Accuracy of the Standard and Distal-to-Proximal Sequence of the Upper Limb Neurodynamic Test 1 for the Diagnosis of Carpal Tunnel Syndrome: The Role of Side-to-Side Comparisons
Abstract
1. Introduction
2. Materials and Methods
2.1. Study Design
2.2. Participants
2.3. Reference Test
2.4. Index Test
2.5. Definition of a Positive Index Test
2.5.1. Criterion 1—Symptom Reproduction
2.5.2. Criterion 2—Symptom Reproduction or Range of Motion Asymmetry
2.5.3. Criterion 3—Symptom Reproduction or Sensory Response Asymmetry
2.5.4. Criterion 4—Symptom Reproduction or Range of Motion Asymmetry or Sensory Response Asymmetry
2.6. Range of Motion Measurement
2.7. Data Collection
2.8. Statistical Analysis
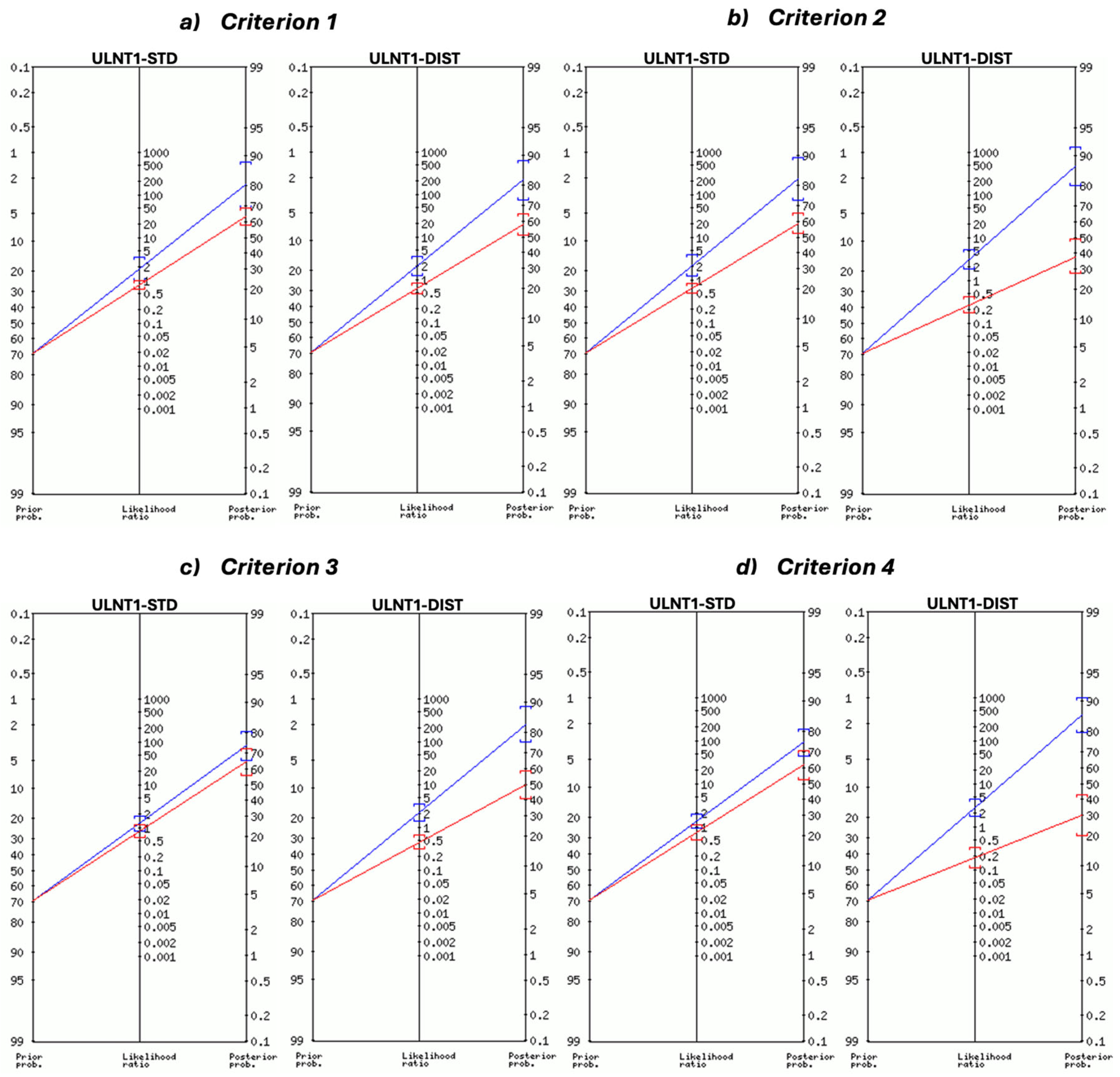
3. Results
3.1. Sample
3.2. Intra-Rater Reliability
3.3. Standard Sequence of the Upper Limb Neurodynamic Test 1
3.4. Distal-to-Proximal Sequence of the Upper Limb Neurodynamic Test 1
4. Discussion
Limitations
5. Conclusions
Author Contributions
Funding
Institutional Review Board Statement
Informed Consent Statement
Data Availability Statement
Conflicts of Interest
References
- Padua, L.; Coraci, D.; Erra, C.; Pazzaglia, C.; Paolasso, I.; Loreti, C.; Caliandro, P.; Hobson-Webb, L.D. Carpal Tunnel Syndrome: Clinical Features, Diagnosis, and Management. Lancet Neurol. 2016, 15, 1273–1284. [Google Scholar] [CrossRef] [PubMed]
- Atroshi, I.; Gummesson, C.; Johnsson, R.; Ornstein, E.; Ranstam, J.; Rosén, I. Prevalence of Carpal Tunnel Syndrome in a General Population. JAMA 1999, 282, 153–158. [Google Scholar] [CrossRef] [PubMed]
- Burton, C.L.; Chen, Y.; Chesterton, L.S.; Van Der Windt, D.A. Trends in the Prevalence, Incidence and Surgical Management of Carpal Tunnel Syndrome Between 1993 and 2013: An Observational Analysis of UK Primary Care Records. BMJ Open 2018, 8, e020166. [Google Scholar] [CrossRef] [PubMed]
- Keith, M.W.; Masear, V.; Chung, K.; Maupin, K.; Andary, M.; Amadio, P.C.; Barth, R.W.; Watters, W.C., III; Goldberg, M.J.; Haralson, R.H., III; et al. Diagnosis of Carpal Tunnel Syndrome. J. Am. Acad. Orthop. Suergeons 2007, 17, 389–396. [Google Scholar] [CrossRef]
- Jablecki, C.K.; Andary, M.T.; Floeter, M.K.; Miller, R.G.; Quartly, C.A.; Vennix, M.J.; Wilson, J.R.; Franklin, G.M.; Zahn, C.A.; Alter, M.; et al. Practice Parameter for Electrodiagnostic Studies in Carpal Tunnel Syndrome: Summary Statement. Muscle Nerve 2002, 25, 918–922. [Google Scholar]
- Pušnik, L.; Serša, I.; Umek, N.; Cvetko, E.; Snoj, Ž. Correlation between Diffusion Tensor Indices and Fascicular Morphometric Parameters of Peripheral Nerve. Front. Physiol. 2023, 14, 1070227. [Google Scholar] [CrossRef]
- Tai, T.W.; Wu, C.Y.; Su, F.C.; Chern, T.C.; Jou, I.M. Ultrasonography for Diagnosing Carpal Tunnel Syndrome: A Meta-Analysis of Diagnostic Test Accuracy. Ultrasound Med. Biol. 2012, 38, 1121–1128. [Google Scholar] [CrossRef]
- Roll, S.C.; Takata, S.C.; Yao, B.; Kysh, L.; Mack, W.J. Sonographic Reference Values for Median Nerve Cross-Sectional Area: A Meta-Analysis of Data From Healthy Individuals. J. Diagn. Med. Sonogr. 2023, 39, 492–506. [Google Scholar] [CrossRef]
- Stein, D.; Neufeld, A.; Pasternak, O.; Graif, M.; Patish, H.; Schwimmer, E.; Ziv, E.; Assaf, Y. Diffusion Tensor Imaging of the Median Nerve in Healthy and Carpal Tunnel Syndrome Subjects. J. Magn. Reson. Imaging 2009, 29, 657–662. [Google Scholar] [CrossRef]
