The Human Phospholipase B-II Precursor (HPLBII-P) in Urine as a Novel Biomarker of Increased Glomerular Production or Permeability in Diabetes Mellitus?
Abstract
1. Introduction
2. Materials and Methods
3. Statistics
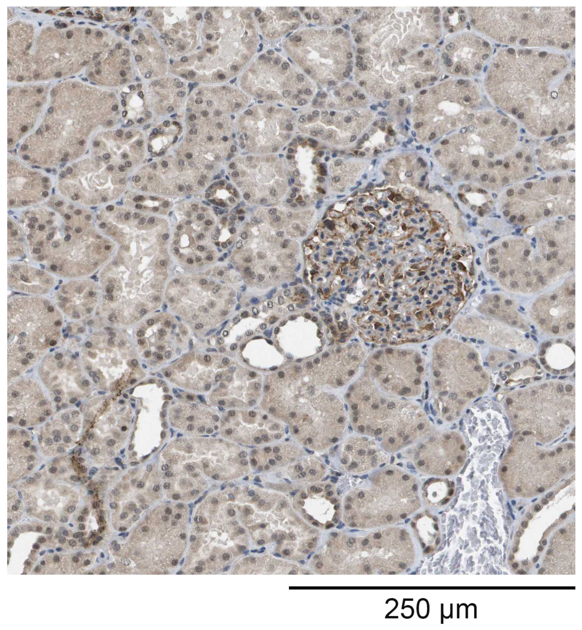
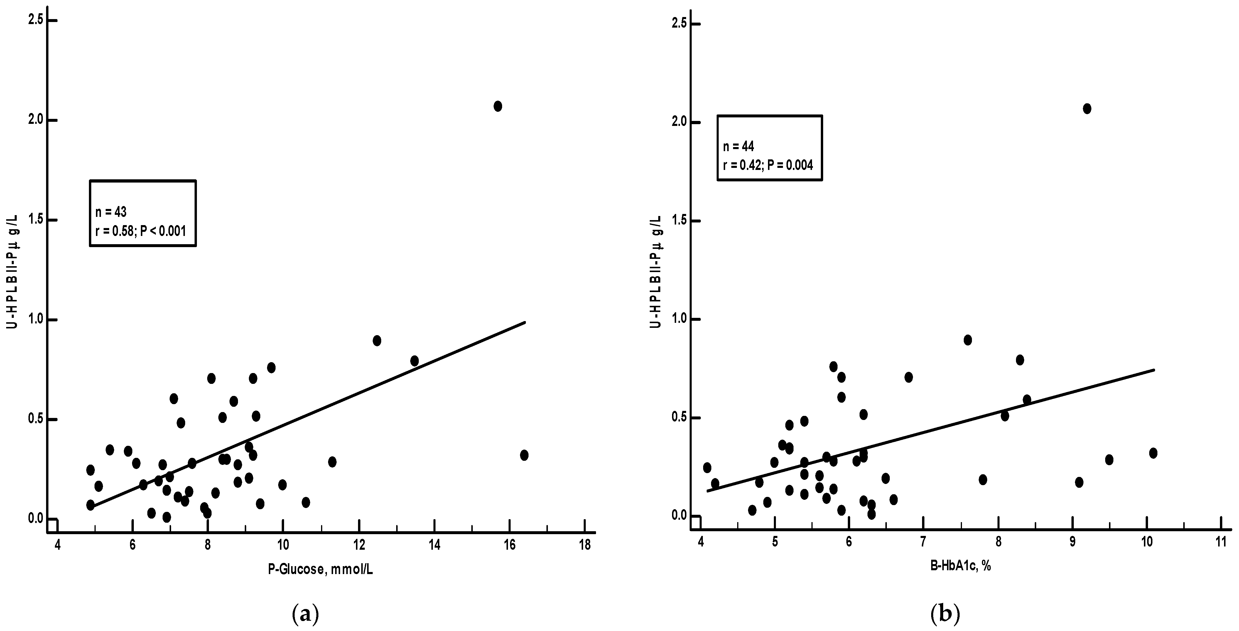
4. Results
5. Discussion
Supplementary Materials
Author Contributions
Funding
Institutional Review Board Statement
Informed Consent Statement
Data Availability Statement
Conflicts of Interest
References
- Xu, S.; Zhao, L.; Larsson, A.; Venge, P. The identification of a phospholipase B precursor in human neutrophils. FEBS J. 2009, 276, 175–186. [Google Scholar] [CrossRef]
- Xu, S.; Cai, L.; Zhao, L.; Douhan-Håkansson, L.; Kristjánsson, G.; Pauksen, K.; Venge, P. Tissue localization and the establishment of a sensitive immunoassay of the newly discovered human phospholipase B-precursor (PLB-P). J. Immunol. Methods 2010, 353, 71–77. [Google Scholar] [CrossRef]
- Castro Tejera, V.; Öhman, L.; Aabakken, L.; Fellström, B.; Hausken, T.; Hovde, Ø.; Hreinsson, J.P.; Lindberg, G.; Venge, P.; Simrén, M.; et al. Randomised clinical trial and meta-analysis: Mesalazine treatment in irritable bowel syndrome-effects on gastrointestinal symptoms and rectal biomarkers of immune activity. Aliment. Pharmacol. Ther. 2022, 56, 968–979. [Google Scholar] [CrossRef] [PubMed]
- Lithell, H.; Sundström, J.; Ärnlöv, J.; Björklund, K.; Hänni, A.; Hedman, A.; Zethelius, B.; Byberg, L.; Kilander, L.; Reneland, R. Epidemiological and clinical studies on insulin resistance and diabetes. Upsala J. Med. Sci. 2000, 105, 135–150. [Google Scholar] [CrossRef] [PubMed][Green Version]
- Lind, L.; Fors, N.; Hall, J.; Marttala, K.; Stenborg, A. A comparison of three different methods to evaluate endothelium-dependent vasodilation in the elderly: The Prospective Investigation of the Vasculature in Uppsala Seniors (PIVUS) study. Arterioscler. Thromb. Vasc. Biol. 2005, 25, 2368–2375. [Google Scholar] [CrossRef] [PubMed]
- Pavkov, M.E.; Collins, A.J.; Coresh, J.; Nelson, R.G. Kidney Disease in Diabetes. In Diabetes in America, 3rd ed.; National Institute of Diabetes and Digestive and Kidney Diseases: Bethesda, MD, USA, 2018; Chapter 22. [Google Scholar]
