Investigating Potential Correlations between Calcium Metabolism Biomarkers and Periprocedural Clinical Events in Major Cardiovascular Surgeries: An Exploratory Study
Abstract
1. Introduction
2. Methods
2.1. Study Population, Blood Sampling and Follow-Up
2.1.1. Design
2.1.2. Outcomes
2.2. Statistical Analyses
3. Results
3.1. Study Population
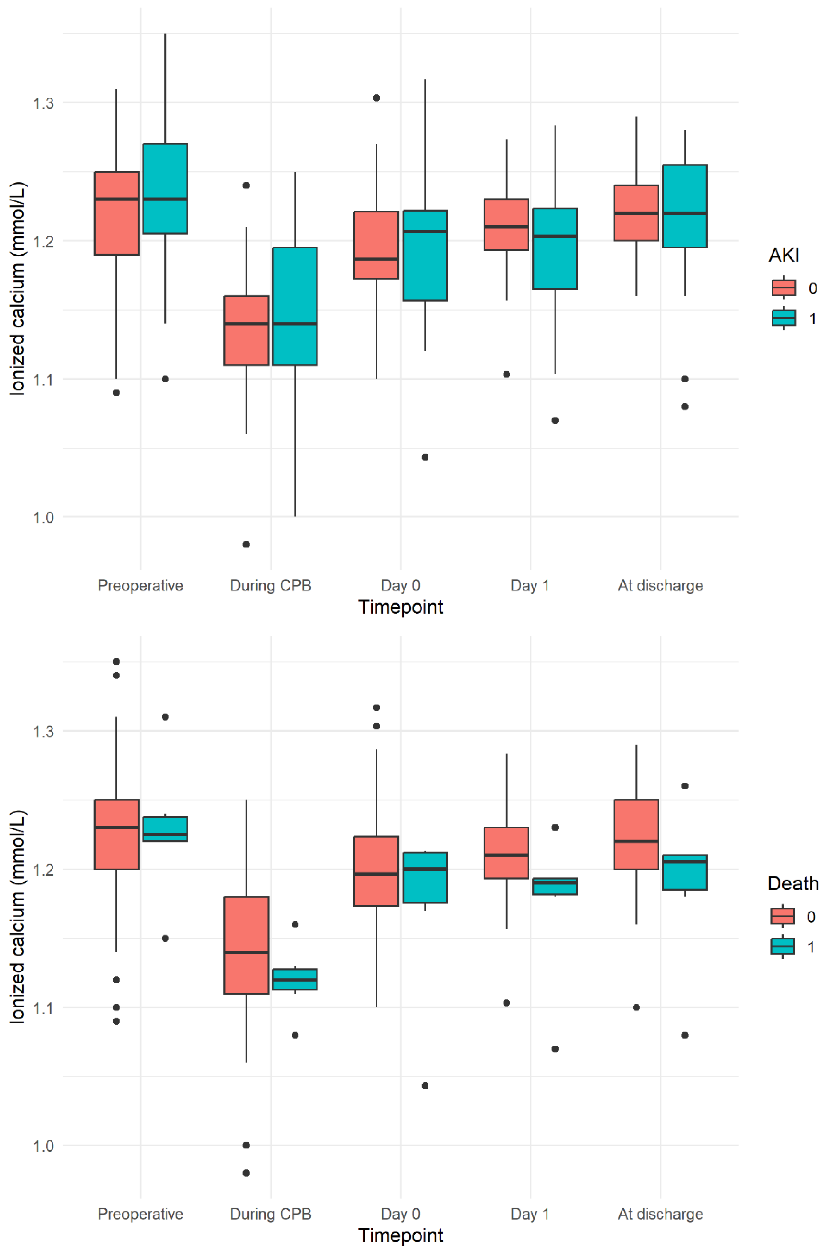
3.2. Preoperative Vitamin D and Trend in Ionized Calcium
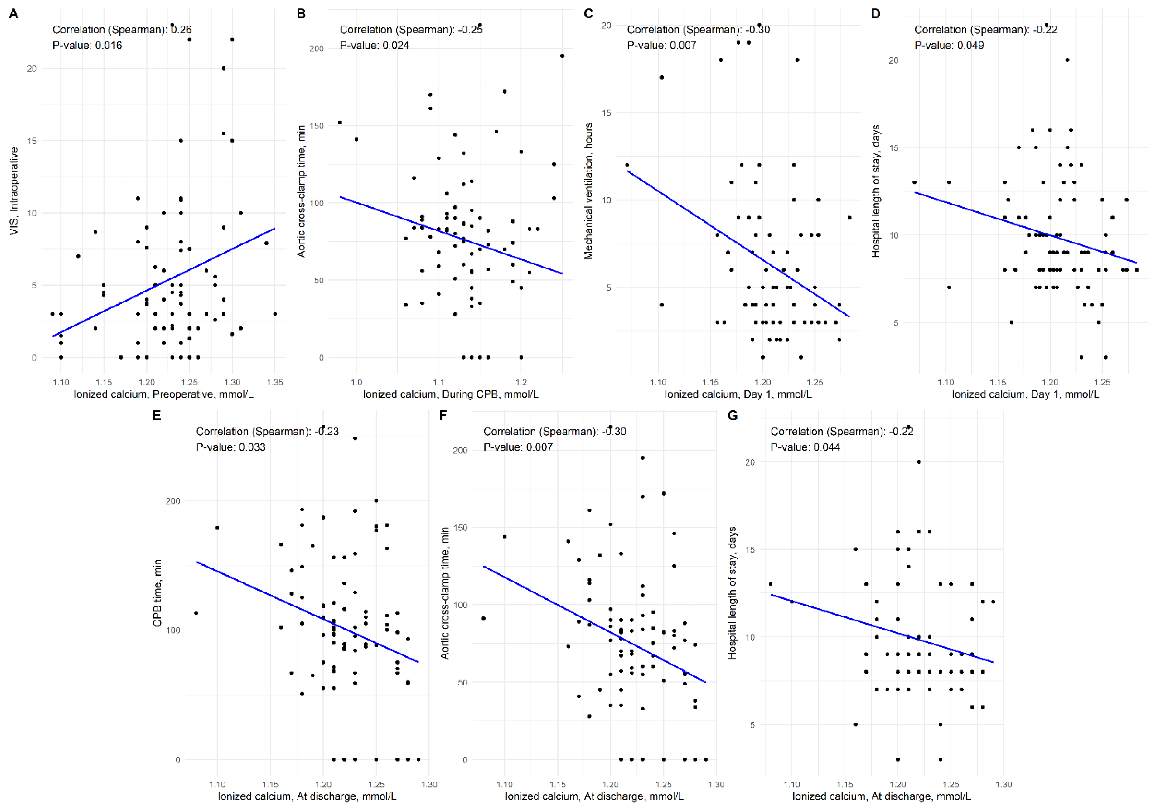
3.3. Association of Vitamin D and Ionized Calcium with Outcomes
4. Discussion
5. Conclusions
Author Contributions
Funding
Institutional Review Board Statement
Informed Consent Statement
Data Availability Statement
Conflicts of Interest
Abbreviations
References
- Aguilera, I.M.; Vaughan, R.S. Calcium and the Anaesthetist. Anaesthesia 2000, 55, 779–790. [Google Scholar] [CrossRef]
- Lomivorotov, V.V.; Guvakov, D.; Belletti, A.; Boboshko, V.; Shmyrev, V.; Kunst, G.; Stoppe, C.; Akselrod, B.; Kamenshchikov, N.; Efremov, S.; et al. Current Practice of Calcium Use During Cardiopulmonary Bypass Weaning: Results of an International Survey. J. Cardiothorac. Vasc. Anesth. 2020, 34, 2111–2115. [Google Scholar] [CrossRef] [PubMed]
- Bushinsky, D.A.; Monk, R.D. Electrolyte quintet: Calcium. Lancet 1998, 352, 306–311, Erratum in Lancet 2002, 359, 266. [Google Scholar] [CrossRef]
- Tritapepe, L.; Voci, P.; Marino, P.; Cogliati, A.A.; Rossi, A.; Bottari, B.; Di Marco, P.; Menichetti, A. Calcium chloride minimizes the hemodynamic effects of propofol in patients undergoing coronary artery bypass grafting. J. Cardiothorac. Vasc. Anesth. 1999, 13, 150–153. [Google Scholar] [CrossRef] [PubMed]
- Urban, M.K.; Hines, R. The effect of calcium on pulmonary vascular resistance and right ventricular function. J. Thorac. Cardiovasc. Surg. 1992, 104, 327–332. [Google Scholar] [CrossRef] [PubMed]
- Lutsey, P.L.; Alonso, A.; Michos, E.D.; Loehr, L.R.; Astor, B.C.; Coresh, J.; Folsom, A.R. Serum magnesium, phosphorus, and calcium are associated with risk of incident heart failure: The Atherosclerosis Risk in Communities (ARIC) Study. Am. J. Clin. Nutr. 2014, 100, 756–764. [Google Scholar] [CrossRef] [PubMed]
- Lundgren, E.; Lind, L.; Palmér, M.; Jakobsson, S.; Ljunghall, S.; Rastad, J. Increased cardiovascular mortality and normalized serum calcium in patients with mild hypercalcemia followed up for 25 years. Surgery 2001, 130, 978–985. [Google Scholar] [CrossRef] [PubMed]