- De Arenas-Arroyo, S.N.; Cavero-Redondo, I.; Torres-Costoso, A.; Reina-Gutiérrez, S.; José Guzmán-Pavón, M.; Martínez-Vizcaíno, V. Accuracy of the Most Common Provocation Tests for Diagnosing Carpal Tunnel Syndrome: A Systematic Review with Meta-Analysis. J. Orthop. Sports Phys. Ther. 2022, 52, 522–531. [Google Scholar] [CrossRef]
- Erickson, M.; Lawrence, M.; Jansen, C.W.S.; Coker, D.; Amadio, P.; Cleary, C. Hand Pain and Sensory Deficits: Carpal Tunnel Syndrome. J. Orthop. Sports Phys. Ther. 2019, 49, CPG1–CPG85. [Google Scholar] [CrossRef] [PubMed]
- Butler, D. Mobilisation of the Nervous System, 1st ed.; Churchill Livingstone: Edinburgh, UK, 1991. [Google Scholar]
- Wainner, R.; Fritz, J.M.; Irrgang, J.J.; Boninger, M.L.; Delitto, A.; Stephen Allison, C. Reliability and Diagnostic Accuracy of the Clinical Examination and Patient Self-Report Measures for Cervical Radiculopathy. Spine 2003, 28, 52–62. [Google Scholar] [CrossRef] [PubMed]
- Koulidis, K.; Veremis, Y.; Anderson, C.; Heneghan, N.R. Diagnostic Accuracy of Upper Limb Neurodynamic Tests for the Assessment of Peripheral Neuropathic Pain: A Systematic Review. Musculoskelet. Sci. Pract. 2019, 40, 21–33. [Google Scholar] [CrossRef] [PubMed]
- Hall, T.M.; Elvey, R.L. Nerve Trunk Pain: Physical Diagnosis and Treatment. Man. Ther. 1999, 4, 63–73. [Google Scholar] [CrossRef]
- Tawa, N.; Rhoda, A.; Diener, I. Accuracy of Clinical Neurological Examination in Diagnosing Lumbo-Sacral Radiculopathy: A Systematic Literature Review. BMC Musculoskelet. Disord. 2017, 18, 93. [Google Scholar] [CrossRef]
- Thoomes, E.J.; van Geest, S.; van der Windt, D.A.; Falla, D.; Verhagen, A.P.; Koes, B.W.; Thoomes-de Graaf, M.; Kuijper, B.; Scholten-Peeters, W.G.M.; Vleggeert-Lankamp, C.L. Value of Physical Tests in Diagnosing Cervical Radiculopathy: A Systematic Review. Spine J. 2018, 18, 179–189. [Google Scholar] [CrossRef]
- Shacklock, M. Clinical Neurodynamics: A New System of Musculoskeletal Treatment; Elsevier Butterworth-Heinemann: Edinburgh, UK, 2005. [Google Scholar]
- Elvey, R.L. Physical Evaluation of the Peripheral Nervous System in Disorders of Pain and Dysfunction. J. Hand Ther. 1997, 10, 122–129. [Google Scholar] [CrossRef]
- Bueno-Gracia, E.; Tricás-Moreno, J.M.; Fanlo-Mazas, P.; Malo-Urriés, M.; Haddad-Garay, M.; Estébanez-de-Miguel, E.; Hidalgo-García, C.; Krauss, J.R. Validity of the Upper Limb Neurodynamic Test 1 for the Diagnosis of Carpal Tunnel Syndrome. The Role of Structural Differentiation. Man. Ther. 2016, 22, 190–195. [Google Scholar] [CrossRef]
- Nee, R.J.; Jull, G.A.; Vicenzino, B.; Coppieters, M.W. The Validity of Upper-Limb Neurodynamic Tests for Detecting Peripheral Neuropathic Pain. J. Orthop. Sports Phys. Ther. 2012, 42, 413–424. [Google Scholar] [CrossRef]
- Schmid, A.B.; Brunner, F.; Luomajoki, H.; Held, U.; Bachmann, L.M.; Künzer, S.; Coppieters, M.W. Reliability of Clinical Tests to Evaluate Nerve Function and Mechanosensitivity of the Upper Limb Peripheral Nervous System. BMC Musculoskelet. Disord. 2009, 10, 11. [Google Scholar] [CrossRef]
