Validating the Definition of Lumbar Instability—A Cross-Sectional Study with 420 Healthy Volunteers
Abstract
1. Introduction
2. Materials and Methods
2.1. Study Design
2.2. Statistical Analysis
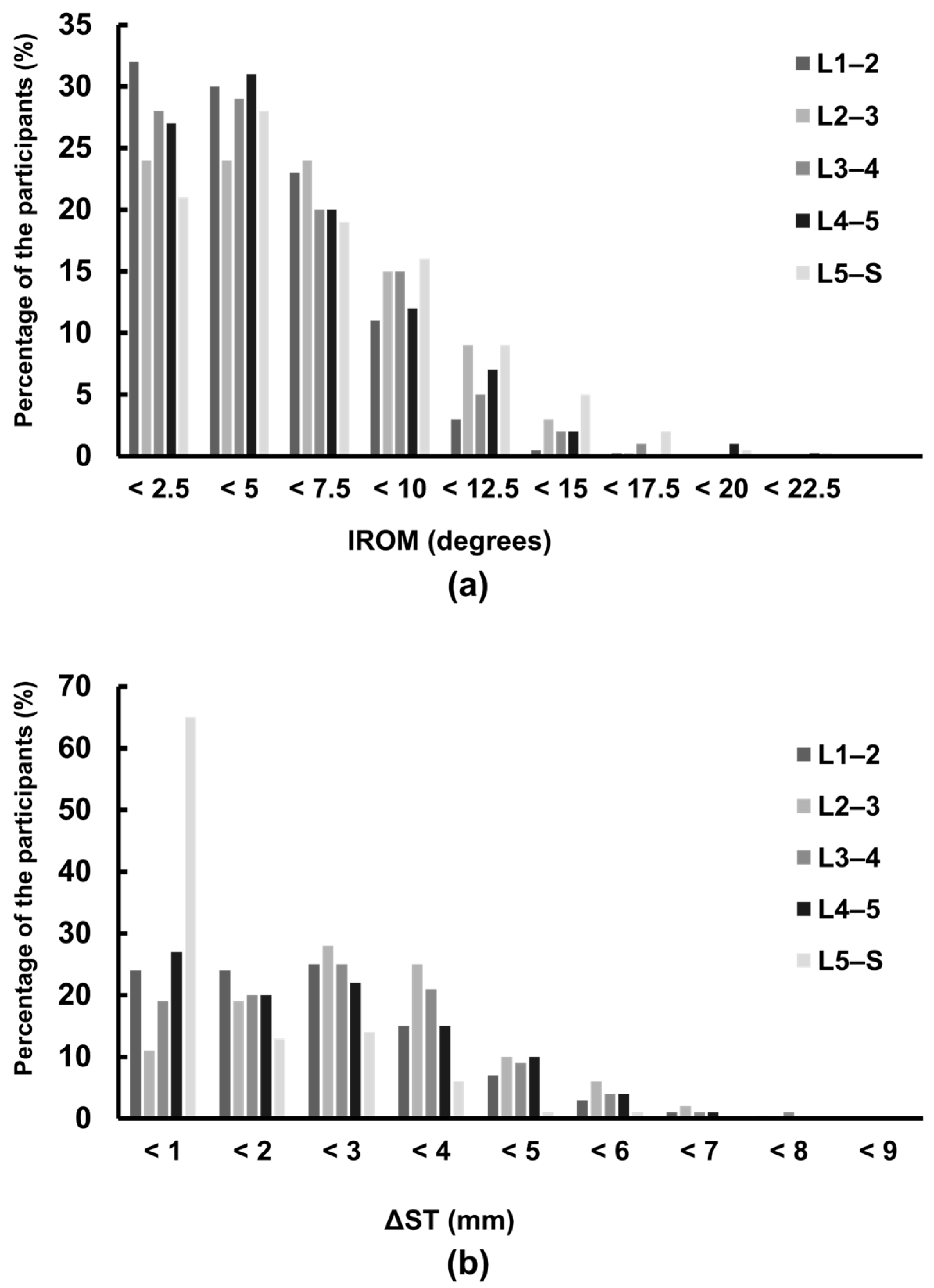
3. Results
4. Discussion
5. Conclusions
Supplementary Materials
Author Contributions
Funding
Institutional Review Board Statement
Informed Consent Statement
Data Availability Statement
Acknowledgments
Conflicts of Interest
References
- Cassidy, J.D.; Carroll, L.J.; Cote, P. The Saskatchewan health and back pain survey. The prevalence of low back pain and related disability in Saskatchewan adults. Spine 1998, 23, 1860–1867. [Google Scholar] [CrossRef] [PubMed]
- Hillman, M.; Wright, A.; Rajaratnam, G.; Tennant, A.; Chamberlain, M.A. Prevalence of low back pain in the community: Implications for service provision in Bradford, UK. J. Epidemiol. Community Health 1996, 50, 347–352. [Google Scholar] [CrossRef] [PubMed]
- Walsh, K.; Cruddas, M.; Coggon, D. Low back pain in eight areas of Britain. J. Epidemiol. Community Health 1992, 46, 227–230. [Google Scholar] [CrossRef] [PubMed]
- Fujii, T.; Matsudaira, K. Prevalence of low back pain and factors associated with chronic disabling back pain in Japan. Eur. Spine J. 2013, 22, 432–438. [Google Scholar] [CrossRef] [PubMed]
- Itoh, H.; Kitamura, F.; Yokoyama, K. Estimates of annual medical costs of work-related low back pain in Japan. Ind. Health 2013, 51, 524–529. [Google Scholar] [CrossRef] [PubMed]
- Deyo, R.A. Early diagnostic evaluation of low back pain. J. Gen. Intern. Med. 1986, 1, 328–338. [Google Scholar] [CrossRef] [PubMed]
- Frymoyer, J.W.; Selby, D.K. Segmental instability. Rationale for treatment. Spine 1985, 10, 280–286. [Google Scholar] [CrossRef] [PubMed]
- Dupuis, P.R.; Yong-Hing, K.; Cassidy, J.D.; Kirkaldy-Willis, W.H. Radiologic diagnosis of degenerative lumbar spinal instability. Spine 1985, 10, 262–276. [Google Scholar] [CrossRef] [PubMed]
- Morgan, F.P.; King, T. Primary instability of lumbar vertebrae as a common cause of low back pain. J. Bone Jt. Surg. Br. 1957, 39-B(1), 6–22. [Google Scholar] [CrossRef]
- Rampersaud, Y.R.; Fisher, C.; Yee, A.; Dvorak, M.F.; Finkelstein, J.; Wai, E.; Abraham, E.; Lewis, S.J.; Alexander, D.; Oxner, W. Health-related quality of life following decompression compared to decompression and fusion for degenerative lumbar spondylolisthesis: A Canadian multicentre study. Can. J. Surg. 2014, 57, E126–E133. [Google Scholar] [CrossRef]
