Prognostic Significance of Heart Failure in Acute Pulmonary Embolism: A Comprehensive Assessment of 30-Day Outcomes
Abstract
1. Introduction
2. Method
2.1. Study Design
2.2. Study Population
2.3. Data Collection
2.4. Outcomes
2.5. Statistical Analysis
3. Results
3.1. Baseline Characteristics and Presentation of PE Event
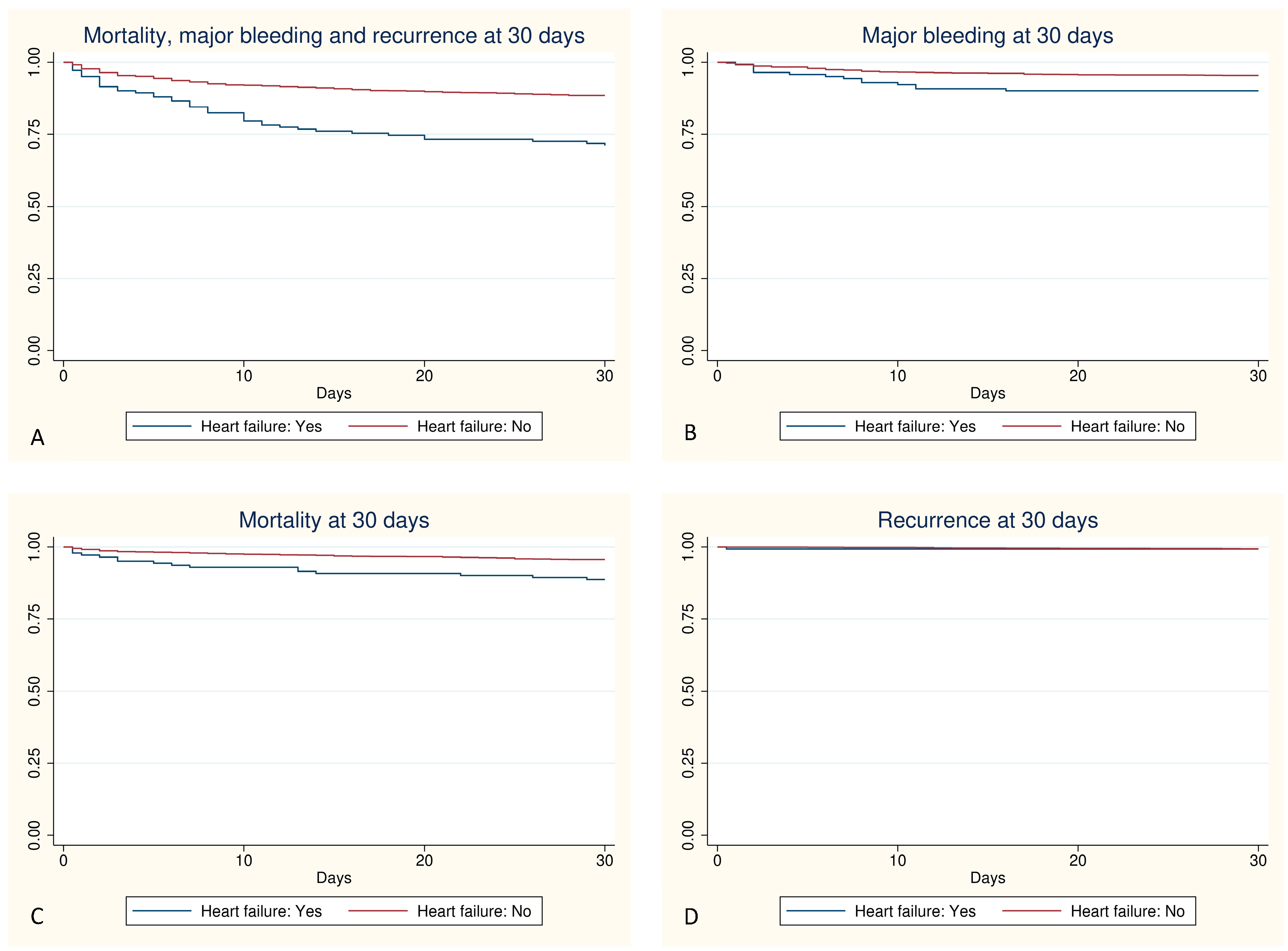
3.2. Outcomes and Follow-Up
4. Discussion
5. Conclusions
Author Contributions
Funding
Institutional Review Board Statement
Informed Consent Statement
Data Availability Statement
Conflicts of Interest
References
- Di Nisio, M.; van Es, N.; Büller, H.R. Deep vein thrombosis and pulmonary embolism. Lancet 2016, 388, 3060–3073. [Google Scholar] [CrossRef] [PubMed]
- Khan, F.; Tritschler, T.; Kahn, S.R.; Rodger, M.A. Venous thromboembolism. Lancet 2021, 398, 64–77. [Google Scholar] [CrossRef] [PubMed]
- Heit, J.A. Epidemiology of venous thromboembolism. Nat. Rev. Cardiol. 2015, 12, 464–474. [Google Scholar] [CrossRef] [PubMed]
- Raskob, G.E.; Angchaisuksiri, P.; Blanco, A.N.; Buller, H.; Gallus, A.; Hunt, B.J.; Hylek, E.M.; Kakkar, A.; Konstantinides, S.V.; McCumber, M.; et al. Thrombosis: A Major Contributor to Global Disease Burden. Arterioscler. Thromb. Vasc. Biol. 2014, 34, 2363–2371. [Google Scholar] [CrossRef] [PubMed]
- Di Minno, G.; Mannucci, P.M.; Tufano, A.; Palareti, G.; Moia, M.; Baccaglini, U.; Rudelli, G.; Giudici, G.A. First Ambulatory Screening on Thromboembolism (fast) Study Group. The first ambulatory screening on thromboembolism: A multicentre, cross-sectional, observational study on risk factors for venous thromboembolism. J. Thromb. Haemost. 2005, 3, 1459–1466. [Google Scholar] [CrossRef] [PubMed]
- Tang, L.; Wu, Y.Y.; Lip, G.Y.H.; Yin, P.; Hu, Y. Heart failure and risk of venous thromboembolism: A systematic review and meta-analysis. Lancet Haematol. 2016, 3, e30–e44. [Google Scholar] [CrossRef] [PubMed]
- Zannad, F.; Stough, W.G.; Regnault, V.; Gheorghiade, M.; Deliargyris, E.; Gibson, C.M.; Agewall, S.; Berkowitz, S.D.; Burton, P.; Calvo, G.; et al. Is thrombosis a contributor to heart failure pathophysiology? Possible mechanisms, therapeutic opportunities, and clinical investigation challenges. Int. J. Cardiol. 2013, 167, 1772–1782. [Google Scholar] [CrossRef]
- Kim, J.H.; Shah, P.; Tantry, U.S.; Gurbel, P.A. Coagulation Abnormalities in Heart Failure: Pathophysiology and Therapeutic Implications. Curr. Heart Fail. Rep. 2016, 13, 319–328. [Google Scholar] [CrossRef]
