Long-Term Results and Quality of Life after Surgery for Acute Aortic Dissection Type A: Contemporary Single-Centre Experience
Abstract
1. Introduction
2. Materials and Methods
2.1. Patients
2.2. Endpoints
2.3. Operative Procedure
2.4. Statistical Analysis
3. Results
3.1. Demographics
3.2. Operative Details
3.3. 30-Day Mortality
3.4. Mortality at Follow-Up
3.5. Reintervention
3.6. Quality of Life
4. Discussion
5. Conclusions
6. Limitations
Author Contributions
Funding
Institutional Review Board Statement
Informed Consent Statement
Data Availability Statement
Acknowledgments
Conflicts of Interest
References
- Czerny, M.; Grabenwöger, M.; Berger, T.; Aboyans, V.; Della Corte, A.; Chen, E.P.; Desai, N.D.; Dumfarth, J.; Elefteriades, J.A.; Etz, C.D.; et al. EACTS/STS Guidelines for diagnosing and treating acute and chronic syndromes of the aortic organ. Eur. J. Cardiothorac. Surg. 2024, 65, ezad426. [Google Scholar] [PubMed]
- Teurneau-Hermansson, K.; Ede, J.; Larsson, M.; Linton, G.; von Rosen, D.; Sjögren, J.; Wierup, P.; Nozohoor, S.; Zindovic, I. Mortality after non-surgically treated acute type A aortic dissection is higher than previously reported. Eur. J. Cardiothorac. Surg. 2024, 65, ezae039. [Google Scholar] [CrossRef] [PubMed]
- Hagan, P.G.; Nienaber, C.A.; Isselbacher, E.M.; Bruckman, D.; Karavite, D.J.; Russman, P.L.; Evangelista, A.; Fattori, R.; Suzuki, T.; Oh, J.K.; et al. The International Registry of Acute Aortic Dissection (IRAD): New insights into an old disease. JAMA 2000, 283, 897–903. [Google Scholar] [CrossRef]
- Pape, L.A.; Awais, M.; Woznicki, E.M.; Suzuki, T.; Trimarchi, S.; Evangelista, A.; Myrmel, T.; Larsen, M.; Harris, K.M.; Greason, K.; et al. Presentation, Diagnosis, and Outcomes of Acute Aortic Dissection: 17-Year Trends From the International Registry of Acute Aortic Dissection. J. Am. Coll. Cardiol. 2015, 66, 350–358. [Google Scholar] [CrossRef] [PubMed]
- Evangelista Masip, A.; López-Sainz, Á.; Barros Membrilla, A.J.; Calvo Iglesias, F.; López Ayerbe, J.; Azqueta Molluna, M.; Mosquera Rodríguez, V.X.; Arregui Montoya, F.; Tarrío Fernández, R.; Revilla Orodea, A.; et al. Spanish Registry of Acute Aortic Syndrome (RESA). Changes in therapeutic management and lower mortality in acute aortic syndrome. Rev. Esp. Cardiol. (Engl. Ed.) 2022, 75, 816–824. [Google Scholar] [CrossRef] [PubMed]
- Zhao, R.; Qiu, J.; Dai, L.; Song, J.; Fan, S.; Cao, F.; Qiu, J.; Xu, Z.; Fan, R.; Guo, Y.; et al. Current Surgical Management of Acute Type A Aortic Dissection in China: A Multicenter Registry Study. JACC Asia 2022, 2, 869–878. [Google Scholar] [CrossRef]
- Pollari, F.; Nardi, P.; Mikus, E.; Ferraro, F.; Gemelli, M.; Franzese, I.; Chirichilli, I.; Romagnoni, C.; Santarpino, G.; Nicolardi, S.; et al. Comparison of 4 mortality scores for surgical repair of type A aortic dissection: A multicentre external validation. Eur. J. Cardiothorac. Surg. 2024, 65, ezae005. [Google Scholar] [CrossRef]
- Catalano, M.A.; Mamdouhi, T.; Pupovac, S.; Kennedy, K.F.; Brinster, D.R.; Hartman, A.; Yu, P.J. Age, sex, and contemporary outcomes in surgical repair of type A aortic dissection: Insights from the National Inpatient Sample. JTCVS Open 2022, 11, 23–36. [Google Scholar] [CrossRef]