- Sonntag, V.K.; Marciano, F.F. Is fusion indicated for lumbar spinal disorders? Spine 1995, 20, 138S–142S. [Google Scholar] [CrossRef] [PubMed]
- Yone, K.; Sakou, T. Usefulness of Posner’s definition of spinal instability for selection of surgical treatment for lumbar spinal stenosis. J. Spinal Disord. 1999, 12, 40–44. [Google Scholar] [CrossRef] [PubMed]
- Clayson, S.J.; Newman, I.M.; Debevec, D.F.; Anger, R.W.; Skowlund, H.V.; Kottke, F. Evaluation of mobility of hip and lumbar vertebrae of normal young women. Arch. Phys. Med. Rehabil. 1962, 43, 1–8. [Google Scholar] [PubMed]
- Pearcy, M.; Portek, I.; Shepherd, J. Three-dimensional x-ray analysis of normal movement in the lumbar spine. Spine 1984, 9, 294–297. [Google Scholar] [CrossRef] [PubMed]
- Hayes, M.A.; Howard, T.C.; Gruel, C.R.; Kopta, J.A. Roentgenographic evaluation of lumbar spine flexion-extension in asymptomatic individuals. Spine 1989, 14, 327–331. [Google Scholar] [CrossRef] [PubMed]
- Boden, S.D.; Wiesel, S.W. Lumbosacral segmental motion in normal individuals. Have we been measuring instability properly? Spine 1990, 15, 571–576. [Google Scholar] [CrossRef]
- Dvorak, J.; Panjabi, M.M.; Chang, D.G.; Theiler, R.; Grob, D. Functional radiographic diagnosis of the lumbar spine. Flexion-extension and lateral bending. Spine 1991, 16, 562–571. [Google Scholar] [CrossRef]
- Nachemson, A. The role of spine fusion: Question 8. Spine 1981, 6, 306–307. [Google Scholar] [CrossRef]
- White, A.A., 3rd; Panjabi, M.M. The problem of clinical instability in the human spine: A systematic approach. In Clinical Biomechanics of the Spine, 2nd ed.; White, A.A., III, Panjabi, M.M., Eds.; Lippincott-Raven Publishers: Philadelphia, PA, USA, 1990; pp. 277–378. ISBN 0-397-50720-8. [Google Scholar]
- von Elm, E.; Altman, D.G.; Egger, M.; Pocock, S.J.; Gotzsche, P.C.; Vandenbroucke, J.P. The Strengthening the Reporting of Observational Studies in Epidemiology (STROBE) statement: Guidelines for reporting observational studies. J. Clin. Epidemiol. 2008, 61, 344–349. [Google Scholar] [CrossRef]
- Fujiwara, A.; Kobayashi, N.; Saiki, K.; Kitagawa, T.; Tamai, K.; Saotome, K. Association of the Japanese Orthopaedic Association score with the Oswestry Disability Index, Roland-Morris Disability Questionnaire, and short-form 36. Spine 2003, 28, 1601–1607. [Google Scholar] [CrossRef]