- Obradovic, S.; Dzudovic, B.; Subotic, B.; Matijasevic, J.; Mladenovic, Z.; Bokan, A.; Trobok, J.; Pekovic, S.; Salinger-Martinovic, S.; Jovanovic, L.; et al. Predictive value of heart failure with reduced versus preserved ejection fraction for outcome in pulmonary embolism. ESC Heart Fail. 2020, 7, 4061–4070. [Google Scholar] [CrossRef]
- Ng, T.M.H.; Tsai, F.; Khatri, N.; Barakat, M.N.; Elkayam, U. Venous Thromboembolism in Hospitalized Patients With Heart Failure: Incidence, Prognosis, and Prevention. Circ. Heart Fail. 2010, 3, 165–173. [Google Scholar] [CrossRef]
- Smilowitz, N.R.; Zhao, Q.; Wang, L.; Shrestha, S.; Baser, O.; Berger, J.S. Risk of Venous Thromboembolism after New Onset Heart Failure. Sci. Rep. 2019, 9, 17415. [Google Scholar] [CrossRef]
- Darze, E.S.; Latado, A.L.; Guimarães, A.G.; Guedes, R.A.V.; Santos, A.B.; de Moura, S.S.; Passos, L.C.S. Acute Pulmonary Embolism Is an Independent Predictor of Adverse Events in Severe Decompensated Heart Failure Patients. Chest 2007, 131, 1838–1843. [Google Scholar] [CrossRef]
- Pisters, R.; Lane, D.A.; Nieuwlaat, R.; de Vos, C.B.; Crijns, H.J.G.M.; Lip, G.Y.H. A Novel User-Friendly Score (HAS-BLED) To Assess 1-Year Risk of Major Bleeding in Patients With Atrial Fibrillation. Chest 2010, 138, 1093–1100. [Google Scholar] [CrossRef]
- Franco Moreno, A.I.; García Navarro, M.J.; Ortiz Sánchez, J.; Martín Díaz, R.M.; Madroñal Cerezo, E.; De Ancos Aracil, C.L.; Cabello Clotet, N.; Perales Fraile, I.; Gimeno García, S.; Montero Hernández, C.; et al. A risk score for prediction of recurrence in patients with unprovoked venous thromboembolism (DAMOVES). Eur. J. Intern. Med. 2016, 29, 59–64. [Google Scholar] [CrossRef] [PubMed]
- Aujesky, D.; Obrosky, D.S.; Stone, R.A.; Auble, T.E.; Perrier, A.; Cornuz, J.; Roy, P.M.; Fine, M.J. Derivation and Validation of a Prognostic Model for Pulmonary Embolism. Am. J. Respir. Crit. Care Med. 2005, 172, 1041–1046. [Google Scholar] [CrossRef]
- Jiménez, D.; Aujesky, D.; Moores, L.; Gómez, V.; Lobo, J.L.; Uresandi, F.; Otero, R.; Monreal, M.; Muriel, A.; RIETE investigators; et al. Simplification of the Pulmonary Embolism Severity Index for Prognostication in Patients With Acute Symptomatic Pulmonary Embolism. Arch. Intern. Med. 2010, 170, 1383. [Google Scholar] [CrossRef] [PubMed]
- Laporte, S.; Mismetti, P.; Décousus, H.; Uresandi, F.; Otero, R.; Lobo, J.L.; Monreal, M.; RIETE Investigators. Clinical Predictors for Fatal Pulmonary Embolism in 15 520 Patients With Venous Thromboembolism: Findings From the Registro Informatizado de la Enfermedad TromboEmbolica venosa (RIETE) Registry. Circulation 2008, 117, 1711–1716. [Google Scholar] [CrossRef] [PubMed]