- Wainner Robert, S. Diagnosis and Nonoperative Management of Cervical Radiculopathy. J. Orthop. Sports Phys. Ther. 2000, 2, 728–744. [Google Scholar] [CrossRef] [PubMed]
- Dilley, A.; Lynn, B.; See, J.P. Pressure and Stretch Mechanosensitivity of Peripheral Nerve Fibres Following Local Inflammation of the Nerve Trunk. Pain 2005, 117, 462–472. [Google Scholar] [CrossRef] [PubMed]
- Bove, G.M.; Ransil, B.J.; Lin, H.C.; Leem, J.G. Inflammation Induces Ectopic Mechanical Sensitivity in Axons of Nociceptors Innervating Deep Tissues. J. Neurophysiol. 2003, 90, 1949–1955. [Google Scholar] [CrossRef]
- Jaberzadeh, S.; Zoghi, M. Mechanosensitivity of the Median Nerve in Patients with Chronic Carpal Tunnel Syndrome. J. Bodyw. Mov. Ther. 2013, 17, 157–164. [Google Scholar] [CrossRef]
- Trillos, M.C.; Soto, F.; Briceno-Ayala, L. Upper Limb Neurodynamic Test 1 in Patients with Clinical Diagnosis of Carpal Tunnel Syndrome: A Diagnostic Accuracy Study. J. Hand Ther. 2018, 31, 333–338. [Google Scholar] [CrossRef]
- Vanti, C.; Bonfiglioli, R.; Calabrese, M.; Marinelli, F.; Violante, F.S.; Pillastrini, P. Relationship between Interpretation and Accuracy of the Upper Limb Neurodynamic Test 1 in Carpal Tunnel Syndrome. J. Manip. Physiol. Ther. 2012, 35, 54–63. [Google Scholar] [CrossRef]
- Vanti, C.; Bonfiglioli, R.; Calabrese, M.; Marinelli, F.; Guccione, A.; Violante, F.S.; Pillastrini, P. Upper Limb Neurodynamic Test 1 and Symptoms Reproduction in Carpal Tunnel Syndrome. A Validity Study. Man. Ther. 2011, 16, 258–263. [Google Scholar] [CrossRef]
- Wainner, R.S.; Fritz, J.M.; Irrgang, J.J.; Delitto, A.; Allison, S.; Boninger, M.L. Development of a Clinical Prediction Rule for the Diagnosis of Carpal Tunnel Syndrome. Arch. Phys. Med. Rehabil. 2005, 86, 609–618. [Google Scholar] [CrossRef]
- Herrington, L.; Bendix, K.; Cornwell, C.; Fielden, N.; Hankey, K. What Is the Normal Response to Structural Differentiation within the Slump and Straight Leg Raise Tests? Man. Ther. 2008, 13, 289–294. [Google Scholar] [CrossRef]
- Pesonen, J.; Shacklock, M.; Suomalainen, J.S.; Karttunen, L.; Mäki, J.; Airaksinen, O.; Rade, M. Extending the Straight Leg Raise Test for Improved Clinical Evaluation of Sciatica: Validity and Diagnostic Performance with Reference to the Magnetic Resonance Imaging. BMC Musculoskelet. Disord. 2021, 22, 808. [Google Scholar] [CrossRef]
- Pesonen, J.; Shacklock, M.; Rantanen, P.; Mäki, J.; Karttunen, L.; Kankaanpää, M.; Airaksinen, O.; Rade, M. Extending the Straight Leg Raise Test for Improved Clinical Evaluation of Sciatica: Reliability of Hip Internal Rotation or Ankle Dorsiflexion. BMC Musculoskelet. Disord. 2021, 22, 303. [Google Scholar] [CrossRef] [PubMed]
- Bueno-Gracia, E.; González-Rueda, V.; Pérez-Bellmunt, A.; Estébanez-de-Miguel, E.; López-de-Celis, C.; Shacklock, M.; Caudevilla-Polo, S. Differential Movement of the Median Nerve and Biceps Brachii at the Elbow in Human Cadavers. Clin. Biomech. 2021, 94, 105370. [Google Scholar] [CrossRef]
- Bueno-Gracia, E.; Pérez-Bellmunt, A.; Estébanez-de-Miguel, E.; López-de-Celis, C.; Caudevilla-Polo, S.; Shacklock, M.; González-Rueda, V. Effect of Cervical Contralateral Lateral Flexion on Displacement and Strain in the Median Nerve and Flexor Digitorum Superficialis at the Wrist during the ULNT1—Cadaveric Study. Musculoskelet. Sci. Pract. 2020, 50, 102244. [Google Scholar] [CrossRef] [PubMed]