- Fiolet, J.W. Reperfusion injury and ischemic preconditioning: Two sides of a coin? Cardiovasc. Res. 2000, 48, 185–187. [Google Scholar] [CrossRef] [PubMed]
- Prielipp, R.; Butterworth, J. Con: Calcium is not routinely indicated during separation from cardiopulmonary bypass. J. Cardiothorac. Vasc. Anesth. 1997, 11, 908–912. [Google Scholar] [CrossRef]
- Galas, F.; Hajjar, L.; Lara, T.; Nozawa, E.; Feltrim, M.; Sundin, M.; Kalil, R.; Otavio, J. A prospective evaluation of hemodynamic indexes to predict weaning from mechanical ventilation in patients after cardiac surgery. Crit. Care 2010, 14 (Suppl. S1), P232. [Google Scholar] [CrossRef]
- Shapira, N.; Schaff, H.V.; White, R.D.; Pluth, J.R. Hemodynamic effects of calcium chloride injection following cardiopulmonary bypass: Response to bolus injection and continuous infusion. Ann. Thorac. Surg. 1984, 37, 133–140. [Google Scholar] [CrossRef] [PubMed]
- Kimura, S.; Iwasaki, T.; Oe, K.; Shimizu, K.; Suemori, T.; Kanazawa, T.; Shioji, N.; Kuroe, Y.; Matsuoka, Y.; Morimatsu, H. High ionized calcium concentration is associated with prolonged length of stay in the intensive care unit for postoperative pediatric cardiac patients. J. Cardiothorac. Vasc. Anesth. 2018, 32, 1667–1675. [Google Scholar] [CrossRef] [PubMed]
- Johnston, W.E. Is calcium or ephedrine superior to placebo for emergence from cardiopulmonary bypass? J. Cardiothorac. Vasc. Anesth. 1992, 6, 528–534. [Google Scholar] [CrossRef] [PubMed]
- Wang, B.; Gong, Y.; Ying, B.; Cheng, B. Association of initial serum total calcium concentration with mortality in critical illness. Biomed. Res. Int. 2018, 2018, 7648506. [Google Scholar] [CrossRef] [PubMed]
- Thompson, B.; Waterhouse, M.; English, D.R.; McLeod, D.S.; Armstrong, B.K.; Baxter, C.; Duarte Romero, B.; Ebeling, P.R.; Hartel, G.; Kimlin, M.G.; et al. Vitamin D supplementation and major cardiovascular events: D-Health randomised controlled trial. BMJ 2023, 381, e075230. [Google Scholar] [CrossRef] [PubMed]
- Foley, R.N. Phosphate levels and cardiovascular disease in the general population. Clin. J. Am. Soc. Nephrol. 2009, 4, 1136–1139. [Google Scholar] [CrossRef] [PubMed]