- Quintero-Martinez, J.A.; Dangl, M.; Uribe, J.; Vasquez, M.A.; Vergara-Sanchez, C.; Albosta, M.; Maning, J.; Colombo, R. Impact of Chronic Heart Failure on Acute Pulmonary Embolism in-Hospital Outcomes (From a Contemporary Study). Am. J. Cardiol. 2023, 195, 17–22. [Google Scholar] [CrossRef]
- Piazza, G.; Goldhaber, S.Z.; Lessard, D.M.; Goldberg, R.J.; Emery, C.; Spencer, F.A. Venous Thromboembolism in Heart Failure: Preventable Deaths During and After Hospitalization. Am. J. Med. 2011, 124, 252–259. [Google Scholar] [CrossRef]
- Mebazaa, A.; Spiro, T.E.; Büller, H.R.; Haskell, L.; Hu, D.; Hull, R.; Merli, G.; Schellong, S.W.; Spyropoulos, A.C.; Tapson, V.F.; et al. Predicting the Risk of Venous Thromboembolism in Patients Hospitalized With Heart Failure. Circulation 2014, 130, 410–418. [Google Scholar] [CrossRef][Green Version]
- Jones, N.R.; Roalfe, A.K.; Adoki, I.; Hobbs, F.D.R.; Taylor, C.J. Survival of patients with chronic heart failure in the community: A systematic review and meta-analysis. Eur. J. Heart Fail. 2019, 21, 1306–1325. [Google Scholar] [CrossRef]
- Roffi, M.; Patrono, C.; Collet, J.P.; Mueller, C.; Valgimigli, M.; Andreotti, F.; Bax, J.J.; Borger, M.A.; Brotons, C.; Chew, D.P.; et al. 2015 ESC Guidelines for the management of acute coronary syndromes in patients presenting without persistent ST-segment elevation: Task Force for the Management of Acute Coronary Syndromes in Patients Presenting without Persistent ST-Segment Elevation of the European Society of Cardiology (ESC). Eur. Heart J. 2016, 37, 267–315. [Google Scholar] [PubMed]
- Franco, L.; Becattini, C.; Beyer-Westendorf, J.; Vanni, S.; Nitti, C.; Re, R.; Manina, G.; Pomero, F.; Cappelli, R.; Conti, A.; et al. Definition of major bleeding: Prognostic classification. J. Thromb. Haemost. 2020, 18, 2852–2860. [Google Scholar] [CrossRef] [PubMed]
- Monreal, M.; Muñoz-Torrero, J.F.S.; Naraine, V.S.; Jiménez, D.; Soler, S.; Rabuñal, R.; Gallego, P.; RIETE Investigators. Pulmonary Embolism in Patients with Chronic Obstructive Pulmonary Disease or Congestive Heart Failure. Am. J. Med. 2006, 119, 851–858. [Google Scholar] [CrossRef]
- Bechlioulis, A.; Lakkas, L.; Rammos, A.; Katsouras, C.; Michalis, L.; Naka, K. Venous Thromboembolism in Patients with Heart Failure. Curr. Pharm. Des. 2022, 28, 512–520. [Google Scholar] [CrossRef]