- Fairbank, J.C.; Couper, J.; Davies, J.B.; O’Brien, J.P. The Oswestry low back pain disability questionnaire. Physiotherapy 1980, 66, 271–273. [Google Scholar] [CrossRef] [PubMed]
- Roland, M.; Morris, R. A study of the natural history of low-back pain. Part II: Development of guidelines for trials of treatment in primary care. Spine 1983, 8, 145–150. [Google Scholar] [CrossRef] [PubMed]
- Iguchi, T.; Kanemura, A.; Kasahara, K.; Sato, K.; Kurihara, A.; Yoshiya, S.; Nishida, K.; Miyamoto, H.; Doita, M. Lumbar instability and clinical symptoms: Which is the more critical factor for symptoms: Sagittal translation or segment angulation? J. Spinal Disord. Tech. 2004, 17, 284–290. [Google Scholar] [CrossRef] [PubMed]
- Landis, J.R.; Koch, G.G. The measurement of observer agreement for categorical data. Biometrics 1977, 33, 159–174. [Google Scholar] [CrossRef] [PubMed]
- Hanley, E.N., Jr. The indications for lumbar spinal fusion with and without instrumentation. Spine 1995, 20, 143S–153S. [Google Scholar] [CrossRef] [PubMed]
- Herkowitz, H.N. Spine update. Degenerative lumbar spondylolisthesis. Spine 1995, 20, 1084–1090. [Google Scholar] [CrossRef]
- Simmonds, A.M.; Rampersaud, Y.R.; Dvorak, M.F.; Dea, N.; Melnyk, A.D.; Fisher, C.G. Defining the inherent stability of degenerative spondylolisthesis: A systematic review. J. Neurosurg. Spine 2015, 23, 178–189. [Google Scholar] [CrossRef]
- William, S., III.; Orias, A.A.E.; Shifflett, G.D.; Lee, J.Y.B.; Siemionow, K.; Gandhi, S.; Fogg, L.; Samartzis, D.; Inoue, N.; An, H.S. Image-Based Markers Predict Dynamic Instability in Lumbar Degenerative Spondylolisthesis. Neurospine 2020, 17, 221–227. [Google Scholar] [CrossRef]
- Hey, H.W.; Lau, E.T.; Lim, J.L.; Choong, D.A.; Tan, C.S.; Liu, G.K.; Wong, H.K. Slump sitting X-ray of the lumbar spine is superior to the conventional flexion view in assessing lumbar spine instability. Spine J. 2017, 17, 360–368. [Google Scholar] [CrossRef] [PubMed]
- Shaffer, W.O.; Spratt, K.F.; Weinstein, J.; Lehmann, T.R.; Goel, V. 1990 Volvo Award in clinical sciences. The consistency and accuracy of roentgenograms for measuring sagittal translation in the lumbar vertebral motion segment. An experimental model. Spine 1990, 15, 741–750. [Google Scholar] [CrossRef]