- McIntosh, A.M.; Tong, S.; Deakyne, S.J.; Davidson, J.A.; Scott, H.F. Validation of the Vasoactive-Inotropic Score in Pediatric Sepsis. Pediatr. Crit. Care Med. 2017, 18, 750–757. [Google Scholar] [CrossRef]
- Auffant, R.A.; Downs, J.B.; Amick, R. Ionized calcium concentration and cardiovascular function after cardiopulmonary bypass. Arch. Surg. 1981, 116, 1072–1076. [Google Scholar] [CrossRef]
- Jorde, R.; Sundsfjord, J.; Fitzgerald, P.; Bønaa, K.H. Serum calcium and cardiovascular risk factors and diseases: The Tromsø study. Hypertension 1999, 34, 484–490. [Google Scholar] [CrossRef]
- Wang, H.; Wang, R.; Tian, J. Association of admission serum calcium level with left ventricular dysfunction in patients with acute coronary syndrome. Front. Cardiovasc. Med. 2022, 9, 1018048. [Google Scholar] [CrossRef]
- Cao, W.; Li, Y.; Wen, Y.; Fang, S.; Zhao, B.; Zhang, X.; Zhang, Y.; Lang, X.; Yu, B.; Zhang, Y. Higher serum phosphorus and calcium levels provide prognostic value in patients with acute myocardial infarction. Front. Cardiovasc. Med. 2022, 9, 929634. [Google Scholar] [CrossRef]
- Bi, S.; Liu, R.; Li, J.; Chen, S.; Gu, J. The Prognostic Value of Calcium in Post-Cardiovascular Surgery Patients in the Intensive Care Unit. Front. Cardiovasc. Med. 2021, 8, 733528. [Google Scholar] [CrossRef]
- Melchers, M.; van Zanten, A.R.H. Management of hypocalcaemia in the critically ill. Curr. Opin. Crit. Care 2023, 29, 330–338. [Google Scholar] [CrossRef]
- Collage, R.D.; Howell, G.M.; Zhang, X.; Stripay, J.L.; Lee, J.S.; Angus, D.C.; Rosengart, M.R. Calcium supplementation during sepsis exacerbates organ failure and mortality via calcium/calmodulin-dependent protein kinase kinase signaling. Crit. Care Med. 2013, 41, e352–e360. [Google Scholar] [CrossRef]
- He, W.; Huang, L.; Luo, H.; Chen, J.; Li, W.; Zhang, Y.; An, Y.; Zhang, W. The Positive and Negative Effects of Calcium Supplementation on Mortality in Septic ICU Patients Depend on Disease Severity: A Retrospective Study from the MIMIC-III. Crit. Care Res. Pract. 2022, 2022, 2520695. [Google Scholar] [CrossRef]
- Ding, X.; Cui, Y.; Liang, H.; Wang, D.; Li, L.; Kan, Q.; Wang, L.; Sun, T. Association Between Prior Calcium Channel Blocker Use and Mortality in Septic Patients: A Meta-Analysis of Cohort Studies. Front. Pharmacol. 2021, 12, 628825. [Google Scholar] [CrossRef] [PubMed]