- Piazza, G.; Goldhaber, S.Z. Pulmonary Embolism in Heart Failure. Circulation 2008, 118, 1598–1601. [Google Scholar] [CrossRef]
- Fang, M.C.; Go, A.S.; Chang, Y.; Borowsky, L.H.; Pomernacki, N.K.; Udaltsova, N.; Udaltsova, N.; Singer, D.E. A New Risk Scheme to Predict Warfarin-Associated Hemorrhage. J. Am. Coll. Cardiol. 2011, 58, 395–401. [Google Scholar] [CrossRef] [PubMed]
- Ruíz-Giménez, N.; Suárez, C.; González, R.; Nieto, J.A.; Todolí, J.A.; Samperiz, Á.L.; Monreal, M.; Riete Investigators. Predictive variables for major bleeding events in patients presenting with documented acute venous thromboembolism. Findings from the RIETE Registry. Thromb. Haemost. 2008, 100, 26–31. [Google Scholar] [CrossRef] [PubMed]
- Nishimoto, Y.; Yamashita, Y.; Morimoto, T.; Saga, S.; Amano, H.; Takase, T.; Hiramori, S.; Kim, K.; Oi, M.; Akao, M.; et al. Validation of the VTE-BLEED score’s long-term performance for major bleeding in patients with venous thromboembolisms: From the COMMAND VTE registry. J. Thromb. Haemost. 2020, 18, 624–632. [Google Scholar] [CrossRef]
- Klok, F.A.; Hösel, V.; Clemens, A.; Yollo, W.D.; Tilke, C.; Schulman, S.; Lankeit, M.; Konstantinides, S.V. Prediction of bleeding events in patients with venous thromboembolism on stable anticoagulation treatment. Eur Respir. J. 2016, 48, 1369–1376. [Google Scholar] [CrossRef]
- Klok, F.A.; Presles, E.; Tromeur, C.; Barco, S.; Konstantinides, S.V.; Sanchez, O.; Pernod, G.; Raj, L.; Robin, P.; Le Roux, P.Y.; et al. Evaluation of the predictive value of the bleeding prediction score VTE-BLEED for recurrent venous thromboembolism. Res. Pr. Pract. Thromb. Haemost. 2019, 3, 364–371. [Google Scholar] [CrossRef]
- Kuijer, P.M.; Hutten, B.A.; Prins, M.H.; Büller, H.R. Prediction of the Risk of Bleeding During Anticoagulant Treatment for Venous Thromboembolism. Arch. Intern. Med. 1999, 159, 457. [Google Scholar] [CrossRef]
- Beyth, R.J.; Quinn, L.M.; Landefeld, C.S. Prospective evaluation of an index for predicting the risk of major bleeding in outpatients treated with warfarin. Am. J. Med. 1998, 105, 91–99. [Google Scholar] [CrossRef] [PubMed]
- Ducrocq, G.; Wallace, J.S.; Baron, G.; Ravaud, P.; Alberts, M.J.; Wilson, P.W.F.; Ohman, E.M.; Brennan, D.M.; D'Agostino , R.B.; Bhatt, D.L. Risk score to predict serious bleeding in stable outpatients with or at risk of atherothrombosis. Eur. Heart J. 2010, 31, 1257–1265. [Google Scholar] [CrossRef] [PubMed]
