Exercise-Induced Oxygen Desaturation and Outcomes After Nintedanib Therapy for Fibrosing Interstitial Lung Disease in Patients Without Dyspnea
Abstract
1. Introduction
2. Materials and Methods
2.1. Patient Selection
2.2. Study Protocol
2.3. Pulmonary Function Tests
2.4. 6MWT
2.5. Statistical Analysis
3. Results
3.1. Patient Selection and Characteristics
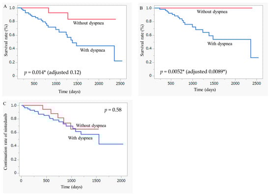
3.2. Patient Outcomes
3.3. Analysis of Risk Factors for Annual Progression of FILD
3.4. Tolerability of Nintedanib Therapy in Dyspnea and Non-Dyspnea Groups
4. Discussion
5. Conclusions
Author Contributions
Funding
Institutional Review Board Statement
Informed Consent Statement
Data Availability Statement
Acknowledgments
Conflicts of Interest
References
- Raghu, G.; Remy-Jardin, M.; Richeldi, L.; Thomson, C.C.; Inoue, Y.; Johkoh, T.; Kreuter, M.; Lynch, D.A.; Maher, T.M.; Martinez, F.J.; et al. Idiopathic Pulmonary Fibrosis (an Update) and Progressive Pulmonary Fibrosis in Adults: An Official ATS/ERS/JRS/ALAT Clinical Practice Guideline. Am. J. Respir. Crit. Care Med. 2022, 205, e18–e47. [Google Scholar] [CrossRef] [PubMed]
- Raghu, G.; Remy-Jardin, M.; Myers, J.L.; Richeldi, L.; Ryerson, C.J.; Lederer, D.J.; Behr, J.; Cottin, V.; Danoff, S.K.; Morell, F.; et al. Diagnosis of Idiopathic Pulmonary Fibrosis. An Official ATS/ERS/JRS/ALAT Clinical Practice Guideline. Am. J. Respir. Crit. Care Med. 2018, 198, e44–e68. [Google Scholar] [CrossRef] [PubMed]
- Raghu, G.; Collard, H.R.; Egan, J.J.; Martinez, F.J.; Behr, J.; Brown, K.K.; Colby, T.V.; Cordier, J.F.; Flaherty, K.R.; Lasky, J.A.; et al. An Official ATS/ERS/JRS/ALAT Statement: Idiopathic Pulmonary Fibrosis: Evidence-based Guidelines for Diagnosis and Management. Am. J. Respir. Crit. Care Med. 2011, 183, 788–824. [Google Scholar] [CrossRef] [PubMed]
- Travis, W.D.; Costabel, U.; Hansell, D.M.; King, T.E., Jr.; Lynch, D.A.; Nicholson, A.G.; Ryerson, C.J.; Ryu, J.H.; Selman, M.; Wells, A.U.; et al. An official American Thoracic Society/European Respiratory Society statement: Update of the international multidisciplinary classification of the idiopathic interstitial pneumonias. Am. J. Respir. Crit. Care Med. 2013, 188, 733–748. [Google Scholar] [CrossRef]
- Natsuizaka, M.; Chiba, H.; Kuronuma, K.; Otsuka, M.; Kudo, K.; Mori, M.; Bando, M.; Sugiyama, Y.; Takahashi, H. Epidemiologic survey of Japanese patients with idiopathic pulmonary fibrosis and investigation of ethnic differences. Am. J. Respir. Crit. Care Med. 2014, 190, 773–779. [Google Scholar] [CrossRef] [PubMed]
