Depression in Rheumatoid Arthritis: Prevalence and Effects on Disease Activity
Abstract
1. Introduction
2. Materials and Methods
2.1. Patients and Inclusion
2.2. Medical Evaluations
2.3. Statistics
3. Results
3.1. Demographic Data and RA Phenotype
3.2. Baseline Evaluation
3.3. Follow-Up Evaluations
4. Discussion
5. Conclusions
Author Contributions
Funding
Institutional Review Board Statement
Informed Consent Statement
Data Availability Statement
Conflicts of Interest
References
- Morf, H.; da Rocha Castelar-Pinheiro, G.; Vargas-Santos, A.B.; Baerwald, C.; Seifert, O. Impact of clinical and psychological factors associated with depression in patients with rheumatoid arthritis: Comparative study between Germany and Brazil. Clin. Rheumatol. 2021, 40, 1779–1787. [Google Scholar] [CrossRef]
- Overman, C.L.; Jurgens, M.S.; Bossema, E.R.; Jacobs, J.W.; Bijlsma, J.W.; Geenen, R. Change of psychological distress and physical disability in patients with rheumatoid arthritis over the last two decades. Arthritis Care Res. 2014, 66, 671–678. [Google Scholar] [CrossRef] [PubMed]
- Jamshidi, T.; Ghanei Gheshlagh, R.; Ebtekar, F.; Dalvand, S.; Vahedian Azimi, A.; Kurdi, A. Prevalence of depression among Iranian patients with rheumatoid arthritis: A systematic review and meta-analysis. Open Access Rheumatol. 2019, 11, 53–59. [Google Scholar] [CrossRef] [PubMed]
- Nerurkar, L.; Siebert, S.; McInnes, I.B.; Cavanagh, J. Rheumatoid arthritis and depression: An inflammatory perspective. Lancet Psychiatry 2019, 6, 164–173. [Google Scholar] [CrossRef] [PubMed]
- Muller, N.; Schwarz, M.J. The immune-mediated alteration of serotonin and glutamate: Towards an integrated view of depression. Mol. Psychiatry 2007, 12, 988–1000. [Google Scholar] [CrossRef]
- Yilmaz, V.; Umay, E.; Gundogdu, I.; Karaahmet, Z.O.; Ozturk, A.E. Rheumatoid Arthritis: Are psychological factors effective in disease flare? Eur. J. Rheumatol. 2017, 4, 127–132. [Google Scholar] [CrossRef] [PubMed]
- Li, X.; Gignac, M.A.; Anis, A.H. The indirect costs of arthritis resulting from unemployment, reduced performance, and occupational changes while at work. Med. Care 2006, 44, 304–310. [Google Scholar] [CrossRef] [PubMed]
- Ang, D.C.; Choi, H.; Kroenke, K.; Wolfe, F. Comorbid depression is an independent risk factor for mortality in patients with rheumatoid arthritis. J. Rheumatol. 2005, 32, 1013–1019. [Google Scholar] [PubMed]