- Wiewel, M.A.; van Vught, L.A.; Scicluna, B.P.; Hoogendijk, A.J.; Frencken, J.F.; Zwinderman, A.H.; Horn, J.; Cremer, O.L.; Bonten, M.J.; Schultz, M.J.; et al. Prior Use of Calcium Channel Blockers Is Associated with Decreased Mortality in Critically Ill Patients With Sepsis: A Prospective Observational Study. Crit. Care Med. 2017, 45, 454–463. [Google Scholar] [CrossRef]
- Zhang, Z.; Chen, K.; Ni, H. Calcium supplementation improves clinical outcome in intensive care unit patients: A propensity score matched analysis of a large clinical database MIMIC-II. SpringerPlus 2015, 4, 594. [Google Scholar] [CrossRef] [PubMed]
- Zhang, Z.; Xu, X.; Ni, H.; Deng, H. Predictive value of ionized calcium in critically ill patients: An analysis of a large clinical database MIMIC II. PLoS ONE 2014, 9, e95204. [Google Scholar] [CrossRef] [PubMed]
- Choi, Y.C.; Hwang, S.Y. The value of initial ionized calcium as a predictor of mortality and triage tool in adult trauma patients. J. Korean Med. Sci. 2008, 23, 700–705. [Google Scholar] [CrossRef]
- Steele, T.; Kolamunnage-Dona, R.; Downey, C.; Toh, C.H.; Welters, I. Assessment and clinical course of hypocalcemia in critical illness. Crit. Care 2013, 17, R106. [Google Scholar] [CrossRef] [PubMed]
- Egi, M.; Kim, I.; Nichol, A.; Stachowski, E.; French, C.J.; Hart, G.K.; Hegarty, C.; Bailey, M.; Bellomo, R. Ionized calcium concentration and outcome in critical illness. Crit. Care Med. 2011, 39, 314–321. [Google Scholar] [CrossRef] [PubMed]
- Díez, J.J.; Iglesias, P.; García, A.; Martín-Casasempere, I.; Bernabéu-Andréu, F.A. Serum Calcium, Magnesium, and Phosphorus Levels in Patients with COVID-19: Relationships with Poor Outcome and Mortality. Horm. Metab. Res. 2023, 55, 31–39. [Google Scholar] [CrossRef] [PubMed]
- Robertie, P.G.; Butterworth, J.F., 4th; Royster, R.L.; Prielipp, R.C.; Dudas, L.; Black, K.W.; Cole, L.R.; Zaloga, G.P. Normal parathyroid hormone responses to hypocalcemia during cardiopulmonary bypass. Anesthesiology 1991, 75, 43–48. [Google Scholar] [CrossRef] [PubMed]
- Barker, T.; May, H.T.; Doty, J.R.; Lappe, D.L.; Knowlton, K.U.; Carlquist, J.; Konery, K.; Inglet, S.; Chisum, B.; Galenko, O.; et al. Vitamin D supplementation protects against reductions in plasma 25-hydroxyvitamin D induced by open-heart surgery: Assess-d trial. Physiol. Rep. 2021, 9, e14747. [Google Scholar] [CrossRef]
