Non-Interventional Weight Changes Are Associated with Alterations in Serum Uric Acid Levels
Abstract
1. Introduction
2. Materials and Methods
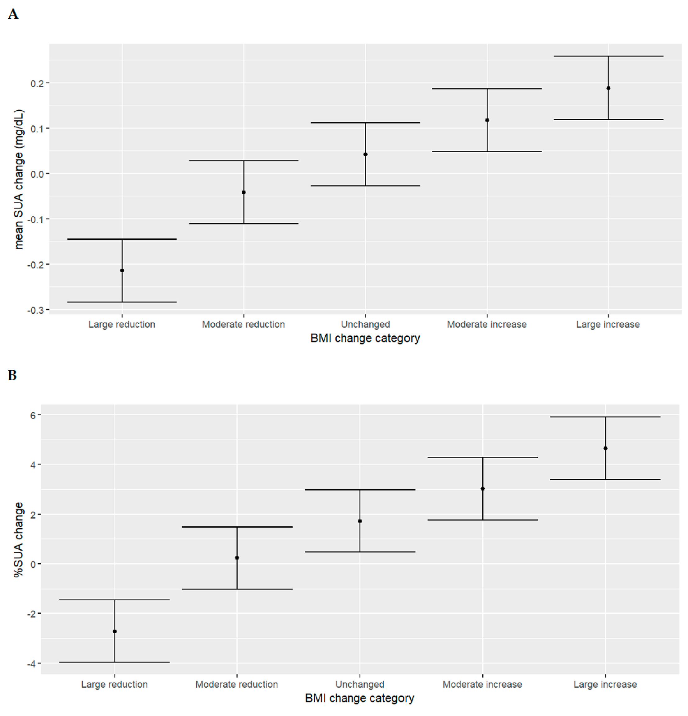
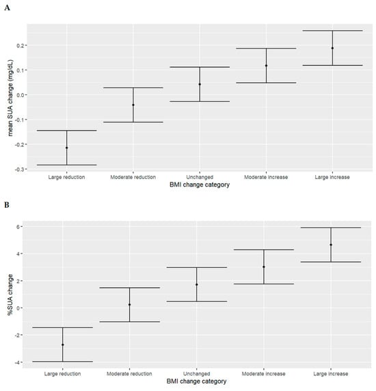
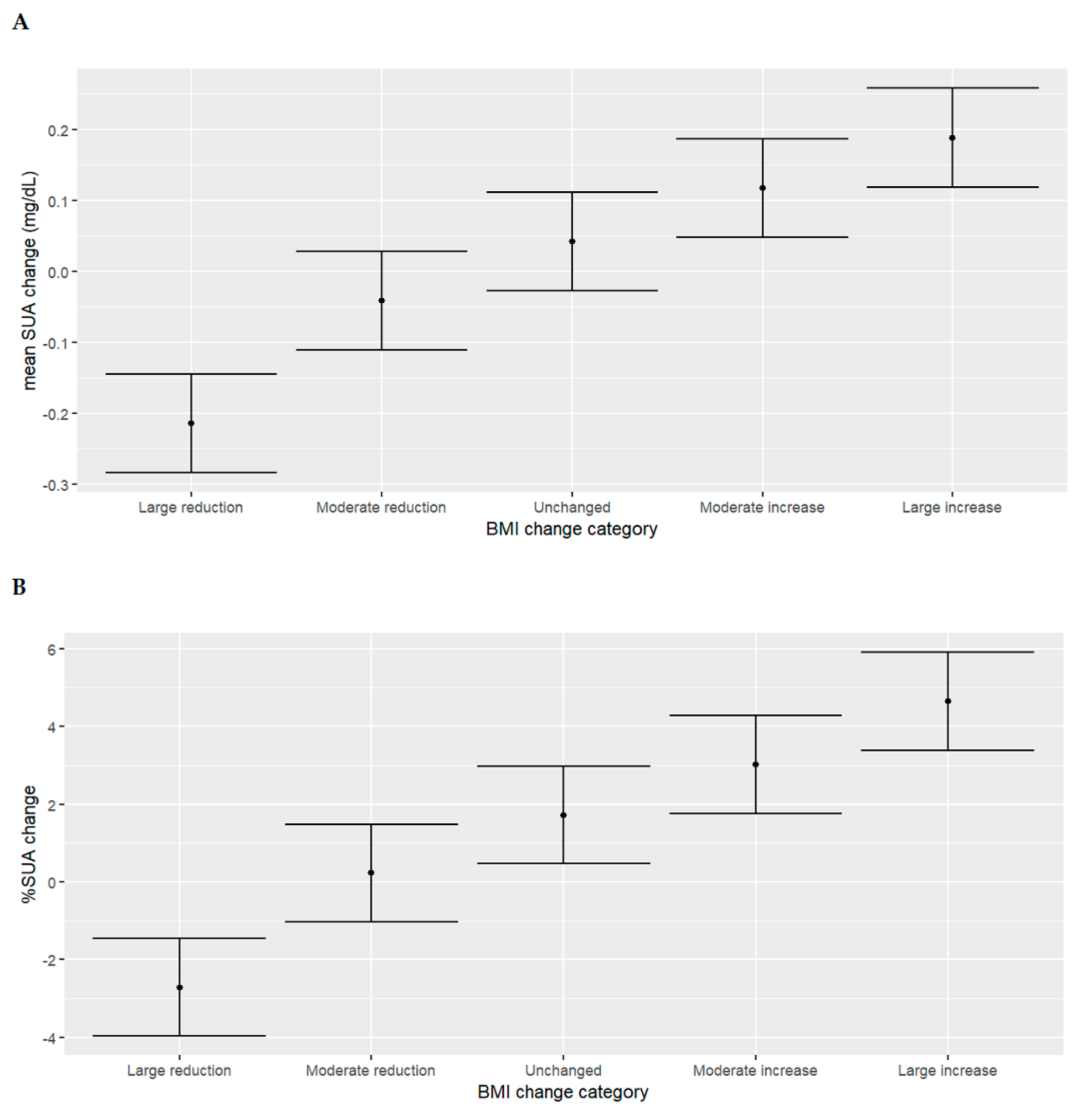
3. Results
4. Discussion
5. Conclusions
Author Contributions
Funding
Institutional Review Board Statement
Informed Consent Statement
Data Availability Statement
Conflicts of Interest
References
- Reis, J.P.; Allen, N.; Gunderson, E.P.; Lee, J.M.; Lewis, C.E.; Loria, C.M.; Powell-Wiley, T.M.; Rana, J.S.; Sidney, S.; Wei, G.; et al. Excess Body Mass Index- and Waist Circumference-Years and Incident Cardiovascular Disease: The CARDIA Study. Obesity 2015, 23, 879–885. [Google Scholar] [CrossRef]
- Hubert, H.B.; Feinleib, M.; McNamara, P.M.; Castelli, W.P. Obesity as an Independent Risk Factor for Cardiovascular Disease: A 26-Year Follow-up of Participants in the Framingham Heart Study. Circulation 1983, 67, 968–977. [Google Scholar] [CrossRef]
- Powell-Wiley, T.M.; Poirier, P.; Burke, L.E.; Després, J.-P.; Gordon-Larsen, P.; Lavie, C.J.; Lear, S.A.; Ndumele, C.E.; Neeland, I.J.; Sanders, P.; et al. Obesity and Cardiovascular Disease: A Scientific Statement From the American Heart Association. Circulation 2021, 143, e984–e1010. [Google Scholar] [CrossRef]
- Global Burden of Metabolic Risk Factors for Chronic Diseases Collaboration (BMI Mediated Effects); Lu, Y.; Hajifathalian, K.; Ezzati, M.; Woodward, M.; Rimm, E.B.; Danaei, G. Metabolic Mediators of the Effects of Body-Mass Index, Overweight, and Obesity on Coronary Heart Disease and Stroke: A Pooled Analysis of 97 Prospective Cohorts with 1·8 Million Participants. Lancet 2014, 383, 970–983. [Google Scholar] [CrossRef]
- Zhou, Y.; Xuan, Y.-J.; Yang, L.-S.; Rutayisire, E.; Zhang, L.-J.; Xuan, P.; Tao, X.-Y.; Sheng, J.; Tao, F.-B.; Wang, S.-F. Weight Changes since Age 20 and Cardiovascular Risk Factors in a Middle-Aged Chinese Population. J. Public Health 2018, 40, 253–261. [Google Scholar] [CrossRef]