- Khor, Y.H.; Farooqi, M.; Hambly, N.; Kolb, M.; Ryerson, C.J.; Austin ILD Registry and CARE-PF Investigators. Patient Characteristics and Survival for Progressive Pulmonary Fibrosis Using Different Definitions. Am. J. Respir. Crit. Care Med. 2013, 207, 102–105. [Google Scholar] [CrossRef] [PubMed]
- Richeldi, L.; du Bois, R.M.; Raghu, G.; Azuma, A.; Brown, K.K.; Costabel, U.; Cottin, V.; Flaherty, K.R.; Hansell, D.M.; Inoue, Y.; et al. Efficacy and safety of nintedanib in idiopathic pulmonary fibrosis. N. Engl. J. Med. 2014, 370, 2071–2082. [Google Scholar] [CrossRef] [PubMed]
- King, T.E., Jr.; Bradfor, W.Z.; Castro-Bernardini, S.; Fagan, E.A.; Glaspole, I.; Glassberg, M.K.; Gorina, E.; Hopkins, P.M.; Kardatzke, D.; Lancaster, L.; et al. A phase 3 trial of pirfenidone in patients with idiopathic pulmonary fibrosis. N. Engl. J. Med. 2014, 370, 2083–2092. [Google Scholar] [CrossRef]
- Petnak, T.; Lertjitbanjong, P.; Thongprayoon, C.; Moua, T. Impact of Antifibrotic Therapy on Mortality and Acute Exacerbation in Idiopathic Pulmonary Fibrosis: A Systematic Review and Meta-Analysis. Chest 2021, 160, 1751–1763. [Google Scholar] [CrossRef] [PubMed]
- Flaherty, K.R.; Wells, A.U.; Cottin, V.; Devaraj, A.; Walsh, S.L.F.; Inoue, Y.; Richeldi, L.; Kolb, M.; Tetzlaff, K.; Stowasser, S.; et al. Nintedanib in Progressive Fibrosing Interstitial Lung Diseases. N. Engl. J. Med. 2019, 381, 1718–1727. [Google Scholar] [CrossRef]
- Homma, S.; Bando, M.; Azuma, A.; Sakamoto, S.; Sugino, K.; Ishii, Y.; Izumi, S.; Inase, N.; Inoue, Y.; Ebina, M.; et al. Japanese guideline for the treatment of idiopathic pulmonary fibrosis. Respir. Investig. 2018, 56, 268–291. [Google Scholar] [CrossRef]
- Maher, T.M.; Stowasser, S.; Nishioka, Y.; White, E.S.; Cottin, V.; Noth, I.; Selman, M.; Rohr, K.B.; Michael, A.; Ittrich, C.; et al. Biomarkers of extracellular matrix turnover in patients with idiopathic pulmonary fibrosis given nintedanib (INMARK study): A randomised, placebo-controlled study. Lancet Respir. Med. 2019, 7, 771–779. [Google Scholar] [CrossRef]
- Kolb, M.; Flaherty, K.R.; Silva, R.S.; Prasse, A.; Vancheri, C.; Mueller, H.; Sroka-Saidi, K.; Wells, A.U.; INBUILD trial investigators. Effect of Nintedanib in Patients with Progressive Pulmonary Fibrosis in Subgroups with Differing Baseline Characteristics. Adv. Ther. 2023, 40, 5536–5546. [Google Scholar] [CrossRef]
- Nishiyama, O.; Taniguchi, H.; Kondoh, H.; Kimura, T.; Kato, K.; Kataoka, K.; Ogawa, T.; Watanabe, F.; Arizono, S. A simple assessment of dyspnoea as a prognostic indicator in idiopathic pulmonary fibrosis. Eur. Respir. J. 2010, 36, 1067–1072. [Google Scholar] [CrossRef]