- Timonen, M.; Viilo, K.; Hakko, H.; Särkioja, T.; Ylikulju, M.; Meyer-Rochow, V.B.; Väisänen, E.; Räsänen, P. Suicides in persons suffering from rheumatoid arthritis. Rheumatology 2003, 42, 287–291. [Google Scholar] [CrossRef] [PubMed]
- Joyce, A.T.; Smith, P.; Khandker, R.; Melin, J.M.; Singh, A. Hidden cost of rheumatoid arthritis (RA): Estimating cost of comorbid cardiovascular disease and depression among patients with RA. J. Rheumatol. 2009, 36, 743–752. [Google Scholar] [CrossRef] [PubMed]
- Fu, X.; Li, Z.J.; Yang, C.J.; Feng, L.; Sun, L.; Yao, Y.; Huang, Y.T. The prevalence of depression in rheumatoid arthritis in China: A systematic review. Oncotarget 2017, 8, 53623–53630. [Google Scholar] [CrossRef] [PubMed]
- Katchamart, W.; Narongroeknawin, P.; Chanapai, W.; Thaweeratthakul, P.; Srisomnuek, A. Prevalence of and factors associated with depression and anxiety in patients with rheumatoid arthritis: A multicenter prospective cross-sectional study. Int. J. Rheum. Dis. 2020, 23, 302–308. [Google Scholar] [CrossRef] [PubMed]
- Singh, G.; Mahajan, N.; Abrol, S.; Raina, A. Anxiety and depression are common in rheumatoid arthritis and correlate with poor quality of life in Indian patients. Reumatologia 2021, 59, 386–393. [Google Scholar] [CrossRef] [PubMed]
- Fragoulis, G.E.; Cavanagh, J.; Tindell, A.; Derakhshan, M.; Paterson, C.; Porter, D.; McInnes, I.B.; Siebert, S. Depression and anxiety in an early rheumatoid arthritis inception cohort. associations with demographic, socioeconomic and disease features. RMD Open 2020, 6, e001376. [Google Scholar] [CrossRef] [PubMed]
- Kekow, J.; Moots, R.; Khandker, R.; Melin, J.; Freundlich, B.; Singh, A. Improvements in patient-reported outcomes, symptoms of depression and anxiety, and their association with clinical remission among patients with moderate-to-severe active early rheumatoid arthritis. Rheumatology 2011, 50, 401–409. [Google Scholar] [CrossRef] [PubMed]
- Kekow, J.; Moots, R.J.; Emery, P.; Durez, P.; Koenig, A.; Singh, A.; Pedersen, R.; Robertson, D.; Freundlich, B.; Sato, R. Patient-reported outcomes improve with etanercept plus methotrexate in active early rheumatoid arthritis and the improvement is strongly associated with remission: The COMET trial. Ann. Rheum. Dis. 2010, 69, 222–225. [Google Scholar] [CrossRef] [PubMed]