- Kuwabara, M.; Kuwabara, R.; Niwa, K.; Hisatome, I.; Smits, G.; Roncal-Jimenez, C.A.; MacLean, P.S.; Yracheta, J.M.; Ohno, M.; Lanaspa, M.A.; et al. Different Risk for Hypertension, Diabetes, Dyslipidemia, and Hyperuricemia According to Level of Body Mass Index in Japanese and American Subjects. Nutrients 2018, 10, 1011. [Google Scholar] [CrossRef]
- Sakurai, Y.; Teruya, K.; Shimada, N.; Wakabayashi, K.; Umeda, T.; Honjo, S.; Todoroki, I.; Tanaka, H.; Muto, T.; Sakurai, M.; et al. Relationship between Weight Change in Young Adulthood and the Risk of NIDDM. The Sotetsu Study. Diabetes Care 1997, 20, 978–982. [Google Scholar] [CrossRef]
- Ford, E.S.; Williamson, D.F.; Liu, S. Weight Change and Diabetes Incidence: Findings from a National Cohort of US Adults. Am. J. Epidemiol. 1997, 146, 214–222. [Google Scholar] [CrossRef]
- Yannakoulia, M.; Panagiotakos, D. Weight Loss through Lifestyle Changes: Impact in the Primary Prevention of Cardiovascular Diseases. Heart 2021, 107, 1429–1434. [Google Scholar] [CrossRef]
- Hartmann-Boyce, J.; Theodoulou, A.; Oke, J.L.; Butler, A.R.; Bastounis, A.; Dunnigan, A.; Byadya, R.; Cobiac, L.J.; Scarborough, P.; Hobbs, F.D.R.; et al. Long-Term Effect of Weight Regain Following Behavioral Weight Management Programs on Cardiometabolic Disease Incidence and Risk: Systematic Review and Meta-Analysis. Circ. Cardiovasc. Qual. Outcomes 2023, 16, e009348. [Google Scholar] [CrossRef]
- Feng, X.; Yang, Y.; Xie, H.; Zhuang, S.; Fang, Y.; Dai, Y.; Jiang, P.; Chen, H.; Tang, H.; Tang, L. The Association between Hyperuricemia and Obesity Metabolic Phenotypes in Chinese General Population: A Retrospective Analysis. Front. Nutr. 2022, 9, 773220. [Google Scholar] [CrossRef] [PubMed]
- Shirasawa, T.; Ochiai, H.; Yoshimoto, T.; Nagahama, S.; Watanabe, A.; Yoshida, R.; Kokaze, A. Cross-Sectional Study of Associations between Normal Body Weight with Central Obesity and Hyperuricemia in Japan. BMC Endocr. Disord. 2020, 20, 2. [Google Scholar] [CrossRef]
- Yu, W.; Cheng, J.-D. Uric Acid and Cardiovascular Disease: An Update From Molecular Mechanism to Clinical Perspective. Front. Pharmacol. 2020, 11, 582680. [Google Scholar] [CrossRef] [PubMed]