- Abramov, D.; Kobo, O.; Mohamed, M.; Roguin, A.; Osman, M.; Patel, B.; Parwani, P.; Alraies, C.; Sauer, A.J.; Van Spall, H.G.C.; et al. Management and outcomes of acute myocardial infarction in patients with preexisting heart failure: An analysis of 2 million patients from the national inpatient sample. Expert. Rev. Cardiovasc. Ther. 2022, 20, 233–240. [Google Scholar] [CrossRef] [PubMed]
- Desai, N.R.; Kennedy, K.F.; Cohen, D.J.; Connolly, T.; Diercks, D.B.; Moscucci, M.; Ramee, S.; Spertus, J.; Wang, T.Y.; McNamara, R.L. Contemporary risk model for inhospital major bleeding for patients with acute myocardial infarction: The acute coronary treatment and intervention outcomes network (ACTION) registry®–Get With The Guidelines (GWTG)®. Am. Heart J. 2017, 194, 16–24. [Google Scholar] [CrossRef] [PubMed]
- Subherwal, S.; Bach, R.G.; Chen, A.Y.; Gage, B.F.; Rao, S.V.; Newby, L.K.; Wang, T.Y.; Gibler, W.B.; Ohman, E.M.; Roe, M.T.; et al. Baseline Risk of Major Bleeding in Non–ST-Segment–Elevation Myocardial Infarction: The CRUSADE (Can Rapid risk stratification of Unstable angina patients Suppress ADverse outcomes with Early implementation of the ACC/AHA guidelines) Bleeding Score. Circulation 2009, 119, 1873–1882. [Google Scholar] [CrossRef] [PubMed]
- Tromp, J.; Westenbrink, B.D.; Ouwerkerk, W.; Van Veldhuisen, D.J.; Samani, N.J.; Ponikowski, P.; Metra, M.; Anker, S.D.; Cleland, J.G.; Dickstein, K.; et al. Identifying Pathophysiological Mechanisms in Heart Failure With Reduced Versus Preserved Ejection Fraction. J. Am. Coll. Cardiol. 2018, 72, 1081–1090. [Google Scholar] [CrossRef] [PubMed]
- Sato, Y.; Yoshihisa, A.; Takeishi, R.; Ohara, H.; Sugawara, Y.; Ichijo, Y.; Hotsuki, Y.; Watanabe, K.; Abe, S.; Misaka, T.; et al. Simplified Academic Research Consortium for High Bleeding Risk (ARC-HBR) Definition Predicts Bleeding Events in Patients With Heart Failure. Circ. J. 2021, 86, 147–155. [Google Scholar] [CrossRef] [PubMed]
- Lafaie, L.; Célarier, T.; Monreal, M.; Mismetti, P.; Delavenne, X.; Bertoletti, L. The impact of advanced age on anticoagulant therapy for acute venous thromboembolism. Expert. Opin. Drug Metab. Toxicol. 2022, 18, 27–37. [Google Scholar] [CrossRef]
- McDonagh, T.A.; Metra, M.; Adamo, M.; Gardner, R.S.; Baumbach, A.; Böhm, M.; Burri, H.; Butler, J.; Čelutkienė, J.; Chioncel, O.; et al. 2021 ESC Guidelines for the diagnosis and treatment of acute and chronic heart failure. Eur. Heart J. 2021, 42, 3599–3726. [Google Scholar] [CrossRef] [PubMed]