- Zhang, Y.; Li, J.; Qiu, Y.; Gong, X.; He, Y.; Yue, P.; Zheng, X.; Liu, L.; Liao, H.; Zhou, K.; et al. Association Between the Circulating Level of 25-Hydroxyvitamin D and Clinical Results After Cardiac Surgery: A Meta-Analysis and Systematic Review. Front. Cardiovasc. Med. 2021, 8, 734504. [Google Scholar] [CrossRef] [PubMed]
- Abubakar, M.; Javed, I.; Rasool, H.F.; Raza, S.; Basavaraju, D.; Abdullah, R.M.; Ahmed, F.; Salim, S.S.; Faraz, M.A.; Hassan, K.M.; et al. Advancements in Percutaneous Coronary Intervention Techniques: A Comprehensive Literature Review of Mixed Studies and Practice Guidelines. Cureus 2023, 15, e41311. [Google Scholar] [CrossRef] [PubMed]
- Achim, A.; Alampi, C.; Krivoshei, L.; Leibundgut, G. In vitro effect of intravascular lithotripsy on the polymer of a drug-eluting stent. EuroIntervention 2022, 18, e333–e334. [Google Scholar] [CrossRef] [PubMed]
- Toth, G.G.; Achim, A.; Kafka, M.; Wu, X.; Lunardi, M.; Biswas, S.; Shahzad, A.; Thury, A.; Ruzsa, Z.; Johnson, T.W.; et al. Bench test and in vivo evaluation of longitudinal stent deformation during proximal optimisation. EuroIntervention 2022, 18, 83–90. [Google Scholar] [CrossRef]
- Aberegg, S.K. Ionized Calcium in the ICU: Should It Be Measured and Corrected? Chest 2016, 149, 846–855. [Google Scholar] [CrossRef]
- Hu, Z.D.; Huang, Y.L.; Wang, M.Y.; Hu, G.J.; Han, Y.Q. Predictive accuracy of serum total calcium for both critically high and critically low ionized calcium in critical illness. J. Clin. Lab. Anal. 2018, 32, e22589. [Google Scholar] [CrossRef] [PubMed]
- Avent, Y. Managing calcium imbalance in acute care. Nurse Pract. 2007, 32, 7–10. [Google Scholar] [CrossRef] [PubMed]





| Variable | Value (N = 83) |
|---|---|
| Age (years) | 64.9 ± 8.5 |
| Males (n, %) | 49 (59%) |
| BMI | 28.4 (25.2–31.6) |
| Procedure | |
| Isolated CABG | 26 (31.3%) |
| Aortic valve procedure | 26 (31.3%) |
| Mitral valve procedure | 12 (14.5%) |
| Complex valve procedure | 4 (4.82%) |
| CABG + valve procedure | 5 (6.02%) |
| Bentall procedure | 3 (3.61%) |
| Aortic valve and ascending aorta repair | 3 (3.61%) |
| Aortic aneurysm repair | 2 (2.41%) |
| ASD correction | 2 (2.41%) |
| Chronic kidney disease | 18 (21.6%) |
| Mechanical ventilation, hours | 5.00 (3.00–8.00) |
| ICU length of stay, days | 3.00 (2.00–4.00) |
| Hospital length of stay, days | 9.00 (8.00–12.0) |
| VIS, intraoperative | 4.00 (2.00–7.55) |
| Complications | |