- Frobin, W.; Brinckmann, P.; Leivseth, G.; Biggemann, M.; Reikeras, O. Precision measurement of segmental motion from flexion-extension radiographs of the lumbar spine. Clin. Biomech. 1996, 11, 457–465. [Google Scholar] [CrossRef] [PubMed]





| Number of Participants | 420 |
| Sex (M:F) | 249:171 |
| Age (years) | 55 (24–83) |
| Height (cm) | 167 (144–191) |
| BW (kg) | 66 (39–142) |
| BMI | 23.7 (16.4–41) |
| IROM | ΔST | |||||
|---|---|---|---|---|---|---|
| Mean | Standard Deviation | Standard Upper Limit [95% CI] | Mean | Standard Deviation | Standard Upper Limit [95% CI] | |
| L1–2 | 4.3 | 3.0 | 10.3 [9.8–10.8] | 2.2 | 1.6 | 5.4 [5.1–5.7] |
| L2–3 | 5.4 | 3.5 | 12.4 [11.8–13.0] | 2.7 | 1.4 | 5.5 [5.3–5.7] |
| L3–4 | 4.9 | 3.4 | 11.7 [11.1–12.3] | 2.4 | 1.5 | 5.4 [5.1–5.7] |
| L4–5 | 5.0 | 3.6 | 12.2 [11.6–12.8] | 2.2 | 1.6 | 5.4 [5.1–5.7] |
| L5–S | 5.9 | 4.0 | 13.9 [13.2–14.6] | 0.9 | 1.2 | 3.3 [3.1–3.5] |
| Intra-Rater Reliability | Inter-Rater Reliability | |
|---|---|---|
| Intervertebral disc angle | ||
| L1–2 flexion | 0.708 | 0.684 |
| extension | 0.648 | 0.512 |
| L2–3 flexion | 0.789 | 0.789 |
| extension | 0.672 | 0.602 |
| L3–4 flexion | 0.857 | 0.810 |
| extension | 0.665 | 0.486 |
| L4–5 flexion | 0.819 | 0.798 |
| extension | 0.768 | 0.731 |
| L5–S flexion | 0.630 | 0.518 |
| extension | 0.785 | 0.694 |
| Mean | 0.734 | 0.662 |
| Sagittal translation | ||
| L1–2 flexion | 0.604 | 0.443 |
| extension | 0.756 | 0.167 |
| L2–3 flexion | 0.775 | 0.561 |
| extension | 0.786 | 0.588 |
| L3–4 flexion | 0.858 | 0.515 |
| extension | 0.840 | 0.720 |
| L4–5 flexion | 0.854 | 0.663 |
| extension | 0.892 | 0.706 |
| L5–S flexion | 0.574 | 0.261 |
| extension | 0.564 | 0.502 |
| Mean | 0.750 | 0.513 |
| Authors | Number of Subjects | Sex | Age | Positioning during Dynamic View | IROM (Degrees: Mean) | ΔST (mm: Mean) | ||||||||
|---|---|---|---|---|---|---|---|---|---|---|---|---|---|---|
| L1–2 | L2–3 | L3–4 | L4–5 | L5–S | L1–2 | L2–3 | L3–4 | L4–5 | L5–S | |||||
| Clayson et al. (1962) [13] | 26 | F | College Students | Sitting, active flexion/ Standing, extension | 12.6 | 15.8 | 15.9 | 17.7 | 18.7 | NA | NA | NA | NA | NA |
| Pearcy et al. (1984) [14] | 11 | M | 25–36 | Standing, active flexion–extension | 13 | 14 | 13 | 16 | 14 | 4 | 3 | 3 | 3 | 2 |