- Lozano-Cruz, P.; Vivas, D.; Rojas, A.; Font, R.; Román-García, F.; Muñoz, B. Valor pronóstico del antecedente de insuficiencia cardiaca en pacientes ingresados con tromboembolia pulmonar. Med. Clin. 2016, 147, 340–344. [Google Scholar] [CrossRef] [PubMed]
- Moldovan, F. Bone Cement Implantation Syndrome: A Rare Disaster Following Cemented Hip Arthroplasties—Clinical Considerations Supported by Case Studies. J. Pers. Med. 2023, 13, 1381. [Google Scholar] [CrossRef] [PubMed]
- Arcopinto, M.; Schiavo, A.; Salzano, A.; Bossone, E.; D’Assante, R.; Marsico, F.; Demelo-Rodriguez, P.; Baliga, R.R.; Cittadini, A.; Marra, A.M. Metabolic Syndrome in Heart Failure: Friend or Foe? Heart Fail Clin. 2019, 15, 349–358. [Google Scholar] [CrossRef]

| Variables | HF (n = 142) | Non-HF (n = 1849) | p-Value |
|---|---|---|---|
| Age (median) | 82.5 (IQR 76–88) | 68 (IQR 54–79) | <0.001 |
| Sex (male) | 62 (43.66%) | 892 (48.40%) | 0.276 |
| Previous conditions | |||
| Ischemic heart disease | 29 (20.42%) | 86 (4.67%) | <0.001 |
| Cerebrovascular disease | 28 (19.72%) | 96 (5.21%) | <0.001 |
| Peripheral artery disease | 14 (9.86%) | 44 (2.39%) | <0.001 |
| Smoking | 10 (7.09%) | 243 (13.27%) | 0.034 |
| Diabetes | 41 (28.87%) | 272 (14.75%) | <0.001 |
| Arterial hypertension | 125 (88.02%) | 872 (47.24%) | <0.001 |
| Atrial fibrillation | 25 (18.28%) | 36 (2.02%) | <0.001 |
| Dyslipidemia | 80 (56.34%) | 558 (30.31%) | <0.001 |
| COPD | 36 (25.35%) | 203 (10.98%) | <0.001 |
| Obstructive sleep apnea | 12 (8.45%) | 85 (4.60%) | 0.04 |
| Cirrhosis | 1 (0.70%) | 15 (0.81%) | 1 |
| Chronic kidney disease | 50 (35.21%) | 177 (9.57%) | <0.001 |
| Bleeding in the last month | 5 (3.52%) | 71 (3.84%) | 0.848 |
| Risk factors for VTE | |||
| Previous PE or DVT | 11 (7.75%) | 168 (9.09%) | 0.591 |
| Family history of VTE | 3 (3.53%) | 83 (6.65%) | 0.361 |
| Unprovoked VTE | 59 (41.55%) | 814 (44.02%) | 0.567 |
| Provoked VTE | 83 (58.45%) | 1035 (55.98%) | 0.567 |
| Cancer | 30 (21.13%) | 318 (17.20%) | 0.235 |
| Recent immobilization | 56 (39.44%) | 521 (28.18%) | 0.004 |
| Recent surgery | 12 (8.45%) | 210 (11.36%) | 0.289 |
| Long travel | 0 (0%) | 40 (2.18%) | 0.11 |
| Hormone therapy | 8 (5.67%) | 141 (7.10%) | 0.521 |
| Variables | HF (n = 142) | Non-HF (n = 1849) | p-Value |
|---|---|---|---|
| Clinical presentation | |||
| Heart rate > 100 bpm | 34 (23.94%) | 592 (32.02%) | 0.046 |
| SBP <90 mmHg | 12 (8.45%) | 99 (5.35%) | 0.121 |
| Respiratory rate >20 rpm | 14 (41.18%) | 131 (26.84%) | 0.071 |