- Bueno-Gracia, E.; Estébanez-de-Miguel, E.; López-de-Celis, C.; Shacklock, M.; Caudevilla-Polo, S.; González-Rueda, V.; Pérez-Bellmunt, A. Effect of Ankle Dorsiflexion on Displacement and Strain in the Tibial Nerve and Biceps Femoris Muscle at the Posterior Knee during the Straight Leg Raise: Investigation of Specificity of Nerve Movement. Clin. Biomech. 2020, 75, 105003. [Google Scholar] [CrossRef]
- Bueno-Gracia, E.; Pérez-Bellmunt, A.; Estébanez-de-Miguel, E.; López-de-Celis, C.; Shacklock, M.; Caudevilla-Polo, S.; González-Rueda, V. Differential Movement of the Sciatic Nerve and Hamstrings during the Straight Leg Raise with Ankle Dorsiflexion: Implications for Diagnosis of Neural Aspect to Hamstring Disorders. Musculoskelet. Sci. Pract. 2019, 43, 91–95. [Google Scholar] [CrossRef]
- Lohkamp, M.; Small, K. Normal Response to Upper Limb Neurodynamic Test 1 and 2A. Man. Ther. 2011, 16, 125–130. [Google Scholar] [CrossRef]
- Coppieters, M.W.; Alshami, A.M.; Babri, A.S.; Souvlis, T.; Kippers, V.; Hodges, P.W. Strain and Excursion of the Sciatic, Tibial and Plantar Nerves during a Modified Straight Leg Raising Test. J. Orthop. Res. 2006, 24, 1883–1889. [Google Scholar] [CrossRef]
- Coppieters, M.W.; Crooke, J.L.; Lawrenson, P.R.; Khoo, S.J.; Skulstad, T.; Bet-Or, Y. A Modified Straight Leg Raise Test to Differentiate between Sural Nerve Pathology and Achilles Tendinopathy. A Cross-Sectional Cadaver Study. Man. Ther. 2015, 20, 587–591. [Google Scholar] [CrossRef]
- Vanti, C.; Conteddu, L.; Guccione, A.; Morsillo, F.; Parazza, S.; Viti, C.; Pillastrini, P. The Upper Limb Neurodynamic Test 1: Intra- and Intertester Reliability and the Effect of Several Repetitions on Pain and Resistance. J. Manip. Physiol. Ther. 2010, 33, 292–299. [Google Scholar] [CrossRef]
- Boyd, B.S. Common Interlimb Asymmetries and Neurogenic Responses during Upper Limb Neurodynamic Testing: Implications for Test Interpretation. J. Hand Ther. 2012, 25, 56–64. [Google Scholar] [CrossRef]
- Sweeney, J.; Harms, A. Persistent Mechanical Allodynia Following Injury of the Hand: Treatment through Mobilization of the Nervous System. J. Hand Ther. 1996, 9, 328–338. [Google Scholar] [CrossRef] [PubMed]
- Coppieters, M.W.; Stappaerts, K.H.; Wouters, L.L.; Janssens, K. The Immediate Effects of a Cervical Lateral Glide Treatment Technique in Patients with Neurogenic Cervicobrachial Pain. J. Orthop. Sports Phys. Ther. 2003, 33, 369–378. [Google Scholar] [CrossRef] [PubMed]
- Sterling, M.; Jull, G.; Vincenzino, B. Kenardy Jull Characterization of Acute Whiplash-Associated Disorders. Spine 2004, 29, 182–188. [Google Scholar] [CrossRef] [PubMed]
- Sterling, M.; Treleaven, J.; Jull, G. Responses to a Clinical Test of Mechanical Provocation of Nerve Tissue in Whiplash Associated Disorder. Man. Ther. 2002, 7, 89–94. [Google Scholar] [CrossRef]
- Van der Heide, B.; Bourgoin, C.; Eils, G.; Garnevall, B.; Blackmore, M. Test-Retest Reliability and Face Validity of a Modified Neural Tissue Provocation Test in Patients with Cervicobrachial Pain. J. Man. Manip. Ther. 2006, 14, 30–36. [Google Scholar] [CrossRef]