- Kapoula, G.V.; Kontou, P.I.; Bagos, P.G. Diagnostic Accuracy of Neutrophil Gelatinase-Associated Lipocalin for Predicting Early Diabetic Nephropathy in Patients with Type 1 and Type 2 Diabetes Mellitus: A Systematic Review and Meta-analysis. J. Appl. Lab. Med. 2019, 4, 78–94. [Google Scholar] [CrossRef]
- Żyłka, A.; Dumnicka, P.; Kuśnierz-Cabala, B.; Gala-Błądzińska, A.; Ceranowicz, P.; Kucharz, J.; Ząbek-Adamska, A.; Maziarz, B.; Drożdż, R.; Kuźniewski, M. Markers of Glomerular and Tubular Damage in the Early Stage of Kidney Disease in Type 2 Diabetic Patients. Mediat. Inflamm. 2018, 2018, 7659243. [Google Scholar] [CrossRef] [PubMed]
- O’Sullivan, E.D.; Hughes, J.; Ferenbach, D.A. Renal Aging: Causes and Consequences. J. Am. Soc. Nephrol. 2017, 28, 407–420. [Google Scholar] [CrossRef]
- Mohandes, S.; Doke, T.; Hu, H.; Mukhi, D.; Dhillon, P.; Susztak, K. Molecular pathways that drive diabetic kidney disease. J. Clin. Investig. 2023, 133, 1–12. [Google Scholar] [CrossRef]
- Sato, Y.; Wharram, B.L.; Lee, S.K.; Wickman, L.; Goyal, M.; Venkatareddy, M.; Chang, J.W.; Wiggins, J.E.; Lienczewski, C.; Kretzler, M.; et al. Urine podocyte mRNAs mark progression of renal disease. J. Am. Soc. Nephrol. 2009, 20, 1041–1052. [Google Scholar] [CrossRef]
- Jana, S.; Mitra, P.; Roy, S. Proficient Novel Biomarkers Guide Early Detection of Acute Kidney Injury: A Review. Diseases 2022, 11, 8. [Google Scholar] [CrossRef]
- Kondapi, K.; Kumar, N.L.; Moorthy, S.; Silambanan, S. A Study of Association of Urinary Nephrin with Albuminuria in Patients with Diabetic Nephropathy. Indian J. Nephrol. 2021, 31, 142–148. [Google Scholar] [CrossRef] [PubMed]
- Surya, M.; Rajappa, M.; Vadivelan, M. Utility of Urinary Nephrin in Patients With and Without Diabetic Nephropathy and Its Correlation With Albuminuria. Cureus 2021, 13, e20102. [Google Scholar] [CrossRef]
- Veluri, G.; Mannangatti, M. Urinary Nephrin is a Sensitive Marker to Predict Early Onset of Nephropathy in Type 2 Diabetes Mellitus. J. Lab. Physicians 2022, 14, 497–504. [Google Scholar] [CrossRef] [PubMed]
- Rangaswamaiah, H.; Somashekar, P.; Gutlur Nagarajaiah, S.R.; Ganesh, V. Urinary nephrin linked nephropathy in type-2 diabetes mellitus. Bioinformation 2022, 18, 1131–1135. [Google Scholar] [CrossRef]