| O2 saturation <90% | 23 (33.33%) | 152 (22.22%) | 0.037 |
| Required hospital admission | 116 (95.87%) | 1443 (96.01%) | 0.812 |
| Concomitant DVT | 26 (18.31%) | 493 (26.66%) | 0.029 |
| Dyspnea | 117 (82.39%) | 1438 (80.21%) | 0.723 |
| Syncope | 26 (18.32%) | 249 (13.47%) | 0.223 |
| Chest pain | 38 (26.76%) | 739 (39.97%) | 0.006 |
| Hemoptysis | 6 (4.23%) | 52 (2.81%) | 0.481 |
| Image tests | |||
| PE in main arteries | 34 (23.94%) | 648 (35.05%) | 0.007 |
| PSAP (median) | 43 (IQR 25–55) | 37 (IQR 29–49) | 0.001 |
| Right atrium dilatation | 27 (19.01%) | 138 (7.46%) | <0.001 |
| Right ventricle hypokinesia | 40 (32.79%) | 489 (34.66%) | 0.677 |
| TAPSE <17 mm | 14 (21.21%) | 150 (16.84%) | 0.363 |
| Preserved LVEF (≥50%) | 91 (79.13%) | NA | NA |
| Reduced LVEF (<49%) | 24 (20.87%) | NA | NA |
| Laboratory tests | |||
| Hemoglobin <12 g/dL in women | 28 (35%) | 276 (28.93%) | 0.253 |
| Hemoglobin <13 g/dL in men | 31 (50%) | 233 (26.03%) | <0.001 |
| Platelets <100,000 | 8 (5.63%) | 44 (2.38%) | 0.028 |
| D-Dimer (ng/mL) (median) | 2889 (IQR 1176–5426) | 2716.5 (IQR 1150–6355.5) | 0.484 |
| Renal insufficiency | 72 (50.70%) | 391 (21.25%) | <0.001 |
| Elevated troponin | 66 (60.55%) | 551 (40.78%) | <0.001 |
| Elevated NT-ProBNP | 86 (77.48%) | 528 (44.63%) | <0.001 |
| Acute treatment | |||
| Inferior vena cava filter | 6 (4.23%) | 76 (4.11%) | 0.947 |
| LMWH | 129 (90.85%) | 1734 (93.78%) | 0.169 |
| UFH | 14 (9.86%) | 259 (14.01%) | 0.166 |
| Fibrinolytics | 7 (4.93%) | 130 (7.03%) | 0.34 |
| Vitamin K antagonists | 2 (1.41%) | 10 (0.54%) | 0.209 |
| DOAC | 5 (3.52%) | 217 (11.74%) | 0.003 |
| Variables | HF (n = 142) | Non-HF (n = 1849) | p-Value |
|---|---|---|---|
| Hospital stay (median, days) | 8 (IQR 6–13) | 8 (IQR 5–11) | 0.076 |
| Overall mortality | 16 (11.27%) | 80 (4.33%) | <0.001 |
| Bleeding | 0 (0%) | 7 (8.75%) | 0.597 |
| Pulmonary embolism | 3 (18.75%) | 25 (31.25%) | 0.382 |
| Other | 13 (81.25%) | 48 (60%) | 0.024 |
| VTE recurrence | 1 (0.70%) | 12 (0.65%) | 1 |
| Pulmonary embolism | 1 (100%) | 5 (41.67%) | 0.462 |
| Isolated DVT | 0 (0%) | 5 (41.67%) | 1 |
| Other | 0 (0%) | 2 (16.66%) | 1 |
| Major bleeding | 14 (9.86%) | 84 (4.54%) | 0.005 |
| Total bleeding | 27 (19.01%) | 149 (8.06%) | <0.001 |
| Variables | Unadjusted HR | Adjusted HR ** |
|---|---|---|
| HF (all) | ||
| Compound event * | 2.75 (95% CI 1.96–3.84) | 1.93 (95% CI 1.35–2.76) |
| Major bleeding | 2.22 (95% CI 1.26–3.92) | 1.59 (95% CI 0.87–2.91) |