- Boyd, B.S.; Topp, K.S.; Coppieters, M.W. Impact of Movement Sequencing on Sciatic and Tibial Nerve Strain and Excursion during the Straight Leg Raise Test in Embalmed Cadavers. J. Orthop. Sports Phys. Ther. 2013, 43, 398–403. [Google Scholar] [CrossRef]
- Shacklock, M. Improving Application of Neurodynamic (Neural Tension) Testing and Treatments: A Message to Researchers and Clinicians. Man. Ther. 2005, 10, 175–179. [Google Scholar] [CrossRef]
- Nee, R.J.; Yang, C.H.; Liang, C.C.; Tseng, G.F.; Coppieters, M.W. Impact of Order of Movement on Nerve Strain and Longitudinal Excursion:A Biomechanical Study with Implications for Neurodynamic Test Sequencing. Man. Ther. 2010, 15, 376–381. [Google Scholar] [CrossRef]
- Bueno-Gracia, E.; Fanlo-Mazas, P.; Malo-Urriés, M.; Rodriguez-Mena, D.; Montaner-Cuello, A.; Ciuffreda, G.; Shacklock, M.; Estébanez-de-Miguel, E. Diagnostic Accuracy of the Upper Limb Neurodynamic Test 1 Using Neurodynamic Sequencing in Diagnosis of Carpal Tunnel Syndrome. Musculoskelet. Sci. Pract. 2024, 69, 102897. [Google Scholar] [CrossRef]
- Ciuffreda, G.; Estébanez-de-Miguel, E.; Albarova-Corral, I.; Malo-Urriés, M.; Shacklock, M.; Montaner-Cuello, A.; Bueno-Gracia, E. Median nerve stiffness with three movement sequences of the upper limb neurodynamic test 1: An ultrasound shear-wave elastography study. Musculoskelet Sci Pract. 2024, 75, 103221. [Google Scholar] [CrossRef] [PubMed]
- Rugel, C.L.; Franz, C.K.; Lee, S.S.M. Influence of Limb Position on Assessment of Nerve Mechanical Properties by Using Shear Wave Ultrasound Elastography. Muscle Nerve 2020, 61, 616–622. [Google Scholar] [CrossRef] [PubMed]
- Greening, J.; Dilley, A. Posture-Induced Changes in Peripheral Nerve Stiffness Measured by Ultrasound Shear-Wave Elastography. Muscle Nerve 2017, 55, 213–222. [Google Scholar] [CrossRef] [PubMed]
- Ciuffreda, G.; Bueno-Gracia, E.; Albarova-Corral, I.; Montaner-Cuello, A.; Pérez-Rey, J.; Pardos-Aguilella, P.; Malo-Urriés, M.; Estébanez-de-Miguel, E. In Vivo Effects of Joint Movement on Nerve Mechanical Properties Assessed with Shear-Wave Elastography: A Systematic Review and Meta-Analysis. Diagnostics 2024, 14, 343. [Google Scholar] [CrossRef] [PubMed]
- Tsai, Y.-Y. Tension Change in the Ulnar Nerve by Different Order of Upper Limb Tension Test. Master’s Thesis, Northwestern University, Chicago, IL, USA, 1995. [Google Scholar]
- Boyd, B.S.; Gray, A.T.; Dilley, A.; Wanek, L.; Topp, K.S. The Pattern of Tibial Nerve Excursion with Active Ankle Dorsiflexion Is Different in Older People with Diabetes Mellitus. Clin. Biomech. 2012, 27, 967–971. [Google Scholar] [CrossRef]
- Cohen, J.F.; Korevaar, D.A.; Altman, D.G.; Bruns, D.E.; Gatsonis, C.A.; Hooft, L.; Irwig, L.; Levine, D.; Reitsma, J.B.; de Vet, H.C.W.; et al. STARD 2015 Guidelines for Reporting Diagnostic Accuracy Studies: Explanation and Elaboration. BMJ Open 2016, 6, e012799. [Google Scholar] [CrossRef]
- World Medical Association. World Medical Association Declaration of Helsinki: Ethical Principles for Medical Research Involving Human Subjects. JAMA J. Am. Med. Assoc. 2013, 310, 2191–2194. [Google Scholar] [CrossRef]
- Zivkovic, S.; Gruener, G.; Arnold, M.; Winter, C.; Nuckols, T.; Narayanaswami, P. Quality Measures in Electrodiagnosis: Carpal Tunnel Syndrome—An AANEM Quality Measure Set. Muscle Nerve 2020, 61, 460–465. [Google Scholar] [CrossRef]