- Volkmann, E.R.; Kreuter, M.; Hoffmann-Vold, A.M.; Wijsenbeek, M.; Smith, V.; Khanna, D.; Denton, C.P.; Wuyts, W.A.; Miede, C.; Alves, M.; et al. Dyspnoea and cough in patients with systemic sclerosis-associated interstitial lung disease in the SENSCIS trial. Rheumatology 2022, 61, 4397–4408. [Google Scholar] [CrossRef]
- Lama, V.N.; Flaherty, K.R.; Toews, G.B.; Colby, T.V.; Travis, W.D.; Long, Q.; Murray, S.; Kazerooni, E.A.; Gross, B.H.; Lynch, J.P., 3rd; et al. Prognostic value of desaturation during a 6-minute walk test in idiopathic interstitial pneumonia. Am. J. Respir. Crit. Care Med. 2003, 168, 1084–1090. [Google Scholar] [CrossRef] [PubMed]
- Lederer, D.J.; Arcasoy, S.M.; Wilt, J.S.; D’Ovidio, F.; Sonett, J.R.; Kawut, S.M. Six-minute-walk distance predicts waiting list survival in idiopathic pulmonary fibrosis. Am. J. Respir. Crit. Care Med. 2006, 174, 659–664. [Google Scholar] [CrossRef]
- Kondoh, Y.; Taniguchi, H.; Kataoka, K.; Furukawa, T.; Ando, M.; Murotani, K.; Mishima, M.; Inoue, Y.; Ogura, T.; Bando, M.; et al. Disease severity staging system for idiopathic pulmonary fibrosis in Japan. Respirology 2017, 22, 1609–1614. [Google Scholar] [CrossRef] [PubMed]
- Sugino, K.; Ono, H.; Watanabe, N.; Ando, M.; Tsuboi, E.; Homma, S.; Kishi, K. Efficacy of early antifibrotic treatment for idiopathic pulmonary fibrosis. BMC Pulm. Med. 2021, 21, 218. [Google Scholar] [CrossRef]
- Nishiyama, O.; Taniguchi, H.; Kondoh, Y.; Kimura, T.; Kato, K.; Ogawa, T.; Watanabe, F.; Arizono, S. Dyspnoea at 6-min walk test in idiopathic pulmonary fibrosis: Comparison with COPD. Respir. Med. 2007, 101, 833–838. [Google Scholar] [CrossRef] [PubMed]
- van den Hoogen, F.; Khanna, D.; Fransen, J.; Johnson, S.R.; Baron, M.; Tyndall, A.; Matucci-Cerinic, M.; Naden, R.P.; Medsger, T.A., Jr.; Carreira, P.E.; et al. 2013 Classification criteria for systemic sclerosis: An American College of Rheumatology/European League against rheumatism collaborative initiative. Arthritis Rheum. 2013, 65, 2737–2747. [Google Scholar] [CrossRef]
- Bohan, A.; Peter, J.B. Polymyositis and dermatomyositis (first of two parts). N. Engl. J. Med. 1975, 292, 344–347. [Google Scholar] [CrossRef]
- Aletaha, D.; Neogi, T.; Silman, A.J.; Funovits, J.; Felson, D.T.; Bingham, C.O., 3rd; Birnbaum, N.S.; Burmester, G.R.; Bykerk, V.P.; Cohen, M.D.; et al. 2010 Rheumatoid arthritis classification criteria: An American College of Rheumatology/European League Against Rheumatism collaborative initiative. Arthritis Rheum. 2010, 62, 2569–2581. [Google Scholar] [CrossRef]