- Matei, D.C.; Antohi, E.L.; Radu, R.I.; Ciobanu, C.G.; Geavlete, O.D.; Filipescu, D.; Bubenek, Ș.; Moldovan, H.; Iliescu, V.A.; Chioncel, O.D. Predictors of In-Hospital Mortality in Type A Acute Aortic Syndrome: Data From the RENADA-RO Registry. Heart Lung Circ. 2024, 33, 1348–1356. [Google Scholar] [CrossRef]
- Biancari, F.; Juvonen, T.; Fiore, A.; Perrotti, A.; Hervé, A.; Touma, J.; Pettinari, M.; Peterss, S.; Buech, J.; Dell’Aquila, A.M.; et al. Current Outcome after Surgery for Type A Aortic Dissection. Ann. Surg. 2023, 278, e885–e892. [Google Scholar] [CrossRef]
- Abe, T.; Yamamoto, H.; Miyata, H.; Motomura, N.; Tokuda, Y.; Tanemoto, K.; Usui, A.; Takamoto, S. Patient trends and outcomes of surgery for type A acute aortic dissection in Japan: An analysis of more than 10,000 patients from the Japan Cardiovascular Surgery Database. Eur. J. Cardiothorac. Surg. 2020, 57, 660–667. [Google Scholar] [CrossRef] [PubMed]
- Tsagakis, K.; Pacini, D.; Grabenwöger, M.; Borger, M.A.; Goebel, N.; Hemmer, W.; Laranjeira Santos, A.; Sioris, T.; Widenka, K.; Risteski, P.; et al. Results of frozen elephant trunk from the international E-vita Open registry. Ann. Cardiothorac. Surg. 2020, 9, 178–188. [Google Scholar] [CrossRef]
- Shrestha, M.; Fleissner, F.; Ius, F.; Koigeldiyev, N.; Kaufeld, T.; Beckmann, E.; Martens, A.; Haverich, A. Total aortic arch replacement with frozen elephant trunk in acute type A aortic dissections: Are we pushing the limits too far? Eur. J. Cardiothorac. Surg. 2015, 47, 361–366, discussion 366. [Google Scholar] [CrossRef] [PubMed]
- Roselli, E.E.; Kramer, B.; Germano, E.; Toth, A.; Vargo, P.R.; Bakaeen, F.; Menon, V.; Blackstone, E.H.; Collaborators from Cleveland Clinic Aorta Center. The modified frozen elephant trunk may outperform limited and extended-classic repair in acute type I dissection. Eur. J. Cardiothorac. Surg. 2023, 63, ezad122. [Google Scholar] [CrossRef] [PubMed]
- Chou, A.H.; Hsieh, M.L.; Lin, Y.S.; Chen, D.Y.; Chu, P.H.; Chen, S.W. Long-term outcome of acute type A aortic dissection repair in chronic kidney disease patients. Medicine (Baltimore) 2023, 102, e33762. [Google Scholar] [CrossRef]
- Bekkers, J.A.; Raap, G.B.; Takkenberg, J.J.; Bogers, A.J. Acute type A aortic dissection: Long-term results and reoperations. Eur. J. Cardiothorac. Surg. 2013, 43, 389–396. [Google Scholar] [CrossRef] [PubMed]
- Endlich, M.; Hamiko, M.; Gestrich, C.; Probst, C.; Mellert, F.; Winkler, K.; Welz, A.; Schiller, W. Long-Term Outcome and Quality of Life in Aortic Type A Dissection Survivors. Thorac. Cardiovasc. Surg. 2016, 64, 91–99. [Google Scholar]
- Perrotti, A.; Ecarnot, F.; Monaco, F.; Dorigo, E.; Monteleone, P.; Besch, G.; Chocron, S. Quality of life 10 years after cardiac surgery in adults: A long-term follow-up study. Health Qual Life Outcomes 2019, 17, 88. [Google Scholar] [CrossRef]
- Ellert, U.; Kurth, B.M. Health related quality of life in adults in Germany: Results of the German Health Interview and Examination Survey for Adults (DEGS1). Bundesgesundheitsblatt Gesundh. Gesundh. 2013, 56, 643–649. [Google Scholar] [CrossRef]