- Werner, R.A.; Andary, M. Electrodiagnostic Evaluation of Carpal Tunnel Syndrome. Muscle Nerve 2011, 44, 597–607. [Google Scholar] [CrossRef]
- Chen, S.; Andary, M.; Buschbacher, R.; Del Toro, D.; Smith, B.; So, Y.; Zimmermann, K.; Dillingham, T.R. Electrodiagnostic Reference Values for Upper and Lower Limb Nerve Conduction Studies in Adult Populations. Muscle Nerve 2016, 54, 371–377. [Google Scholar] [CrossRef]
- Nee, R.J.; Butler, D. Management of Peripheral Neuropathic Pain: Integrating Neurobiology, Neurodynamics, and Clinical Evidence. Phys. Ther. Sport 2006, 7, 36–49. [Google Scholar] [CrossRef]
- Stalioraitis, V.; Robinson, K.; Hall, T. Side-to-Side Range of Movement Variability in Variants of the Median and Radial Neurodynamic Test Sequences in Asymptomatic People. Man. Ther. 2014, 19, 338–342. [Google Scholar] [CrossRef] [PubMed]
- Rothstein, J.M.; Miller, P.J.; Roettger, R.F. Goniometric Reliability in a Clinical Setting Elbow and Knee Measurements. Phys. Ther. 1983, 63, 1611–1615. [Google Scholar] [CrossRef] [PubMed]
- Martínez, M.D.A.; Cubas, C.L.; Girbés, E.L. Ulnar Nerve Neurodynamic Test: Study of the Normal Sensory Response in Asymptomatic Individuals. J. Orthop. Sports Phys. Ther. 2014, 44, 450–456. [Google Scholar] [CrossRef]
- Riddle, D.L.; Rothstein, J.M.; Lamb, R.L. Goniometric Reliability in a Clinical Setting Shoulder Measurements. Phys. Ther. 1987, 67, 668–673. [Google Scholar] [CrossRef]
- Koo, T.K.; Li, M.Y. A Guideline of Selecting and Reporting Intraclass Correlation Coefficients for Reliability Research. J. Chiropr. Med. 2016, 15, 155–163. [Google Scholar] [CrossRef]
- Altman, D.G.; Machin, D.; Bryant, T.N.; Gardner, M.J. Statistics with Confidence, 2nd ed.; BMJ Publishing Group: London, UK, 2000. [Google Scholar]
- Deeks, J.J.; Altman, D.G. Statistics Notes Diagnostic Tests 4: Likelihood Ratios. BMJ 2004, 329, 168–169. [Google Scholar] [CrossRef]
- Fagan, J. Terrence Letter: Nomogram for Bayes’s Theorem. N. Engl. J. Med. 1975, 293, 257. [Google Scholar]
- Bland, J.D.P. A Neurophysiological Grading Scale for Carpal Tunnel Syndrome. Muscle Nerve 2000, 23, 1280–1283. [Google Scholar] [CrossRef]
- Vernick, R.C.; Beckwitt, C.H.; Fowler, J.R. Subjective and Objective Differences in Patients with Unilateral and Bilateral Carpal Tunnel Syndrome and the Role of Obesity in Syndrome Severity. Plast. Reconstr. Surg. 2024, 153, 423–429. [Google Scholar] [CrossRef]
- Zorn, P.; Shacklock, M.; Trott, P.; Hall, R. The Effect of Sequencing the Movements of the Upper Limb Tension Test on the Area of Symptom Production. In Proceedings of the 9th Biennial Conference of the Manipulative Physiotherapists’ Association of Australia, Gold Coast, Australia, 22–25 November 1995; pp. 166–167. [Google Scholar]
- Shacklock, M. The Plantarflexion/Inversion Straight Leg Raise: A Normative Study and Investigation into the Effect of Passive Cervical Flexion and Altering Order of Component Movements on the Symptom Response. Ph.D. Thesis, University of South Australia, Adelaide, Australia, 1989. [Google Scholar]
- Topp, K.S.; Boyd, B.S. Structure and Biomechanics of Peripheral Nerves: Nerve Responses to Physical Stresses and Implications for Physical Therapist Practice Perspective. Phys. Ther. 2006, 86, 92–109. [Google Scholar] [CrossRef]
