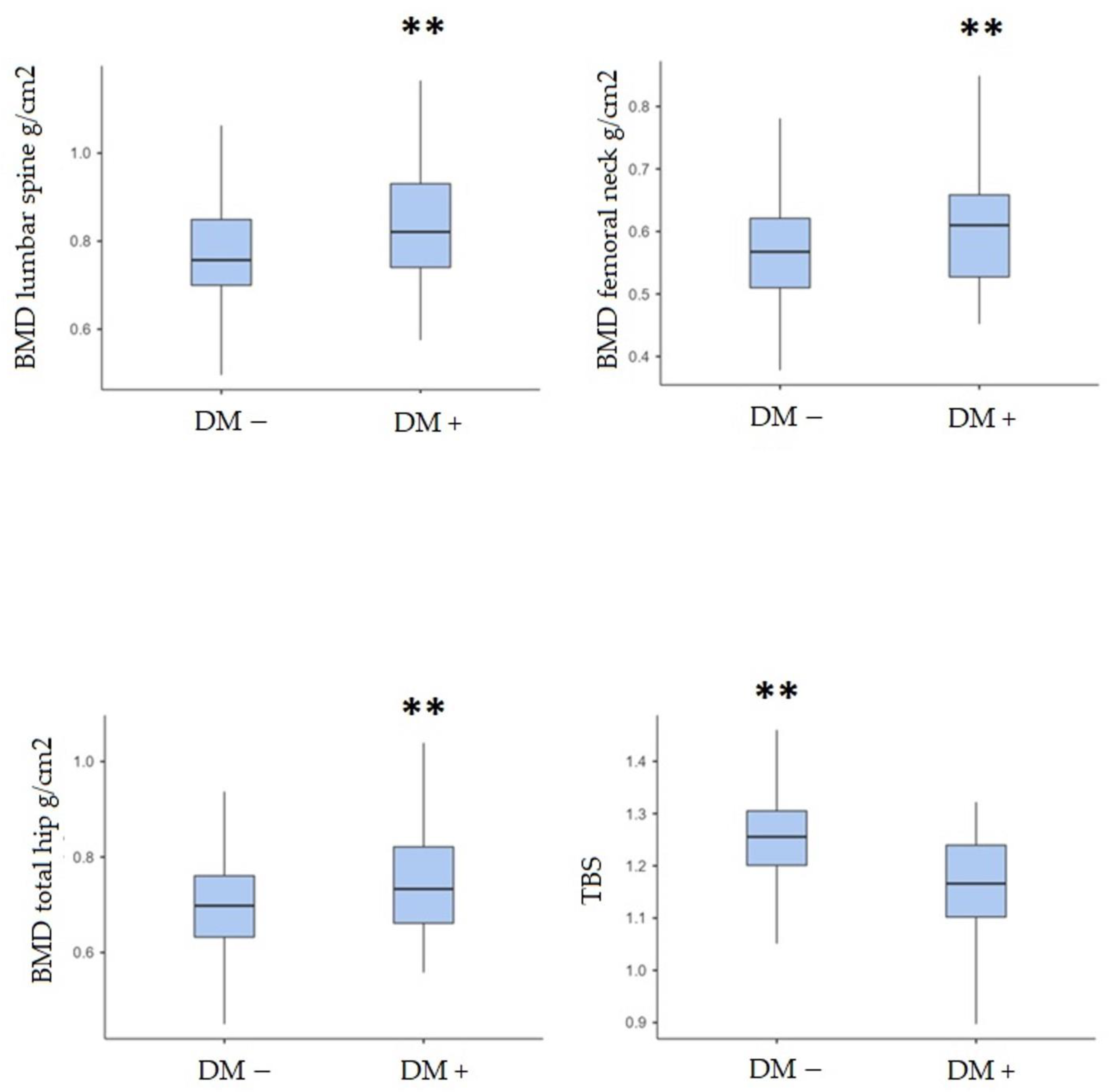
| Median BMD lumbar spine (g/cm2) | 0.763 ± 0.160 | 0.821 ± 0.190 | 0.757 ± 0.150 | <0.001 |
| Median BMD femoral neck (g/cm2) | 0.572 ± 0.111 | 0.610 ± 0.131 | 0.567 ± 0.111 | 0.006 |
| Median BMD total hip (g/cm2) | 0.700 ± 0.131 | 0.733 ± 0.160 | 0.698 ± 0.129 | 0.002 |
| Median TBS | 1.250 ± 0.114 | 1.170 ± 0.137 | 1.260 ± 0.104 | <0.001 |
| Family history of Osteoporosis n. (%) | 169 (28.3) | 1 (1.3) | 168 (32.1) | <0.001 |
| Smoking habit n. (%) | 108 (18.1) | 21 (28) | 87 (16.6) | 0.017 |
| Alcohol excess n. (%) | 6 (1) | 0 (0) | 6 (1.1) | 0.351 |
| RA n. (%) | 21 (3.5) | 1 (1.3) | 20 (3.8) | 0.273 |
| COPD n. (%) | 35 (5.9) | 4 (5.3) | 31 (5.9) | 0.838 |
| Cortisone therapy n. (%) | 30 (5.0) | 0 (0) | 30 (5.7) | 0.033 |
| Vertebral fractures n. (%) | 500 (83.6) | 57 (76.0) | 443 (84.7) | 0.057 |
| Hip fractures n. (%) | 30 (5) | 5 (6.7) | 25 (4.8) | 0.484 |
| Both vertebral and hip fractures n. (%) | 23 (3.8) | 7 (9.3) | 16 (3.1) | 0.008 |
| Non-vertebral—non-hip fractures n. (%) | 52 (8.7) | 6 (8) | 46 (8.8) | 0.819 |
| Patients with DM n. | 75 |
|---|---|
| Type 2 DM n. (%) | 68 (90.7) |
| Median Duration of DM (years) | 15 ± 10 |
| Median HbA1c mmol/mol | 50 ± 12.3 |
| Median HbA1c % | 6.8 ± 1.5 |
| Nutritional therapy n. (%) | 10 (13.3) |
| Oral hypoglycemic drugs n. (%) | 43 (57.3) |
| Insulin n. (%) | 17 (22.7) |
| Insulin + oral hypoglycemic drugs n. (%) | 5 (6.7) |
| Coronary heart disease n. (%) | 15 (20) |
| Carotid artery atheromasia—peripheral arterial disease n. (%) | 30 (40) |
| Peripheral Neuropathy n. (%) | 15 (20) |
| Retinopathy n. (%) | 8 (10.7) |
| Nephropathy n. (%) | 16 (21.3) |
| Stage 2 CKD n. (%) | 3 (19) |
| Stage 3a CKD n. (%) | 5 (31) |
| Stage 3b CKD n. (%) | 8 (50) |