- Shahin, L.; Patel, K.M.; Heydari, M.K.; Kesselman, M.M. Hyperuricemia and Cardiovascular Risk. Cureus 2021, 13, e14855. [Google Scholar] [CrossRef] [PubMed]
- Corry, D.B.; Eslami, P.; Yamamoto, K.; Nyby, M.D.; Makino, H.; Tuck, M.L. Uric Acid Stimulates Vascular Smooth Muscle Cell Proliferation and Oxidative Stress via the Vascular Renin-Angiotensin System. J. Hypertens. 2008, 26, 269–275. [Google Scholar] [CrossRef] [PubMed]
- Hayden, M.R.; Tyagi, S.C. Uric Acid: A New Look at an Old Risk Marker for Cardiovascular Disease, Metabolic Syndrome, and Type 2 Diabetes Mellitus: The Urate Redox Shuttle. Nutr. Metab. 2004, 1, 10. [Google Scholar] [CrossRef] [PubMed]
- Culleton, B.F.; Larson, M.G.; Kannel, W.B.; Levy, D. Serum Uric Acid and Risk for Cardiovascular Disease and Death: The Framingham Heart Study. Ann. Intern. Med. 1999, 131, 7–13. [Google Scholar] [CrossRef] [PubMed]
- Johnson, R.J.; Kang, D.H.; Feig, D.; Kivlighn, S.; Kanellis, J.; Watanabe, S.; Tuttle, K.R.; Rodriguez-Iturbe, B.; Herrera-Acosta, J.; Mazzali, M. Is There a Pathogenetic Role for Uric Acid in Hypertension and Cardiovascular and Renal Disease? Hypertension 2003, 41, 1183–1190. [Google Scholar] [CrossRef]
- Chonchol, M.; Shlipak, M.G.; Katz, R.; Sarnak, M.J.; Newman, A.B.; Siscovick, D.S.; Kestenbaum, B.; Carney, J.K.; Fried, L.F. Relationship of Uric Acid with Progression of Kidney Disease. Am. J. Kidney Dis. 2007, 50, 239–247. [Google Scholar] [CrossRef]
- Borghi, C.; Rodriguez-Artalejo, F.; De Backer, G.; Dallongeville, J.; Medina, J.; Nuevo, J.; Guallar, E.; Perk, J.; Banegas, J.R.; Tubach, F.; et al. Serum Uric Acid Levels Are Associated with Cardiovascular Risk Score: A Post Hoc Analysis of the EURIKA Study. Int. J. Cardiol. 2018, 253, 167–173. [Google Scholar] [CrossRef]
- Prasad, M.; Matteson, E.L.; Herrmann, J.; Gulati, R.; Rihal, C.S.; Lerman, L.O.; Lerman, A. Uric Acid Is Associated with Inflammation, Coronary Microvascular Dysfunction, and Adverse Outcomes in Postmenopausal Women. Hypertension 2017, 69, 236–242. [Google Scholar] [CrossRef] [PubMed]