| Death | 2.70 (95% CI 1.58–4.63) | 1.48 (95% CI 0.84–2.61) |
| Recurrence | 1.08 (95% CI 0.14–8.37) | 1.66 (95% CI 0.20–13.59) |
| HF with reduced LVEF | ||
| Compound event * | 3.06 (95% CI 1.51–6.19) | 2.05 (95% CI 0.99–4.21) |
| Major bleeding | 4.68 (95% CI 1.90–11.51) | 3.44 (95% CI 1.34–8.81) |
| Death | 1.91 (95% CI 0.47–7.78) | 1.08 (95% CI 0.26–4.44) |
| Recurrence | NC | NC |
Disclaimer/Publisher’s Note: The statements, opinions and data contained in all publications are solely those of the individual author(s) and contributor(s) and not of MDPI and/or the editor(s). MDPI and/or the editor(s) disclaim responsibility for any injury to people or property resulting from any ideas, methods, instructions or products referred to in the content. |
© 2024 by the authors. Licensee MDPI, Basel, Switzerland. This article is an open access article distributed under the terms and conditions of the Creative Commons Attribution (CC BY) license (https://creativecommons.org/licenses/by/4.0/).
Share and Cite
Farid-Zahran, M.; Méndez-Bailón, M.; Pedrajas, J.M.; Alonso-Beato, R.; Galeano-Valle, F.; Sendín Martín, V.; Marco-Martínez, J.; Demelo-Rodríguez, P. Prognostic Significance of Heart Failure in Acute Pulmonary Embolism: A Comprehensive Assessment of 30-Day Outcomes. J. Clin. Med. 2024, 13, 1284. https://doi.org/10.3390/jcm13051284
Farid-Zahran M, Méndez-Bailón M, Pedrajas JM, Alonso-Beato R, Galeano-Valle F, Sendín Martín V, Marco-Martínez J, Demelo-Rodríguez P. Prognostic Significance of Heart Failure in Acute Pulmonary Embolism: A Comprehensive Assessment of 30-Day Outcomes. Journal of Clinical Medicine. 2024; 13(5):1284. https://doi.org/10.3390/jcm13051284
Chicago/Turabian StyleFarid-Zahran, Mariam, Manuel Méndez-Bailón, José María Pedrajas, Rubén Alonso-Beato, Francisco Galeano-Valle, Vanesa Sendín Martín, Javier Marco-Martínez, and Pablo Demelo-Rodríguez. 2024. "Prognostic Significance of Heart Failure in Acute Pulmonary Embolism: A Comprehensive Assessment of 30-Day Outcomes" Journal of Clinical Medicine 13, no. 5: 1284. https://doi.org/10.3390/jcm13051284
APA StyleFarid-Zahran, M., Méndez-Bailón, M., Pedrajas, J. M., Alonso-Beato, R., Galeano-Valle, F., Sendín Martín, V., Marco-Martínez, J., & Demelo-Rodríguez, P. (2024). Prognostic Significance of Heart Failure in Acute Pulmonary Embolism: A Comprehensive Assessment of 30-Day Outcomes. Journal of Clinical Medicine, 13(5), 1284. https://doi.org/10.3390/jcm13051284