Disclaimer/Publisher’s Note: The statements, opinions and data contained in all publications are solely those of the individual author(s) and contributor(s) and not of MDPI and/or the editor(s). MDPI and/or the editor(s) disclaim responsibility for any injury to people or property resulting from any ideas, methods, instructions or products referred to in the content. |
© 2024 by the authors. Licensee MDPI, Basel, Switzerland. This article is an open access article distributed under the terms and conditions of the Creative Commons Attribution (CC BY) license (https://creativecommons.org/licenses/by/4.0/).
Share and Cite
Nardone, I.; Antonelli, R.; Zaccaria, S.; Wolde Sellasie, S.; Falcone, S.; Pecchioli, C.; Giurato, L.; Uccioli, L. Prevalence of Diabetes Mellitus and Clinical Differences in Patients with Severe Osteoporosis and Fragility Fractures. J. Clin. Med. 2024, 13, 2670. https://doi.org/10.3390/jcm13092670
Nardone I, Antonelli R, Zaccaria S, Wolde Sellasie S, Falcone S, Pecchioli C, Giurato L, Uccioli L. Prevalence of Diabetes Mellitus and Clinical Differences in Patients with Severe Osteoporosis and Fragility Fractures. Journal of Clinical Medicine. 2024; 13(9):2670. https://doi.org/10.3390/jcm13092670
Chicago/Turabian StyleNardone, Isabella, Rossella Antonelli, Simona Zaccaria, Sium Wolde Sellasie, Stefania Falcone, Chiara Pecchioli, Laura Giurato, and Luigi Uccioli. 2024. "Prevalence of Diabetes Mellitus and Clinical Differences in Patients with Severe Osteoporosis and Fragility Fractures" Journal of Clinical Medicine 13, no. 9: 2670. https://doi.org/10.3390/jcm13092670
APA StyleNardone, I., Antonelli, R., Zaccaria, S., Wolde Sellasie, S., Falcone, S., Pecchioli, C., Giurato, L., & Uccioli, L. (2024). Prevalence of Diabetes Mellitus and Clinical Differences in Patients with Severe Osteoporosis and Fragility Fractures. Journal of Clinical Medicine, 13(9), 2670. https://doi.org/10.3390/jcm13092670