- Grossman, C.; Grossman, E.; Goldbourt, U. Uric Acid Variability at Midlife as an Independent Predictor of Coronary Heart Disease and All-Cause Mortality. PLoS ONE 2019, 14, e0220532. [Google Scholar] [CrossRef] [PubMed]
- Newman, E.J.; Rahman, F.S.; Lees, K.R.; Weir, C.J.; Walters, M.R. Elevated Serum Urate Concentration Independently Predicts Poor Outcome Following Stroke in Patients with Diabetes. Diabetes Metab. Res. Rev. 2006, 22, 79–82. [Google Scholar] [CrossRef] [PubMed]
- Zoppini, G.; Targher, G.; Negri, C.; Stoico, V.; Perrone, F.; Muggeo, M.; Bonora, E. Elevated Serum Uric Acid Concentrations Independently Predict Cardiovascular Mortality in Type 2 Diabetic Patients. Diabetes Care 2009, 32, 1716–1720. [Google Scholar] [CrossRef] [PubMed]
- Virdis, A.; Masi, S.; Casiglia, E.; Tikhonoff, V.; Cicero, A.F.G.; Ungar, A.; Rivasi, G.; Salvetti, M.; Barbagallo, C.M.; Bombelli, M.; et al. Identification of the Uric Acid Thresholds Predicting an Increased Total and Cardiovascular Mortality Over 20 Years. Hypertension 2020, 75, 302–308. [Google Scholar] [CrossRef]
- Pérez Ruiz, F.; Richette, P.; Stack, A.G.; Karra Gurunath, R.; García de Yébenes, M.J.; Carmona, L. Failure to Reach Uric Acid Target of <0.36 Mmol/L in Hyperuricaemia of Gout Is Associated with Elevated Total and Cardiovascular Mortality. RMD Open 2019, 5, e001015. [Google Scholar] [CrossRef] [PubMed]
- Sugawara, M.; Kojima, S.; Hisatome, I.; Matsui, K.; Uchiyama, K.; Yokota, N.; Tokutake, E.; Wakasa, Y.; Hiramitsu, S.; Waki, M.; et al. Impacts of Febuxostat on Cerebral and Cardiovascular Events in Elderly Patients with Hyperuricemia: Post Hoc Analysis of a Randomized Controlled Trial. Clin. Pharmacol. Ther. 2024. online ahead of print. [Google Scholar] [CrossRef] [PubMed]
- Moshkovits, Y.; Tiosano, S.; Kaplan, A.; Kalstein, M.; Bayshtok, G.; Kivity, S.; Segev, S.; Grossman, E.; Segev, A.; Maor, E.; et al. Serum Uric Acid Significantly Improves the Accuracy of Cardiovascular Risk Score Models. Eur. J. Prev. Cardiol. 2023, 30, 524–532. [Google Scholar] [CrossRef]