- Shiboski, C.H.; Shiboski, S.C.; Seror, R.; Criswell, L.A.; Labetoulle, M.; Lietman, T.M.; Rasmussen, A.; Scofield, H.; Vitali, C.; Bowman, S.J.; et al. 2016 American College of Rheumatology/European League Against Rheumatism classification criteria for primary Sjogren’s syndrome: A consensus and data-driven methodology involving three international patient cohorts. Ann. Rheum. Dis. 2017, 76, 9–16. [Google Scholar] [CrossRef]
- Collard, H.R.; Moore, B.B.; Flaherty, K.R.; Brown, K.K.; Kaner, R.J.; King, T.E., Jr.; Lasky, J.A.; Loyd, J.E.; Noth, I.; Olman, M.A.; et al. Acute exacerbations of idiopathic pulmonary fibrosis. Am. J. Respir. Crit. Care Med. 2007, 176, 636–643. [Google Scholar] [CrossRef]
- Ryerson, C.J.; Vittinghoff, E.; Ley, B.; Lee, J.S.; Mooney, J.J.; Jones, K.D.; Elicker, B.M.; Wolters, P.J.; Koth, L.L.; King, T.E., Jr.; et al. Predicting survival across chronic interstitial lung disease: The ILD-GAP model. Chest 2014, 145, 723–728. [Google Scholar] [CrossRef]
- Kataoka, K.; Oda, K.; Takizawa, H.; Ogura, T.; Miyamoto, A.; Inoue, Y.; Akagawa, S.; Hashimoto, S.; Kishaba, T.; Sakamoto, K.; et al. Cohort study to evaluate prognostic factors in idiopathic pulmonary fibrosis patients introduced to oxygen therapy. Sci. Rep. 2023, 13, 13664. [Google Scholar] [CrossRef] [PubMed]
- Venkatesan, P. GOLD COPD report: 2024 update. Lancet Respir. Med. 2024, 12, 15–16. [Google Scholar] [CrossRef]
- Miller, M.R.; Hankinson, J.; Brusasco, V.; Burgos, F.; Casaburi, R.; Coates, A.; Crapo, R.; Enright, P.; van der Grinten, C.P.; Gustafsson, P.; et al. Standardization of spirometry. Eur. Respir. J. 2005, 26, 319–338. [Google Scholar] [CrossRef]
- ATS Committee on Proficiency Standards for Clinical Pulmonary Function Laboratories. ATS statement: Guidelines for the six-minute walk test. Guidel. Am. J. Respir. Crit. Care Med. 2002, 166, 111–117. [Google Scholar] [CrossRef]
- Huang, T.H.; Kuo, C.W.; Chen, C.W.; Tseng, Y.L.; Wu, C.L.; Lin, S.H. Baseline plasma KL-6 level predicts adverse outcomes in patients with idiopathic pulmonary fibrosis receiving nintedanib: A retrospective real-world cohort study. BMC Pulm. Med. 2021, 21, 165. [Google Scholar]
- Okamoto, M.; Fujimoto, K.; Johkoh, T.; Kawaguchi, A.; Mukae, H.; Sakamoto, N.; Ogura, T.; Ikeda, S.; Kondoh, Y.; Yamano, Y.; et al. A prospective cohort study of periostin as a serum biomarker in patients with idiopathic pulmonary fibrosis treated with nintedanib. Sci. Rep. 2023, 13, 22977. [Google Scholar] [CrossRef]
- Stock, C.J.W.; Bray, W.G.; Kouranos, V.; Jacob, J.; Kokosi, M.; George, P.M.; Chua, F.; Wells, A.U.; Sestini, P.; Renzoni, E.A. Serum C-reactive protein is associated with earlier mortality across different interstitial lung diseases. Respirology 2024, 29, 228–234. [Google Scholar] [CrossRef] [PubMed]