- Coppieters, M.W.; Alshami, A.M. Longitudinal Excursion and Strain in the Median Nerve during Novel Nerve Gliding Exercises for Carpal Tunnel Syndrome. J. Orthop. Res. 2007, 25, 972–980. [Google Scholar] [CrossRef] [PubMed]
- Coppieters, M.W.; Butler, D.S. Do “sliders” Slide and “Tensioners” Tension? An Analysis of Neurodynamic Techniques and Considerations Regarding Their Application. Man. Ther. 2008, 13, 213–221. [Google Scholar] [CrossRef] [PubMed]
- Bagatur, A.E.; Surgeon, O.; Zorer, G.; Surgery, O. The Carpal Tunnel Syndrome Is a Bilateral Disorder. J. Bone Jt. Surg. Br. Vol. 2001, 83, 655–658. [Google Scholar] [CrossRef]
- Dec, P.; Zyluk, A. Bilateral Carpal Tunnel Syndrome—A Review. Neurol. Neurochir. Pol. 2018, 52, 79–83. [Google Scholar] [CrossRef]
- Padua, L.; Padua, R.; Nazzaro, M.; Tonali, P. Incidence of Bilateral Symptoms in Carpal Tunnel Syndrome. J. Hand Surg. Am. 1998, 23, 603–606. [Google Scholar] [CrossRef]




| Total | n = 134 |
|---|---|
| Females | 77.6% |
| Age (Years) | 55.47 ± 13.49 |
| Hand dominance | 95.5% right |
| Height (m) | 1.63 ± 0.85 |
| Weight (kg) | 73.40 ± 17.08 |
| BMI | 27.53 ± 5.59 |
| Symptomatic side | 70.1% right |
| Symptom duration | |
| <1 month | 0 (0%) |
| 1–3 months | 7 (5%) |
| >3 months | 127 (95%) |
| Type of principal symptoms | |
| Numbness | 70.9% |
| Paresthesia | 64.9% |
| Pain | 37.3% |
| Electric shock | 5.2% |
| Muscle weakness | 3.7% |
| Night pain | 82.1% |
| CTS diagnosis | 69.4% |
| Positive CTS | Negative CTS | |||
|---|---|---|---|---|
| ULNT1-STD | ||||
| Total | ||||
| Criterion 1 | Positive | 37 | 9 | 46 |
| Negative | 56 | 32 | 88 | |
| Total | 93 | 41 | 134 | |
| Criterion 2 | Positive | 48 | 10 | 58 |
| Negative | 45 | 31 | 76 | |
| Total | 93 | 41 | 134 | |
| Criterion 3 | Positive | 51 | 18 | 69 |
| Negative | 42 | 23 | 65 | |
| Total | 93 | 41 | 134 | |
| Criterion 4 | Positive | 57 | 19 | 76 |
| Negative | 36 | 22 | 58 | |
| Total | 93 | 41 | 134 | |
| ULNT1-DIST | ||||
| Total | ||||
| Criterion 1 | Positive | 51 | 11 | 62 |
| Negative | 42 | 30 | 72 | |
| Total | 93 | 41 | 134 | |
| Criterion 2 | Positive | 75 | 11 | 86 |
| Negative | 18 | 30 | 48 | |
| Total | 93 | 41 | 134 | |
| Criterion 3 | Positive | 65 | 13 | 78 |
| Negative | 28 | 28 | 56 | |
| Total | 93 | 41 | 134 | |
| Criterion 4 | Positive | 81 | 13 | 94 |
| Negative | 12 | 28 | 40 | |
| Total | 93 | 41 | 134 | |
| Sensitivity | Specificity | PPV | NPV | +LR | −LR | PPPT | PPNT | |
|---|---|---|---|---|---|---|---|---|
| ULNT1-STD * | ||||||||
| 1—Symptom reproduction | 0.398 (0.299–0.505) | 0.780 (0.624–0.894) | 0.804 (0.687–0.885) | 0.364 (0.312–0.419) | 1.81 (0.97–3.40) | 0.77 (0.61–0.97) | 80% (69–89) | 64% (58–69) |
| 2—Symptoms OR ROM asymmetry | 0.516 (0.410–0.621) | 0.756 (0.597–0.876) | 0.828 (0.730–0.895) | 0.408 (0.344–0.475) | 2.12 (1.19–3.76) | 0.64 (0.49–0.84) | 83% (73–90) | 59% (53–66) |
| 3—Symptoms OR Response asymmetry | 0.548 (0.442–0.652) | 0.561 (0.397–0.715) | 0.739 (0.657–0.807) | 0.354 (0.278–0.438) | 1.25 (0.84–1.85) | 0.81 (0.57–1.14) | 74% (66–81) | 65% (56–72) |