- Nielsen, S.M.; Bartels, E.M.; Henriksen, M.; Wæhrens, E.E.; Gudbergsen, H.; Bliddal, H.; Astrup, A.; Knop, F.K.; Carmona, L.; Taylor, W.J.; et al. Weight Loss for Overweight and Obese Individuals with Gout: A Systematic Review of Longitudinal Studies. Ann. Rheum. Dis. 2017, 76, 1870–1882. [Google Scholar] [CrossRef]
- Yokose, C.; McCormick, N.; Rai, S.K.; Lu, N.; Curhan, G.; Schwarzfuchs, D.; Shai, I.; Choi, H.K. Effects of Low-Fat, Mediterranean, or Low-Carbohydrate Weight Loss Diets on Serum Urate and Cardiometabolic Risk Factors: A Secondary Analysis of the Dietary Intervention Randomized Controlled Trial (DIRECT). Diabetes Care 2020, 43, 2812–2820. [Google Scholar] [CrossRef]
- He, M.; Wang, J.; Liang, Q.; Li, M.; Guo, H.; Wang, Y.; Deji, C.; Sui, J.; Wang, Y.-W.; Liu, Y.; et al. Time-Restricted Eating with or without Low-Carbohydrate Diet Reduces Visceral Fat and Improves Metabolic Syndrome: A Randomized Trial. Cell Rep. Med. 2022, 3, 100777. [Google Scholar] [CrossRef] [PubMed]
- Kempner, W.; Newborg, B.C.; Peschel, R.L.; Skyler, J.S. Treatment of Massive Obesity with Rice/Reduction Diet Program. An Analysis of 106 Patients with at Least a 45-Kg Weight Loss. Arch. Intern. Med. 1975, 135, 1575–1584. [Google Scholar] [CrossRef] [PubMed]
- Shlomai, G.; Ovdat, T.; Klempfner, R.; Leibowitz, A.; Grossman, E. Non-Interventional Weight Changes Affect Systolic Blood Pressure in Normotensive Individuals. J. Clin. Hypertens. 2021, 23, 990–998. [Google Scholar] [CrossRef] [PubMed]
- Weinstein, S.; Maor, E.; Kaplan, A.; Hod, T.; Leibowitz, A.; Grossman, E.; Shlomai, G. Non-Interventional Weight Changes Are Associated with Alterations in Lipid Profiles and in the Triglyceride-to-HDL Cholesterol Ratio. Nutrients 2024, 16, 486. [Google Scholar] [CrossRef] [PubMed]
- R Core Team 2021. R: A Language and Environment for Statistical Computing. R Foundation for Statistical Computing. R Foundation for Statistical Computing. 2022. Available online: https://www.r-project.org/ (accessed on 10 March 2024).