- Kreuter, M.; Lee, J.S.; Tzouvelekis, A.; Oldham, J.M.; Molyneaux, P.L.; Weycker, D.; Atwood, M.; Kirchgaessler, K.U.; Maher, T.M. Monocyte Count as a Prognostic Biomarker in Patients with Idiopathic Pulmonary Fibrosis. Am. J. Respir. Crit. Care Med. 2021, 204, 74–81. [Google Scholar] [CrossRef] [PubMed]
- Zinellu, A.; Fois, A.G.; Pirina, P.; Carru, C.; Mangoni, A.A. A Systematic Review and Meta-analysis of Clinical, Respiratory, and Biochemical Risk Factors for Acute Exacerbation of idiopathic Pulmonary Fibrosis. Arch. Med. Res. 2023, 54, 319–331. [Google Scholar] [CrossRef] [PubMed]
- Adegunsoye, A.; Oldham, J.M.; Bellam, S.K.; Montner, S.; Churpek, M.M.; Noth, I.; Vij, R.; Strek, M.E.; Chung, J.H. Computed tomography honeycombing identifies a progressive fibrotic phenotype with increased mortality across diverse interstitial lung diseases. Ann. Am. Thorac. Soc. 2019, 16, 580–588. [Google Scholar] [CrossRef]
- Uchida, Y.; Ikeda, S.; Sekine, A.; Katano, T.; Tabata, E.; Oda, T.; Okuda, R.; Kitamura, H.; Baba, T.; Komatsu, S.; et al. Tolerability and safety of nintedanib in elderly patients with idiopathic pulmonary fibrosis. Respir. Investig. 2021, 59, 99–105. [Google Scholar] [CrossRef] [PubMed]
- Ikeda, S.; Sekine, A.; Baba, T.; Yamanaka, Y.; Sadoyama, S.; Yamakawa, H.; Oda, T.; Okuda, R.; Kitamura, H.; Okudela, K.; et al. Low body surface area predicts hepatotoxicity of nintedanib in patients with idiopathic pulmonary fibrosis. Sci. Rep. 2017, 7, 10811. [Google Scholar] [CrossRef] [PubMed]
- Kato, M.; Sasaki, S.; Nakamura, T.; Kurokawa, K.; Yamada, T.; Ochi, Y.; Ihara, H.; Takahashi, F.; Takahashi, K. Gastrointestinal adverse effects of nintedanib and the associated risk factors in patients with idiopathic pulmonary fibrosis. Sci. Rep. 2019, 9, 12062. [Google Scholar] [CrossRef] [PubMed]





| Overall | Non-Dyspnea Group | Dyspnea Group | p Value | |
|---|---|---|---|---|
| Number | 76 | 18 (24%) | 58 (74%) | |
| Age (years) | 72.2 (65.9–76.2) | 70.8 (65.2–74.4) | 72.5 (66.2–76.6) | 0.17 |
| Male gender | 56 (74%) | 17 (94%) | 39 (69%) | 0.030 * |
| FILD subtype (FILD/UC-ILD/ HP/CTD/SR-ILD) | 53 (70%)/11 (15%)/ 7 (9%)/4 (5%)/1 (1%) | 14 (77%)/1(6%)/ 2 (11%)/1(6%)/0 | 39 (67%)/10 (17%)/ 5 (9%)/3(5%)/1 (2%) | |
| Smoker | 60 (79%) | 17 (94%) | 43 (74%) | 0.097 |
| Body mass index (kg/m2) | 24.3 (22.0–26.7) | 24.5 (22.0–26.3) | 24.0 (21.8–27.0) | 0.67 |
| mMRC scale | 1 (1–2) | 0 (0–0) | 1 (1–2) | <0.00010 * |
| GAP score (0 or 1/2 or 3/4 or 5/6 to 8) | 9 (12%)/38 (50%) /28 (37%)/1 (1%) | 3 (17%)/13 (72%) /2 (11%)/0 | 6 (10%)/25 (43%) /26 (45%)/1 (2%) | 0.030 * |