| 4—Symptoms OR ROM OR Response asymmetry | 0.613 (0.506–0.712) | 0.537 (0.374–0.693) | 0.750 (0.675–0.812) | 0.379 (0.294–0.472) | 1.32 (0.92–1.91) | 0.72 (0.49–1.06) | 75% (68–81) | 62% (53–71) |
| ULNT1-DIST * | ||||||||
| 1—Symptom reproduction | 0.548 (0.442–0.652) | 0.732 (0.571–0.858) | 0.823 (0.730–0.888) | 0.417 (0.348–0.489) | 2.04 (1.19–3.50) | 0.62 (0.46–0.83) | 82% (73–89) | 58% (51–65) |
| 2—Symptoms OR ROM asymmetry | 0.806 (0.711–0.881) | 0.732 (0.571–0.858) | 0.872 (0.803–0.919) | 0.625 (0.514–0.724) | 3.01 (1.80–5.03) | 0.26 (0.17–0.42) | 87% (80–92) | 37% (28–49) |
| 3—Symptoms OR Response asymmetry | 0.699 (0.595–0.790) | 0.683 (0.519–0.819) | 0.833 (0.758–0.888) | 0.500 (0.408–0.592) | 2.20 (1.38–3.52) | 0.44 (0.30–0.64) | 83% (76–89) | 50% (40–59) |
| 4—Symptoms OR ROM OR Response asymmetry | 0.871 (0.785–0.931) | 0.683 (0.519–0.819) | 0.862 (0.798–0.908) | 0.700 (0.569–0.805) | 2.75 (1.74–4.33) | 0.19 (0.11–0.33) | 86% (80–91) | 30% (20–43) |
Disclaimer/Publisher’s Note: The statements, opinions and data contained in all publications are solely those of the individual author(s) and contributor(s) and not of MDPI and/or the editor(s). MDPI and/or the editor(s) disclaim responsibility for any injury to people or property resulting from any ideas, methods, instructions or products referred to in the content. |
© 2024 by the authors. Licensee MDPI, Basel, Switzerland. This article is an open access article distributed under the terms and conditions of the Creative Commons Attribution (CC BY) license (https://creativecommons.org/licenses/by/4.0/).
Share and Cite
Ciuffreda, G.; Bueno-Gracia, E.; Argüello-Espinosa, M.I.; Shacklock, M.; Navarrete-Navarro, S.; Vicente-Garza, I.; Rodríguez-Mena, D.; Estébanez-de-Miguel, E. Accuracy of the Standard and Distal-to-Proximal Sequence of the Upper Limb Neurodynamic Test 1 for the Diagnosis of Carpal Tunnel Syndrome: The Role of Side-to-Side Comparisons. J. Clin. Med. 2024, 13, 7122. https://doi.org/10.3390/jcm13237122
Ciuffreda G, Bueno-Gracia E, Argüello-Espinosa MI, Shacklock M, Navarrete-Navarro S, Vicente-Garza I, Rodríguez-Mena D, Estébanez-de-Miguel E. Accuracy of the Standard and Distal-to-Proximal Sequence of the Upper Limb Neurodynamic Test 1 for the Diagnosis of Carpal Tunnel Syndrome: The Role of Side-to-Side Comparisons. Journal of Clinical Medicine. 2024; 13(23):7122. https://doi.org/10.3390/jcm13237122
Chicago/Turabian StyleCiuffreda, Gianluca, Elena Bueno-Gracia, María Irache Argüello-Espinosa, Michael Shacklock, Sonia Navarrete-Navarro, Inés Vicente-Garza, Diego Rodríguez-Mena, and Elena Estébanez-de-Miguel. 2024. "Accuracy of the Standard and Distal-to-Proximal Sequence of the Upper Limb Neurodynamic Test 1 for the Diagnosis of Carpal Tunnel Syndrome: The Role of Side-to-Side Comparisons" Journal of Clinical Medicine 13, no. 23: 7122. https://doi.org/10.3390/jcm13237122
APA StyleCiuffreda, G., Bueno-Gracia, E., Argüello-Espinosa, M. I., Shacklock, M., Navarrete-Navarro, S., Vicente-Garza, I., Rodríguez-Mena, D., & Estébanez-de-Miguel, E. (2024). Accuracy of the Standard and Distal-to-Proximal Sequence of the Upper Limb Neurodynamic Test 1 for the Diagnosis of Carpal Tunnel Syndrome: The Role of Side-to-Side Comparisons. Journal of Clinical Medicine, 13(23), 7122. https://doi.org/10.3390/jcm13237122