| AKI | 19 (22.9%) |
| Sepsis (during hospitalization) | 3 (3.61%) |
| Major bleeding | 2 (2.41%) |
| Ischemic stroke | 1 (1.20%) |
| Death during 1-year follow-up | 6 (7.2%) |
Disclaimer/Publisher’s Note: The statements, opinions and data contained in all publications are solely those of the individual author(s) and contributor(s) and not of MDPI and/or the editor(s). MDPI and/or the editor(s) disclaim responsibility for any injury to people or property resulting from any ideas, methods, instructions or products referred to in the content. |
© 2024 by the authors. Licensee MDPI, Basel, Switzerland. This article is an open access article distributed under the terms and conditions of the Creative Commons Attribution (CC BY) license (https://creativecommons.org/licenses/by/4.0/).
Share and Cite
Ștef, A.; Bodolea, C.; Bocșan, I.C.; Vesa, Ș.C.; Pop, R.M.; Cainap, S.S.; Achim, A.; Antal, O.; Tintiuc, N.; Buzoianu, A.D. Investigating Potential Correlations between Calcium Metabolism Biomarkers and Periprocedural Clinical Events in Major Cardiovascular Surgeries: An Exploratory Study. J. Clin. Med. 2024, 13, 2242. https://doi.org/10.3390/jcm13082242
Ștef A, Bodolea C, Bocșan IC, Vesa ȘC, Pop RM, Cainap SS, Achim A, Antal O, Tintiuc N, Buzoianu AD. Investigating Potential Correlations between Calcium Metabolism Biomarkers and Periprocedural Clinical Events in Major Cardiovascular Surgeries: An Exploratory Study. Journal of Clinical Medicine. 2024; 13(8):2242. https://doi.org/10.3390/jcm13082242
Chicago/Turabian StyleȘtef, Adrian, Constantin Bodolea, Ioana Corina Bocșan, Ștefan Cristian Vesa, Raluca Maria Pop, Simona Sorana Cainap, Alexandru Achim, Oana Antal, Nadina Tintiuc, and Anca Dana Buzoianu. 2024. "Investigating Potential Correlations between Calcium Metabolism Biomarkers and Periprocedural Clinical Events in Major Cardiovascular Surgeries: An Exploratory Study" Journal of Clinical Medicine 13, no. 8: 2242. https://doi.org/10.3390/jcm13082242
APA StyleȘtef, A., Bodolea, C., Bocșan, I. C., Vesa, Ș. C., Pop, R. M., Cainap, S. S., Achim, A., Antal, O., Tintiuc, N., & Buzoianu, A. D. (2024). Investigating Potential Correlations between Calcium Metabolism Biomarkers and Periprocedural Clinical Events in Major Cardiovascular Surgeries: An Exploratory Study. Journal of Clinical Medicine, 13(8), 2242. https://doi.org/10.3390/jcm13082242