- Valdivielso, J.M.; Jacobs-Cachá, C.; Soler, M.J. Sex hormones and their influence on chronic kidney disease. Curr. Opin. Nephrol. Hypertens. 2019, 28, 1–9. [Google Scholar] [CrossRef] [PubMed]
- Ricardo, A.C.; Yang, W.; Sha, D.; Appel, L.J.; Chen, J.; Krousel-Wood, M.; Manoharan, A.; Steigerwalt, S.; Wright, J.; Rahman, M.; et al. Sex-Related Disparities in CKD Progression. J. Am. Soc. Nephrol. 2019, 30, 137–146. [Google Scholar] [CrossRef]
- Jobs, E.; Risérus, U.; Ingelsson, E.; Sundström, J.; Jobs, M.; Nerpin, E.; Iggman, D.; Basu, S.; Larsson, A.; Lind, L.; et al. Serum cathepsin S is associated with decreased insulin sensitivity and the development of type 2 diabetes in a community-based cohort of elderly men. Diabetes Care 2013, 36, 163–165. [Google Scholar] [CrossRef]
- Ren, X.; Wang, W.; Cao, H.; Shao, F. Diagnostic value of serum cathepsin S in type 2 diabetic kidney disease. Front. Endocrinol. 2023, 14, 1180338. [Google Scholar] [CrossRef]
- Reddy, G.R.; Kotlyarevska, K.; Ransom, R.F.; Menon, R.K. The podocyte and diabetes mellitus: Is the podocyte the key to the origins of diabetic nephropathy? Curr. Opin. Nephrol. Hypertens. 2008, 17, 32–36. [Google Scholar] [CrossRef]
- Garg, P. A Review of Podocyte Biology. Am. J. Nephrol. 2018, 47 (Suppl. S1), 3–13. [Google Scholar] [CrossRef]








| Non-Diabetes μg/L, Median (95% CI) N | Diabetes μg/L, Median (95% CI) N | p-Value Mann–Whitney Non-Diabetes vs. Diabetes | Insulin, No μg/L, Median (95% CI) N | Insulin, Yes μg/L, Median (95% CI) N | p-Value Mann–Whitney Insulin No vs. Insulin Yes | |
|---|---|---|---|---|---|---|
| PIVUS, male | 0.145 (0.13–0.16) 324 | 0.173 (0.144–0.210) 62 | p = 0.019 | 0.150 (0.135–0.160) 373 | 0.195 (0.127–0.320) 14 | p = 0.13 |
| PIVUS, female | 0.335 (0.305–0.410) 355 | 0.370 (0.264–0.653) 46 | Ns | 0.335 (0.300–0.398) 389 | 1.29 (0.288–1.64) 13 | p = 0.026 |
| ULSAM, male | 0.140 (0.132–0.153) 466 | 0.273 (0.185–0.320) 44 | p < 0.0001 | 0.145 (0.135–0.160) 507 | 0.510 (0.210–0.705) 3 | p = 0.024 |
| Biomarker in Urine | Non-DM Median (95% CI) | DM Median (95% CI) | p-Value (Mann–Whitney) | Correlation to U-HPLBII-P Non-DM | Correlation to U-HPLBII-P DM |
|---|---|---|---|---|---|
| NGAL, μg/L | 17.2 (15.7–18.3) N = 565 | 26.4 (14.0–34.1) N = 50 | 0.04 | Rs = 0.25 p < 0.0001 | Rs = 0.47 p = 0.002 |
| KIM-1, ng/L | 792 (730–873) N = 562 | 1066 (727–1290) N = 50 | 0.01 | Rs = 0.19 p < 0.0001 | Rs = 0.35 p = 0.02 |