- Pollard, L.C.; Choy, E.H.; Gonzalez, J.; Khoshaba, B.; Scott, D.L. Fatigue in rheumatoid arthritis reflects pain, not disease activity. Rheumatology 2006, 45, 885–889. [Google Scholar] [CrossRef]
- Verschueren, P.; Esselens, G.; Westhovens, R. Predictors of remission, normalized physical function, and changes in the working situation during follow-up of patients with early rheumatoid arthritis: An observational study. Scand. J. Rheumatol. 2009, 38, 166–172. [Google Scholar] [CrossRef] [PubMed]
- Rathbun, A.M.; Reed, G.W.; Harrold, L.R. The temporal relationship between depression and rheumatoid arthritis disease activity, treatment persistence and response: A systematic review. Rheumatology 2013, 52, 1785–1794. [Google Scholar] [CrossRef] [PubMed]
- Matcham, F.; Ali, S.; Irving, K.; Hotopf, M.; Chalder, T. Are depression and anxiety associated with disease activity in rheumatoid arthritis? A prospective study. BMC Musculoskelet. Disord. 2016, 17, 155. [Google Scholar] [CrossRef] [PubMed]
- Matcham, F.; Norton, S.; Scott, D.L.; Steer, S.; Hotopf, M. Symptoms of depression and anxiety predict treatment response and long-term physical health outcomes in rheumatoid arthritis: Secondary analysis of a randomized controlled trial. Rheumatology 2016, 55, 268–278. [Google Scholar] [CrossRef] [PubMed]
- Michelsen, B.; Kristianslund, E.K.; Sexton, J.; Hammer, H.B.; Fagerli, K.M.; Lie, E.; Wierød, A.; Kalstad, S.; Rødevand, E.; Krøll, F.; et al. Do depression and anxiety reduce the likelihood of remission in rheumatoid arthritis and psoriatic arthritis? Data from the prospective multicentre NOR-DMARD study. Ann. Rheum. Dis. 2017, 76, 1906–1910. [Google Scholar] [CrossRef] [PubMed]
- Manning-Bennett, A.T.; Hopkins, A.M.; Sorich, M.J.; Proudman, S.M.; Foster, D.J.; Abuhelwa, A.Y.; Wiese, M.D. The association of depression and anxiety with treatment outcomes in patients with rheumatoid arthritis—A pooled analysis of five randomised controlled trials. Ther. Adv. Musculoskelet. Dis. 2022, 14, 1759720X221111613. [Google Scholar] [CrossRef] [PubMed]
- Boer, A.C.; Huizinga, T.W.J.; van der Helm-van Mil, A.H.M. Depression and anxiety associate with less remission after 1 year in rheumatoid arthritis. Ann. Rheum. Dis. 2019, 78, e1. [Google Scholar] [CrossRef] [PubMed]
- Doeglas, D.M.; Suurmeijer, T.P.; Van den Heuvel, W.J.A.; Krol, B.; Van Rijswijk, M.H.; Van Leeuwen, M.A.; Sanderman, R. Functional ability, social support, and depression in rheumatoid arthritis. Qual. Life Res. 2004, 13, 1053–1065. [Google Scholar] [CrossRef] [PubMed]