- Matsuura, F.; Yamashita, S.; Nakamura, T.; Nishida, M.; Nozaki, S.; Funahashi, T.; Matsuzawa, Y. Effect of Visceral Fat Accumulation on Uric Acid Metabolism in Male Obese Subjects: Visceral Fat Obesity Is Linked More Closely to Overproduction of Uric Acid than Subcutaneous Fat Obesity. Metabolism 1998, 47, 929–933. [Google Scholar] [CrossRef] [PubMed]
- Liu, D.-M.; Jiang, L.; Gan, L.; Su, Y.; Li, F. Association between serum uric acid level and body mass index in sex- and age-specific groups in Southwestern China. Endocr. Pract. 2019, 25, 438–445. [Google Scholar] [CrossRef]
- Li, F.; Chen, S.; Qiu, X.; Wu, J.; Tan, M.; Wang, M. Serum Uric Acid Levels and Metabolic Indices in an Obese Population: A Cross-Sectional Study. Diabetes Metab. Syndr. Obes. 2021, 14, 627–635. [Google Scholar] [CrossRef] [PubMed]
- Jørgensen, R.M.; Bøttger, B.; Vestergaard, E.T.; Kremke, B.; Bahnsen, R.F.; Nielsen, B.W.; Bruun, J.M. Uric Acid Is Elevated in Children With Obesity and Decreases After Weight Loss. Front. Pediatr. 2021, 9, 814166. [Google Scholar] [CrossRef] [PubMed]
- Yang, L.; He, Z.; Gu, X.; Cheng, H.; Li, L. Dose-Response Relationship Between BMI and Hyperuricemia. Int. J. Gen. Med. 2021, 14, 8065–8071. [Google Scholar] [CrossRef]
- Ahn, J.K.; Hwang, J.; Lee, M.Y.; Kang, M.; Hwang, J.; Koh, E.M.; Cha, H.S. How Much Does Fat Mass Change Affect Serum Uric Acid Levels among Apparently Clinically Healthy Korean Men? Ther. Adv. Musculoskelet. Dis. 2021, 13, 1759720X21993253. [Google Scholar] [CrossRef]
- Romero-Corral, A.; Somers, V.K.; Sierra-Johnson, J.; Korenfeld, Y.; Boarin, S.; Korinek, J.; Jensen, M.D.; Parati, G.; Lopez-Jimenez, F. Normal Weight Obesity: A Risk Factor for Cardiometabolic Dysregulation and Cardiovascular Mortality. Eur. Heart J. 2010, 31, 737–746. [Google Scholar] [CrossRef] [PubMed]
- GBD 2015 Obesity Collaborators; Afshin, A.; Forouzanfar, M.H.; Reitsma, M.B.; Sur, P.; Estep, K.; Lee, A.; Marczak, L.; Mokdad, A.H.; Moradi-Lakeh, M.; et al. Health Effects of Overweight and Obesity in 195 Countries over 25 Years. N. Engl. J. Med. 2017, 377, 13–27. [Google Scholar] [CrossRef] [PubMed]
- D’Elia, L.; Masulli, M.; Virdis, A.; Casiglia, E.; Tikhonoff, V.; Angeli, F.; Barbagallo, C.M.; Bombelli, M.; Cappelli, F.; Cianci, R.; et al. Triglyceride-Glucose Index and Mortality in a Large Regional-Based Italian Database (Urrah Project). J. Clin. Endocrinol. Metab. 2024. online ahead of print. [Google Scholar] [CrossRef] [PubMed]
- Sacks, F.M.; Bray, G.A.; Carey, V.J.; Smith, S.R.; Ryan, D.H.; Anton, S.D.; McManus, K.; Champagne, C.M.; Bishop, L.M.; Laranjo, N.; et al. Comparison of Weight-Loss Diets with Different Compositions of Fat, Protein, and Carbohydrates. N. Engl. J. Med. 2009, 360, 859–873. [Google Scholar] [CrossRef]
- Hansen, C.D.; Gram-Kampmann, E.-M.; Hansen, J.K.; Hugger, M.B.; Madsen, B.S.; Jensen, J.M.; Olesen, S.; Torp, N.; Rasmussen, D.N.; Kjærgaard, M.; et al. Effect of Calorie-Unrestricted Low-Carbohydrate, High-Fat Diet Versus High-Carbohydrate, Low-Fat Diet on Type 2 Diabetes and Nonalcoholic Fatty Liver Disease. Ann. Intern. Med. 2023, 176, 10–21. [Google Scholar] [CrossRef]



| Large Reduction | Moderate Reduction | Unchanged | Moderate Increase | Large Increase | Total | p Value | |
|---|---|---|---|---|---|---|---|