| Albumin, mg/L | 7 (6–8) N = 636 | 15 (11.9–30) N = 60 | 0.0003 | Rs = 0.253 p < 0.0001 | Rs = 0.39 p = 0.01 |
| Biomarker in serum | |||||
| Cystatin C, mg/L | 1.03 (1.02–1.05) N = 702 | 1.12 (1.03–1.16) N = 69 | 0.02 | Rs = 0.03 Ns | Rs = −0.19 Ns |
| Cathepsin S, ng/L | 265 (245–290) N = 456 | 512 (399–605) N = 46 | <0.0001 | Rs = 0.42 p < 0.0001 | Rs = 0.70 p < 0.0001 |
Disclaimer/Publisher’s Note: The statements, opinions and data contained in all publications are solely those of the individual author(s) and contributor(s) and not of MDPI and/or the editor(s). MDPI and/or the editor(s) disclaim responsibility for any injury to people or property resulting from any ideas, methods, instructions or products referred to in the content. |
© 2024 by the authors. Licensee MDPI, Basel, Switzerland. This article is an open access article distributed under the terms and conditions of the Creative Commons Attribution (CC BY) license (https://creativecommons.org/licenses/by/4.0/).
Share and Cite
Xu, S.; Larsson, A.; Lind, L.; Lindskog, C.; Ärnlöv, J.; Venge, P. The Human Phospholipase B-II Precursor (HPLBII-P) in Urine as a Novel Biomarker of Increased Glomerular Production or Permeability in Diabetes Mellitus? J. Clin. Med. 2024, 13, 2629. https://doi.org/10.3390/jcm13092629
Xu S, Larsson A, Lind L, Lindskog C, Ärnlöv J, Venge P. The Human Phospholipase B-II Precursor (HPLBII-P) in Urine as a Novel Biomarker of Increased Glomerular Production or Permeability in Diabetes Mellitus? Journal of Clinical Medicine. 2024; 13(9):2629. https://doi.org/10.3390/jcm13092629
Chicago/Turabian StyleXu, Shengyuan, Anders Larsson, Lars Lind, Cecilia Lindskog, Johan Ärnlöv, and Per Venge. 2024. "The Human Phospholipase B-II Precursor (HPLBII-P) in Urine as a Novel Biomarker of Increased Glomerular Production or Permeability in Diabetes Mellitus?" Journal of Clinical Medicine 13, no. 9: 2629. https://doi.org/10.3390/jcm13092629
APA StyleXu, S., Larsson, A., Lind, L., Lindskog, C., Ärnlöv, J., & Venge, P. (2024). The Human Phospholipase B-II Precursor (HPLBII-P) in Urine as a Novel Biomarker of Increased Glomerular Production or Permeability in Diabetes Mellitus? Journal of Clinical Medicine, 13(9), 2629. https://doi.org/10.3390/jcm13092629