- Fransen, J.; van Riel, P.L. The Disease Activity Score and the EULAR response criteria. Rheum. Dis. Clin. N. Am. 2009, 35, 745–757. [Google Scholar] [CrossRef]
- Prevoo, M.L.; van ‘t Hof, M.A.; Kuper, H.H.; van Leeuwen, M.A.; van de Putte, L.B.; van Riel, P.L. Modified disease activity scores that include twenty-eight-joint counts. Development and validation in a prospective longitudinal study of patients with rheumatoid arthritis. Arthritis Rheum. 1995, 38, 44–48. [Google Scholar] [CrossRef]
- Kim, S.Y.; Chanyang, M.; Oh, D.J.; Choi, H.G. Association between depression and rheumatoid arthritis: Two longitudinal follow-up studies using a national sample cohort. Rheumatology 2020, 59, 1889–1897. [Google Scholar] [CrossRef]
- Kwiatkowska, B.; Klak, A.; Maslinska, M.; Manczak, M.; Raciborski, F. Factors of depression among patients with rheumatoid arthritis. Reumatologia 2018, 56, 219–227. [Google Scholar] [CrossRef] [PubMed]


| Depression | ||||
|---|---|---|---|---|
| All (n = 400) | No (n = 325) | Yes (n = 75) | p | |
| age (years) | 64.8 ± 11.5 | 65.0 ± 11.7 | 63.8 ± 10.5 | 0.401 |
| women | 86.3% | 84.6% | 92.0% | 0.107 |
| active smokers | 3.8% | 2.8% | 8.0% | 0.032 |
| Depression | ||||
|---|---|---|---|---|
| All (n = 400) | No (n = 325) | Yes (n = 75) | p | |
| RA duration (y) | 11.0 (12.0) | 10.0 (12.0) | 12.0 (14.0) | 0.364 |
| functional stage 1 | 13.0% | 12.9% | 13.3% | 0.622 |
| functional stage 2 | 60.0% | 60.6% | 57.3% | 0.622 |
| functional stage 3 | 25.8% | 24.6% | 29.3% | 0.622 |
| functional stage 4 | 1.2% | 1.9% | 0 | - |
| radiographic stage 1 | 18.0% | 18.8% | 18.7% | 0.967 |
| radiographic stage 2 | 52.0% | 52.3% | 58.7% | 0.944 |
| radiographic stage 3 | 20.5% | 20.6% | 10.7% | 0.578 |
| radiographic stage 4 | 9.5% | 8.3% | 12.0% | 0.578 |
| + RF | 71.8% | 72.3% | 69.3% | 0.579 |
| + anti-CCP | 66.8% | 67.7% | 62.7% | 0.366 |
| + RF and anti-CCP | 59.0% | 60.0% | 54.7% | 0.381 |
| Depression | ||||
|---|---|---|---|---|
| All (n = 400) | No (n = 325) | Yes (n = 75) | p | |
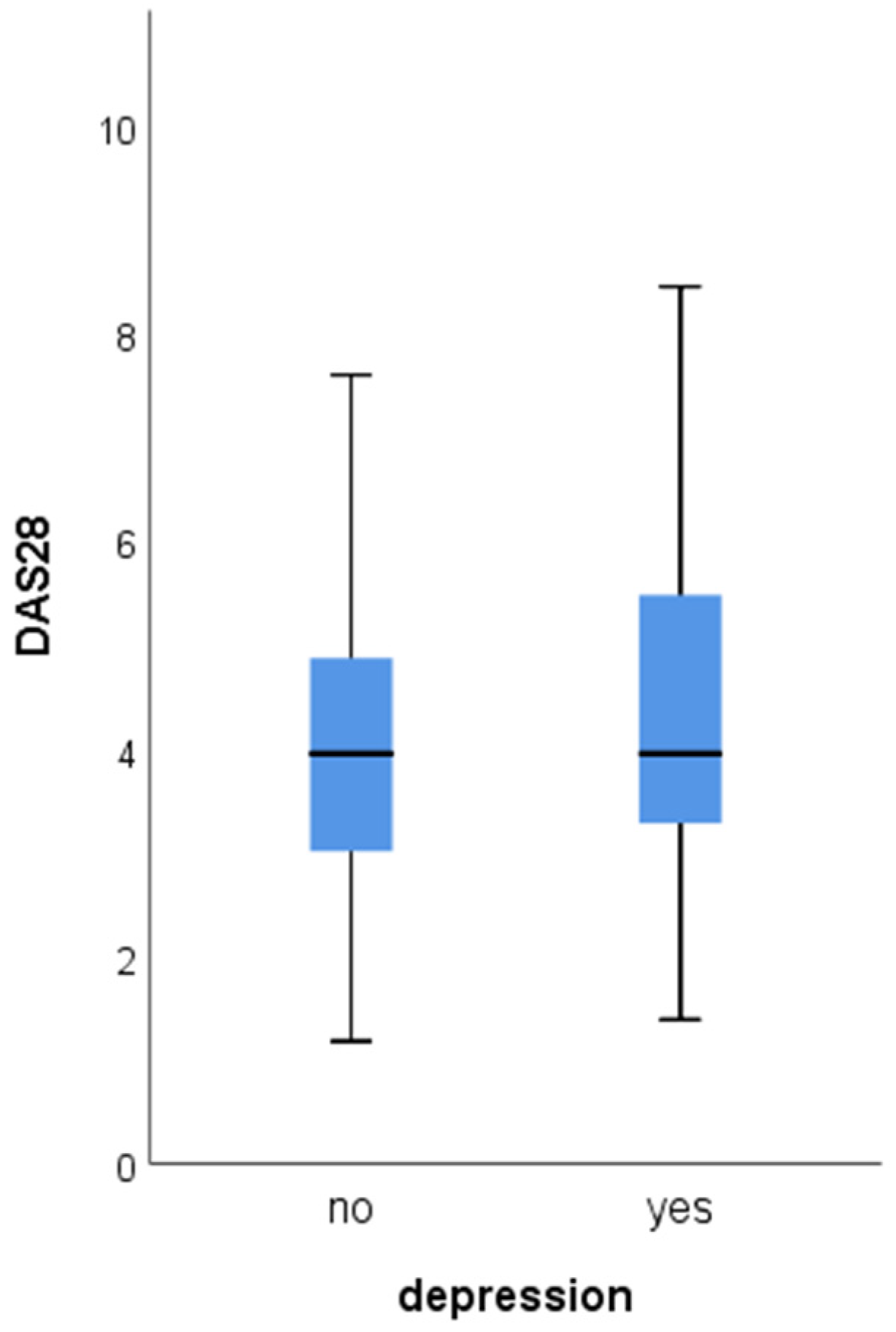
| DAS28 | 4.6 ± 1.6 | 4.6 ± 1.6 | 4.8 ± 1.7 | 0.282 |
| remission | 9.8% | 10.4% | 12.9% | 0.557 |
| LDA | 8.5% | 9.7% | 8.6% | 0.768 |
| MDA | 36.0% | 43.1% | 28.6% | 0.027 |
| HDA | 35.5% | 36.8% | 50.0% | 0.042 |
| ≥1 csDMARD | 92.5% | 92.9% | 90.7% | 0.508 |