- Smedberg, C.; Steuer, J.; Leander, K.; Hultgren, R. Sex differences and temporal trends in aortic dissection: A population-based study of incidence, treatment strategies, and outcome in Swedish patients during 15 years. Eur. Heart J. 2020, 41, 2430–2438. [Google Scholar] [CrossRef]
- Pacini, D.; Di Marco, L.; Fortuna, D.; Belotti, L.M.; Gabbieri, D.; Zussa, C.; Pigini, F.; Contini, A.; Barattoni, M.C.; De Palma, R.; et al. Acute aortic dissection: Epidemiology and outcomes. Int. J. Cardiol. 2013, 167, 2806–2812. [Google Scholar] [CrossRef] [PubMed]
- Yamaguchi, T.; Nakai, M.; Yano, T.; Matsuyama, M.; Yoshino, H.; Miyamoto, Y.; Sumita, Y.; Matsuda, H.; Inoue, Y.; Okita, Y.; et al. Population-based incidence and outcomes of acute aortic dissection in Japan. Eur. Heart J. Acute Cardiovasc. Care 2021, 10, 701–709. [Google Scholar] [CrossRef] [PubMed]
- Eranki, A.; Merakis, M.; Williams, M.L.; Flynn, C.D.; Villanueva, C.; Wilson-Smith, A.; Lee, Y.; Mejia, R. Outcomes of surgery for acute type A dissection in octogenarians versus non-octogenarians: A systematic review and meta analysis. J. Cardiothorac. Surg. 2022, 17, 222. [Google Scholar] [CrossRef]
- Vaja, R.; Talukder, S.; Norkunas, M.; Hoffman, R.; Nienaber, C.; Pepper, J.; Rosendahl, U.; Asimakopoulos, G.; Quarto, C. Impact of a streamlined rotational system for the management of acute aortic syndrome: Sharing is caring. Eur. J. Cardiothorac. Surg. 2019, 55, 984–989. [Google Scholar] [CrossRef] [PubMed]
- Berezowski, M.; Kalva, S.; Bavaria, J.E.; Zhao, Y.; Patrick, W.L.; Kelly, J.J.; Szeto, W.Y.; Grimm, J.C.; Desai, N.D. Validation of the GERAADA score to predict 30-day mortality in acute type A aortic dissection in a single high-volume aortic centre. Eur. J. Cardiothorac. Surg. 2024, 65, ezad412. [Google Scholar] [CrossRef]
- Ma, M.; Cao, H.; Li, K.; Pan, J.; Zhou, Q.; Tang, X.; Qin, X.; Zhu, F.; Wang, D. Evaluation of Two Online Risk Prediction Models for the Mortality Rate of Acute Type A Aortic Dissection Surgery: The German Registry of Acute Aortic Dissection Type A Score and the European System for Cardiac Operative Risk Evaluation II. J. Clin. Med. 2023, 12, 4728. [Google Scholar] [CrossRef]
- Khan, H.; Hussain, A.; Chaubey, S.; Sameh, M.; Salter, I.; Deshpande, R.; Baghai, M.; Wendler, O. Acute aortic dissection type A: Impact of aortic specialists on short and long term outcomes. J. Card. Surg. 2021, 36, 952–958. [Google Scholar] [CrossRef]
- Chikwe, J.; Cavallaro, P.; Itagaki, S.; Seigerman, M.; Diluozzo, G.; Adams, D.H. National outcomes in acute aortic dissection: Influence of surgeon and institutional volume on operative mortality. Ann. Thorac. Surg. 2013, 95, 1563–1569. [Google Scholar] [CrossRef]
- Kawczynski, M.J.; van Kuijk, S.M.J.; Olsthoorn, J.R.; Maessen, J.G.; Kats, S.; Bidar, E.; Heuts, S. Type A aortic dissection: Optimal annual case volume for surgery. Eur. Heart J. 2023, 44, 4357–4372. [Google Scholar] [CrossRef]
- Brown, J.A.; Aranda-Michel, E.; Navid, F.; Serna-Gallegos, D.; Thoma, F.; Sultan, I. Outcomes of emergency surgery for acute type A aortic dissection complicated by malperfusion syndrome. J. Thorac. Cardiovasc. Surg. 2024, 167, 882–892.e2. [Google Scholar] [CrossRef]