| HRCT pattern | ||||
| Definite UIP | 25 (33%) | 7 (39%) | 18 (31%) | 0.57 |
| Probable UIP | 17 (22%) | 5 (28%) | 12 (21%) | |
| Indeterminate for UIP | 21 (28%) | 3 (17%) | 18 (31%) | |
| Alternative diagnosis | 13 (17%) | 3 (17%) | 10 (17%) | |
| Pulmonary function | ||||
| FVC (%) | 81.5 (66.3–92.8) | 84.2 (79.1–99.4) | 78.8 (64.6–91.3) | 0.025 * |
| DLCO (%) | 61.3 (48.4–72.6) | 72.2 (63.4–84.8) | 58.2 (43.5–67.8) | 0.00070 * |
| Six-minutes walk test | ||||
| Lowest SpO2 (%) | 90.0 (85.0–92.5) | 92.0 (89.5–94.0) | 88.0 (84.3–92.0) | 0.0015 * |
| Less than 90% | 35 (48%) | 4 (24%) | 31 (55%) | 0.028 * |
| Decrease in SpO2 (%) | 6.0 (4.0–10.5) | 5.0 (2.5–6.5) | 7.0 (5.0–11.5) | 0.0068 * |
| More than 4% | 62 (82%) | 12 (71%) | 50 (89%) | 0.11 |
| Walk distance (m) | 375.0 (307.5–463.0) | 420.0 (399.5–508.5) | 359.0 (293.0–435.0) | 0.0068 * |
| Serum biomarker | ||||
| CRP (mg/dL) | 0.14 (0.070–0.43) | 0.11 (0.050–0.16) | 0.25 (0.073–0.48) | 0.030 * |
| KL-6 (IU/mL) | 782.0 (565.0–1233.0) | 584.5 (437.3–869.0) | 875.0 (601.5–1310.5) | 0.014 * |
| LDH (IU/L) | 210.0 (183.0–243.3) | 200.0 (172.0–227.5) | 218.5 (185.0–252.8) | 0.13 |
| Monocyte count (/uL) | 414.5 (330.7–530.2) | 370.9 (325.3–414.8) | 457.3 (329.8–556.2) | 0.054 |
| CAT | 14.0 (8.0–23.0) | 6.0 (3.0–13.0) | 17.0 (11.0–25.0) | 0.00020 * |
| More than 10 | 48 (63%) | 6 (40%) | 42 (82%) | 0.0025 * |
| Starting dose of nintedanib (mg/day) 200/300 | 7 (9%)/69 (91%) | 1 (6%)/17 (94%) | 6 (10%)/52 (90%) | 1 |
| Overall | Non-Dyspnea Group | Dyspnea Group | p Value | |
|---|---|---|---|---|
| Number | 76 | 18 (24%) | 58 (74%) | |
| Overall survival (days) | 861.0 (671.5–1488.5) | 1382.5 (822.8–1540.3) | 780.0 (604.0–1341.5) | 0.017 * |
| Mortality from any cause | 24 (32%) | 2 (11%) | 22 (38%) | 0.042 * |
| Mortality due to FILD | 17 (22%) | 0 | 17 (29%) | 0.0080 * |
| Annual disease progression | 34 (45%) | 3 (17%) | 31 (53%) | 0.0070 * |
| More than 10% decrease in FVC | 12 (16%) | 2 (11%) | 10 (17%) | 0.72 |
| More than 15% decrease in DLCO | 30 (41%) | 3 (17%) | 27 (48%) | 0.026 * |
| Developing acute exacerbation | 2 (3%) | 0 | 2 (3%) | 1 |
| ILD-specific mortality | 2 (3%) | 0 | 2 (3%) | 1 |
| Immunosuppressive therapy over 180 days | 12 (16%) | 1 (6%) | 11 (19%) | 0.27 |
| Change in Variables | OR | 95% CI | S.E. | p Value | |
|---|---|---|---|---|---|
| (A) | |||||
| Age (years) | 5.0 | 1.07 | 0.79–1.5 | 0.0308 | 0.68 |
| Male gender | 0.43 | 0.15–1.2 | 0.266 | 0.11 | |
| ILD subtype | |||||
| IPF | 1.8 | 0.36–9.4 | 0.258 | 0.25 | |
| Fibrotic HP | 1.7 | 0.36–9.4 | 0.401 | 0.49 | |
| UC-ILD | 0.41 | 0.084–1.6 | 0.361 | 0.22 | |