| b/tsDMARD | 31.3% | 33.3% | 22.7% | 0.073 |
| glucocorticoids | 35.8% | 35.9% | 37.3% | 0.821 |
| Visit 1 | Visit 2 | Visit 3 | |||||
|---|---|---|---|---|---|---|---|
| Depression | Depression | Depression | |||||
| No (n = 325) | Yes (n = 75) | No (n = 325) | Yes (n = 75) | No (n = 325) | Yes (n = 75) | p | |
| DAS28 | 4.6 ± 1.6 | 4.8 ± 1.7 | 4.1 ± 3.9 | 4.5 ± 4.2 | 4.0 ± 1.3 | 4.4 ± 1.6 | <0.001 |
| SJC | 2 (6) | 3 (8) | 1 (3) | 2 (6) | 1 (4) | 1 (4) | <0.001 |
| TJC | 6 (8) | 7 (9) | 4 (7) | 7 (7) | 4 (8) | 5 (7) | 0.020 |
| VASp | 38 (46) | 50 (40) | 27 (32) | 40 (60) | 29 (40) | 50 (40) | <0.001 |
| ESR | 38 ± 24 | 42 ± 28 | 34 ± 23 | 38 ± 28 | 31 ± 25 | 33 ± 27 | <0.001 |
| CRP | 18 ± 29 | 24 ± 40 | 15 ± 24 | 19 ± 33 | 14 ± 25 | 41 ± 23 | 0.070 |
Disclaimer/Publisher’s Note: The statements, opinions and data contained in all publications are solely those of the individual author(s) and contributor(s) and not of MDPI and/or the editor(s). MDPI and/or the editor(s) disclaim responsibility for any injury to people or property resulting from any ideas, methods, instructions or products referred to in the content. |
© 2024 by the authors. Licensee MDPI, Basel, Switzerland. This article is an open access article distributed under the terms and conditions of the Creative Commons Attribution (CC BY) license (https://creativecommons.org/licenses/by/4.0/).
Share and Cite
Ionescu, C.-E.; Popescu, C.C.; Agache, M.; Dinache, G.; Codreanu, C. Depression in Rheumatoid Arthritis: Prevalence and Effects on Disease Activity. J. Clin. Med. 2024, 13, 2058. https://doi.org/10.3390/jcm13072058
Ionescu C-E, Popescu CC, Agache M, Dinache G, Codreanu C. Depression in Rheumatoid Arthritis: Prevalence and Effects on Disease Activity. Journal of Clinical Medicine. 2024; 13(7):2058. https://doi.org/10.3390/jcm13072058
Chicago/Turabian StyleIonescu, Cătălina-Elena, Claudiu Costinel Popescu, Mihaela Agache, Georgiana Dinache, and Cătălin Codreanu. 2024. "Depression in Rheumatoid Arthritis: Prevalence and Effects on Disease Activity" Journal of Clinical Medicine 13, no. 7: 2058. https://doi.org/10.3390/jcm13072058
APA StyleIonescu, C.-E., Popescu, C. C., Agache, M., Dinache, G., & Codreanu, C. (2024). Depression in Rheumatoid Arthritis: Prevalence and Effects on Disease Activity. Journal of Clinical Medicine, 13(7), 2058. https://doi.org/10.3390/jcm13072058