| (n = 1791) | (n = 2208) | (n = 10,713) | (n = 2718) | (n = 1763) | (n = 19,193) | ||
| Gender | <0.001 | ||||||
| Male | 1198 (67%) | 1625 (74%) | 7998 (75%) | 1987 (73%) | 1101 (62%) | 13,909 (72%) | |
| Female | 593 (33%) | 583 (26%) | 2715 (25%) | 731 (27%) | 662 (38%) | 5284 (28%) | |
| Age (years) | 49 (±10) | 50 (±11) | 50 (±10) | 49 (±10) | 48 (±9.9) | 50 (±10) | <0.001 |
| IHD | 205 (11%) | 269 (12%) | 1280 (12%) | 289 (11%) | 171 (10%) | 2214 (12%) | 0.0301 |
| HTN | 515 (29%) | 679 (31%) | 3115 (29%) | 738 (27%) | 498 (28%) | 5545 (29%) | 0.0821 |
| DM | 191 (11%) | 226 (10%) | 1018 (10%) | 263 (10%) | 156 (9%) | 1854 (10%) | 0.337 |
| Large Reduction | Moderate Reduction | Unchanged | Moderate Increase | Large Increase | Total | p Value | |
|---|---|---|---|---|---|---|---|
| (n = 1791) | (n = 2208) | (n = 10,713) | (n = 2718) | (n = 1763) | (n = 19,193) | ||
| First visit BMI (kg/m2) | 28 (±4.5) | 26 (±3.7) | 26 (±3.7) | 26 (±3.8) | 25 (±4.0) | 26 (±3.8) | <0.001 |
| Second visit BMI (kg/m2) | 25 (±3.8) | 25 (±3.5) | 26 (±3.7) | 26 (±3.9) | 27 (±4.5) | 26 (±3.8) | <0.001 |
| Absolute BMI change (kg/m2) | −2.5 (±1.7) | −0.95 (±0.24) | 0.013 (±0.33) | 0.91 (±0.23) | 2.0 (±1.5) | −0.014 (±1.3) | <0.001 |
| %BMI change | −8.6 (±4.2) | −3.6 (±0.70) | 0.059 (±1.3) | 3.6 (±0.71) | 8.1 (±6.2) | 0.070 (±4.7) | <0.001 |
| First visit SUA (mg/dL) | 5.5 (±1.4) | 5.5 (±1.3) | 5.5 (±1.3) | 5.4 (±1.4) | 5.3 (±1.4) | 5.5 (±1.4) | <0.001 |
| Second visit SUA (mg/dL) | 5.3 (±1.4) | 5.5 (±1.3) | 5.5 (±1.4) | 5.6 (±1.4) | 5.4 (±1.4) | 5.5 (±1.4) | <0.001 |
Disclaimer/Publisher’s Note: The statements, opinions and data contained in all publications are solely those of the individual author(s) and contributor(s) and not of MDPI and/or the editor(s). MDPI and/or the editor(s) disclaim responsibility for any injury to people or property resulting from any ideas, methods, instructions or products referred to in the content. |
© 2024 by the authors. Licensee MDPI, Basel, Switzerland. This article is an open access article distributed under the terms and conditions of the Creative Commons Attribution (CC BY) license (https://creativecommons.org/licenses/by/4.0/).
Share and Cite
Weinstein, S.; Maor, E.; Bleier, J.; Kaplan, A.; Hod, T.; Leibowitz, A.; Grossman, E.; Shlomai, G. Non-Interventional Weight Changes Are Associated with Alterations in Serum Uric Acid Levels. J. Clin. Med. 2024, 13, 2314. https://doi.org/10.3390/jcm13082314
Weinstein S, Maor E, Bleier J, Kaplan A, Hod T, Leibowitz A, Grossman E, Shlomai G. Non-Interventional Weight Changes Are Associated with Alterations in Serum Uric Acid Levels. Journal of Clinical Medicine. 2024; 13(8):2314. https://doi.org/10.3390/jcm13082314
Chicago/Turabian StyleWeinstein, Shiri, Elad Maor, Jonathan Bleier, Alon Kaplan, Tammy Hod, Avshalom Leibowitz, Ehud Grossman, and Gadi Shlomai. 2024. "Non-Interventional Weight Changes Are Associated with Alterations in Serum Uric Acid Levels" Journal of Clinical Medicine 13, no. 8: 2314. https://doi.org/10.3390/jcm13082314
APA StyleWeinstein, S., Maor, E., Bleier, J., Kaplan, A., Hod, T., Leibowitz, A., Grossman, E., & Shlomai, G. (2024). Non-Interventional Weight Changes Are Associated with Alterations in Serum Uric Acid Levels. Journal of Clinical Medicine, 13(8), 2314. https://doi.org/10.3390/jcm13082314