- Manoly, I.; Uzzaman, M.; Karangelis, D.; Kuduvalli, M.; Georgakarakos, E.; Quarto, C.; Ravishankar, R.; Mitropoulos, F.; Nasir, A. Neuroprotective strategies with circulatory arrest in open aortic surgery—A meta-analysis. Asian Cardiovasc. Thorac. Ann. 2022, 30, 635–644. [Google Scholar] [CrossRef] [PubMed]
- Berger, T.; Kreibich, M.; Czerny, M. Acute type A aortic dissection: Stay and play or load and run? Eur. Heart J. 2023, 44, 4373–4375. [Google Scholar] [CrossRef] [PubMed]
- Poullis, M. Validation of the GERAADA score to predict 30-day mortality in acute type A aortic dissection in a single high-volume aortic centre. Eur. J. Cardiothorac. Surg. 2024, 66, ezae244. [Google Scholar] [CrossRef] [PubMed]
- Böning, A.; Kretzer, J.A.; Arif, R.; Etz, C.D.; Pöling, J.; Rylski, B.; Czerny, M.; Brickwedel, J.; Peterss, S.; Holubec, T.; et al. Risk factors for long-term mortality after acute aortic dissection-results of the German registry for acute aortic dissection type a long-term follow-up. Eur. J. Cardiothorac. Surg. 2024, 65, ezae116. [Google Scholar] [CrossRef] [PubMed]
- Eranki, A.; Wilson-Smith, A.; Williams, M.L.; Saxena, A.; Mejia, R. Quality of life following surgical repair of acute type A aortic dissection: A systematic review. J. Cardiothorac. Surg. 2022, 17, 118. [Google Scholar] [CrossRef]
- Chaddha, A.; Kline-Rogers, E.; Braverman, A.C.; Erickson, S.R.; Jackson, E.A.; Franklin, B.A.; Woznicki, E.M.; Jabara, J.T.; Montgomery, D.G.; Eagle, K.A. Survivors of Aortic Dissection: Activity, Mental Health, and Sexual Function. Clin. Cardiol. 2015, 38, 652–659. [Google Scholar] [CrossRef]
- Liebrich, M.; Charitos, E.I.; Schlereth, S.; Meißner, H.; Trabold, T.; Geisbüsch, P.; Hemmer, W.; Seeburger, J.; Voth, V. The zone 2 concept and distal stent graft positioning in TH 2-3 are associated with high rates of secondary aortic interventions in frozen elephant trunk surgery. Eur. J. Cardiothorac. Surg. 2021, 60, 343–351. [Google Scholar] [CrossRef]
- Porto, A.; Omnes, V.; Bartoli, M.A.; Azogui, R.; Resseguier, N.; De Masi, M.; Bal, L.; Imbert, L.; Jaussaud, N.; Morera, P.; et al. Reintervention of Residual Aortic Dissection after Type A Aortic Repair: Results of a Prospective Follow-Up at 5 Years. J. Clin. Med. 2023, 12, 2363. [Google Scholar] [CrossRef]
- Kreibich, M.; Berger, T.; Rylski, B.; Chen, Z.; Beyersdorf, F.; Siepe, M.; Czerny, M. Aortic reinterventions after the frozen elephant trunk procedure. J. Thorac. Cardiovasc. Surg. 2020, 159, 392–399.e1. [Google Scholar] [CrossRef]




| Variable | All Patients (n = 413) | Early Group (n = 131) | Late Group (n = 282) | p-Value |
|---|---|---|---|---|
| Age (years), median [IQR] | 64 [21] | 63 [22] | 65 [20] | 0.19 |
| Male sex, % (n) | 65.9 (272) | 66.4 (87) | 65.6 (185) | 0.87 |
| BMI (kg/m2), median [IQR] | 26.0 [5] | 26.5 [5] | 26.0 [5] | 0.34 |
| DeBakey type I, % (n) | 73.2 (300) | 84.4 (108) | 68.1 (192) | 0.01 |
| Svensson classification, % (n) | 0.01 | |||
| - class I | 78.8 (316) | 72.5 (87) | 81.5 (229) | |
| - class II | 12.2 (49) | 22.5 (27) | 7.8 (22) | |
| - class III | 1.5 (6) | 0.8 (1) | 1.8 (5) | |
| - class IV | 3.7 (15) | 1.7 (2) | 4.6 (13) | |
| - class V | 3.7 (15) | 2.5 (3) | 4.3 (12) | |
| Cystic medial degeneration, % (n) | 15.3 (63) | 19.1 (25) | 13.5 (38) | 0.07 |
| Preop. atrial fibrillation, % (n) | 7.7 (30) | 5.2 (6) | 8.7 (24) | 0.54 |