| Hayes et al. (1989) [15] | 59 | M | 19–59 | Sitting, active flexion–extension | 7 | 9 | 10 | 13 | 14 | 1.9 | 2.4 | 2.5 | 3.0 | 1.3 |
| Boden et al. (1990) [16] | 40 | M | 19–43 | Standing, active flexion–extension | 8.2 | 7.7 | 7.7 | 9.4 | 9.4 | 1.4 | 1.3 | 1.2 | 1.2 | 1.0 |
| Dvorak et al. (1991) [17] | 41 | M/F | 22–50 | Standing, passive flexion–extension | 11.9 | 14.5 | 15.3 | 18.2 | 17 | 2.6 | 3.0 | 3.1 | 2.6 | 0.9 |
| This Study | 420 | M/F | 24–83 | Standing, active flexion–extension | 4.3 | 5.4 | 4.9 | 5.0 | 5.9 | 2.2 | 2.7 | 2.4 | 2.2 | 0.9 |
Disclaimer/Publisher’s Note: The statements, opinions and data contained in all publications are solely those of the individual author(s) and contributor(s) and not of MDPI and/or the editor(s). MDPI and/or the editor(s) disclaim responsibility for any injury to people or property resulting from any ideas, methods, instructions or products referred to in the content. |
© 2024 by the authors. Licensee MDPI, Basel, Switzerland. This article is an open access article distributed under the terms and conditions of the Creative Commons Attribution (CC BY) license (https://creativecommons.org/licenses/by/4.0/).
Share and Cite
Suzuki, M.; Tanaka, Y.; Hashimoto, K.; Tsubakino, T.; Hoshikawa, T.; Takahashi, K.; Latt, M.M.; Aizawa, T. Validating the Definition of Lumbar Instability—A Cross-Sectional Study with 420 Healthy Volunteers. J. Clin. Med. 2024, 13, 6116. https://doi.org/10.3390/jcm13206116
Suzuki M, Tanaka Y, Hashimoto K, Tsubakino T, Hoshikawa T, Takahashi K, Latt MM, Aizawa T. Validating the Definition of Lumbar Instability—A Cross-Sectional Study with 420 Healthy Volunteers. Journal of Clinical Medicine. 2024; 13(20):6116. https://doi.org/10.3390/jcm13206116
Chicago/Turabian StyleSuzuki, Manabu, Yasuhisa Tanaka, Ko Hashimoto, Takumi Tsubakino, Takeshi Hoshikawa, Kohei Takahashi, Myo Min Latt, and Toshimi Aizawa. 2024. "Validating the Definition of Lumbar Instability—A Cross-Sectional Study with 420 Healthy Volunteers" Journal of Clinical Medicine 13, no. 20: 6116. https://doi.org/10.3390/jcm13206116
APA StyleSuzuki, M., Tanaka, Y., Hashimoto, K., Tsubakino, T., Hoshikawa, T., Takahashi, K., Latt, M. M., & Aizawa, T. (2024). Validating the Definition of Lumbar Instability—A Cross-Sectional Study with 420 Healthy Volunteers. Journal of Clinical Medicine, 13(20), 6116. https://doi.org/10.3390/jcm13206116