| CT-definite UIP pattern | 1.5 | 0.59–4.1 | 0.246 | 0.37 | |
| Smoker | 0.56 | 0.18–1.7 | 0.284 | 0.30 | |
| Body mass index (kg/m2) | 10.0 | 0.84 | 0.25–2.8 | 0.0616 | 0.78 |
| mMRC scale (0/1/2/3/4) | |||||
| 0 (without dyspnea) | 0.17 | 0.037–0.60 | 0.343 | 0.011 * | |
| <2 | 0.37 | 0.12–1.1 | 0.027 | 0.067 | |
| <3 | 0.36 | 0.071–1.5 | 0.375 | 0.17 | |
| GAP score | 1.0 | 1.1 | 0.82–1.6 | 0.175 | 0.43 |
| Pulmonary function | |||||
| FVC (%) | 10.0 | 0.82 | 0.62–1.1 | 0.0137 | 0.16 |
| DLCO (%) | 10.0 | 0.88 | 0.68–1.1 | 0.0127 | 0.32 |
| Six-minutes walk test | |||||
| Lowest SpO2 (%) | 1.0 | 0.90 | 0.82–0.98 | 0.0451 | 0.021 * |
| Decrease in SpO2 (%) | 1.0 | 1.1 | 1.0–1.3 | 0.0528 | 0.029 * |
| Walk distance (m) | 10.0 | 0.95 | 0.90–0.99 | 0.00241 | 0.032 * |
| Serum biomarker | |||||
| CRP (mg/dL) | 1.0 | 1.1 | 0.42–3.0 | 0.458 | 0.82 |
| KL-6 (IU/mL) | 100.0 | 1.008 | 0.95–1.1 | 0.000265 | 0.75 |
| LDH (IU/L) | 10.0 | 1.1 | 1.0–1.2 | 0.00508 | 0.055 |
| Monocyte count (/uL) | 10.0 | 1.02 | 0.99–1.05 | 0.00137 | 0.22 |
| CAT | 5.0 | 1.3 | 0.99–1.7 | 0.0268 | 0.065 |
| Immunosuppressant use | 0.57 | 0.14–2.0 | 0.331 | 0.39 | |
| (B) | |||||
| mMRC scale 0 (without dyspnea) | 0.17 | 0.045–0.67 | 0.343 | 0.011 * | |
| Age (years) | 5.0 | N.S. | |||
| Male gender | N.S. | ||||
| IPF | N.S. | ||||
| 6 min walk distance (m) | 10.0 | N.S. | |||
| Lowest SpO2 (%) | 1.0 | N.S. | |||
| Decrease in SpO2 (%) | 1.0 | N.S. | |||
| FVC (%) | 10.0 | N.S. | |||
| DLCO (%) | 10.0 | N.S. | |||
| (C) | |||||
| mMRC scale 0 (without dyspnea) | 0.14 | 0.022–0.83 | 0.463 | 0.031 * | |
| Age (years) | 5.0 | 0.90 | 0.61–1.3 | 0.0379 | 0.58 |
| Male gender | 0.64 | 0.15–2.7 | 0.367 | 0.54 | |
| IPF | 4.4 | 1.1–16.6 | 0.341 | 0.031 * | |
| 6 min walk distance (m) | 10.0 | 0.98 | 0.91–1.04 | 0.00330 | 0.45 |
| Lowest SpO2 (%) | 1.0 | 0.99 | 0.73–1.3 | 0.151 | 0.98 |
| Decrease in SpO2 (%) | 1.0 | 1.01 | 0.97–1.1 | 0.168 | 0.60 |
| FVC (%) | 10.0 | 0.81 | 0.56–1.1 | 0.0178 | 0.24 |
| DLCO (%) | 10.0 | 1.1 | 0.75–1.7 | 0.0203 | 0.56 |
| Overall | Non-Dyspnea Group | Dyspnea Group | p Value | |
|---|---|---|---|---|
| Number | 76 | 18 (24%) | 58 (74%) | |
| Discontinuation | ||||
| Overall period/all cause | 26 (34%) | 6 (33%) | 20 (34%) | 0.78 |
| Overall period/due to side effect | 20 (26%) | 4 (22%) | 16 (28%) | 0.77 |
| For 1 year/all cause | 10 (13%) | 1 (6%) | 9 (16%) | 0.44 |
| For 1 year/due to side effect | 10 (13%) | 1 (6%) | 9 (16%) | 0.44 |
| Interruption | 27 (36%) | 8 (44%) | 19 (33%) | 0.41 |
| Dose reduction | 52 (68%) | 15 (83%) | 37 (64%) | 0.15 |
| Cause of discontinuation | ||||
| Worsening ILD | 7 (9%) | 2 (11%) | 5 (9%) | |
| Diarrhea | 9 (12%) | 2 (11%) | 7 (12%) | |
| Liver toxicity | 3 (4%) | 1 (6%) | 2 (4%) | |
| Nausea | 3 (4%) | 1 (6%) | 2 (4%) | |
| Appetite loss | 1 (1%) | 0 | 1 (2%) | |
| Fatigue | 1 (1%) | 0 | 1 (2%) | |
| Worsening of PS | 1 (1%) | 0 | 1 (2%) | |
| Thrombocytopenia | 1 (1%) | 0 | 1 (2%) | |
| Proteinuria | 1 (1%) | 0 | 1 (2%) | |
| Developing PH | 1 (1%) | 0 | 1 (2%) | |
| Edema | 1 (1%) | 0 | 1 (2%) |
Disclaimer/Publisher’s Note: The statements, opinions and data contained in all publications are solely those of the individual author(s) and contributor(s) and not of MDPI and/or the editor(s). MDPI and/or the editor(s) disclaim responsibility for any injury to people or property resulting from any ideas, methods, instructions or products referred to in the content. |
© 2024 by the authors. Licensee MDPI, Basel, Switzerland. This article is an open access article distributed under the terms and conditions of the Creative Commons Attribution (CC BY) license (https://creativecommons.org/licenses/by/4.0/).
Share and Cite
Okamoto, M.; Yanagihara, T.; Fujimoto, K.; Chikasue, T.; Tabata, K.; Zaizen, Y.; Tominaga, M.; Sumi, A.; Nishii, Y.; Matsuo, N.; et al. Exercise-Induced Oxygen Desaturation and Outcomes After Nintedanib Therapy for Fibrosing Interstitial Lung Disease in Patients Without Dyspnea. J. Clin. Med. 2024, 13, 7865. https://doi.org/10.3390/jcm13247865
Okamoto M, Yanagihara T, Fujimoto K, Chikasue T, Tabata K, Zaizen Y, Tominaga M, Sumi A, Nishii Y, Matsuo N, et al. Exercise-Induced Oxygen Desaturation and Outcomes After Nintedanib Therapy for Fibrosing Interstitial Lung Disease in Patients Without Dyspnea. Journal of Clinical Medicine. 2024; 13(24):7865. https://doi.org/10.3390/jcm13247865
Chicago/Turabian StyleOkamoto, Masaki, Toyoshi Yanagihara, Kiminori Fujimoto, Tomonori Chikasue, Kazuhiro Tabata, Yoshiaki Zaizen, Masaki Tominaga, Akiko Sumi, Yuuya Nishii, Norikazu Matsuo, and et al. 2024. "Exercise-Induced Oxygen Desaturation and Outcomes After Nintedanib Therapy for Fibrosing Interstitial Lung Disease in Patients Without Dyspnea" Journal of Clinical Medicine 13, no. 24: 7865. https://doi.org/10.3390/jcm13247865
APA StyleOkamoto, M., Yanagihara, T., Fujimoto, K., Chikasue, T., Tabata, K., Zaizen, Y., Tominaga, M., Sumi, A., Nishii, Y., Matsuo, N., Nouno, T., Matsuura, S., Kawaguchi, A., & Hoshino, T. (2024). Exercise-Induced Oxygen Desaturation and Outcomes After Nintedanib Therapy for Fibrosing Interstitial Lung Disease in Patients Without Dyspnea. Journal of Clinical Medicine, 13(24), 7865. https://doi.org/10.3390/jcm13247865