| Preop. arterial hypertension, % (n) | 88.0 (345) | 82.3 (93) | 90.3 (252) | 0.04 |
| Preop. diabetes, % (n) | 8.1 (31) | 11.9 (13) | 6.6 (18) | 0.10 |
| Preop. COPD, % (n) | 8.4 (33) | 5.1 (6) | 9.7 (27) | 0.11 |
| Re-operation, % (n) | 5.7 (23) | 3.2 (4) | 6.7 (19) | 0.29 |
| Preop. CPR, % (n) | 7.3 (29) | 7.7 (9) | 7.1 (20) | 0.84 |
| Preop. CS, % (n) | 22.9 (91) | 25.9 (30) | 21.6 (61) | 0.36 |
| Preop. ventilation, % (n) | 15.7 (63) | 16.7 (20) | 15.2 (43) | 0.76 |
| Preop. neurologic deficit, % (n) | 27.2 (105) | 30.1 (34) | 26.0 (71) | 0.42 |
| Preop. malperfusion, % (n) | 30.4 (118) | 35.5 (39) | 28.4 (79) | 0.18 |
| Log. ES (%), median [IQR] | 36.3 [35.3] | 24.9 [32.8] | 38.0 [34.2] | < 0.0001 |
| Variable | All Patients (n = 413) | Early Group (n = 131) | Late Group (n = 282) | p-Value |
|---|---|---|---|---|
| Skin-to-skin time (min), median [IQR] | 305 [110] | 315 [121] | 299 [98] | 0.04 |
| CPB time (min), median [IQR] | 193 [78] | 185 [89] | 197 [73] | 0.12 |
| Crossclamp time (min), median [IQR] | 130 [57] | 125 [58] | 132 [57] | 0.61 |
| Circulatory arrest time (min), median [IQR] | 35 [35] | 25 [31] | 35 [40] | <0.0001 |
| Graftdiameter (mm), median [IQR] | 28 [3] | 28 [4] | 28 [2] | 0.26 |
| Arterial cannulation site, % (n) | <0.001 | |||
| - femoral | 29.6 (120) | 68.5 (85) | 12.4 (35) | |
| - axillary | 61.3 (239) | 27.4 (34) | 76.2 (215) | |
| - aortic | 9.1 (37) | 4.0 (5) | 11.3 (32) | |
| Temperature, % (n) | <0.001 | |||
| - deep hypothermia (<28 °C) | 15.4 (63) | 42.0 (55) | 2.9 (8) | |
| - moderate hypothermia (>28 °C) | 84.7 (347) | 57.3 (75) | 96.1 (268) | |
| Antegrade cerebral perfusion, % (n) | 82.8 (331) | 67.2 (80) | 89.3 (251) | <0.001 |
| Aortic root procedure, % (n) | <0.001 | |||
| - mechanical conduit | 14.3 (59) | 34.4 (45) | 5.0 (14) | |
| - biological conduit | 29.1 (129) | 25.2 (33) | 30.9 (87) | |
| - valve-sparing (David) | 23.0 (95) | 13.7 (18) | 27.3 (77) | |
| Aortic arch procedure, % (n) | <0.001 | |||
| - hemiarch replacement | 28.6 (118) | 19.8 (26) | 32.6 (92) | |
| - total arch replacement | 34.6 (143) | 26.7 (35) | 38.3 (108) | |
| - frozen elephant trunk | 20.1 (83) | 7.6 (10) | 25.9 (73) |
| Variable | Univariate HR [95%-CI] | p-Value | Multivariate HR [95%-CI] | p-Value |
|---|---|---|---|---|
| BMI | 1.07 [1.03;1.11] | 0.001 | 1.06 [1.01;1.11] | 0.029 |
| Preop. CPR | 4.01 [2.29;7.04] | <0.001 | 7.47 [2.65;21.03] | <0.001 |
| Preop. cardiogenic shock | 2.69 [1.72;4.20] | <0.001 | ||
| Preop. malperfusion | 2.64 [1.66;4.17] | <0.001 | ||
| Preop. neurologic deficit | 2.39 [1.43;4.00] | 0.001 | ||
| Mild hypothermic circulatory arrest | 0.57 [0.34;0.96] | 0.036 | ||
| Hemiarch | 0.50 [0.26;0.95] | 0.035 | ||
| Coronary artery bypass grafting | 3.59 [2.05;6.30] | <0.001 | ||
| Low cardiac output syndrome | 7.52 [4.77;11.85] | <0.001 | 9.16 [4.70;17.88] | <0.001 |
| Postop. neurological deficit | 2.69 [1.55;4.68] | <0.001 | 4.23 [1.93;9.27] | <0.001 |
| Variable | Univariate HR [95%-CI] | p-Value | Multivariate HR [95%-CI] | p-Value |
|---|---|---|---|---|
| Age | 1.06 [1.04;1.08] | <0.001 | 1.06 [1.04;1.08] | < 0.001 |
| Diabetes | 2.72 [1.25;5.89] | 0.011 | ||
| Chronic obstructive pulmonary disease | 2.15 [1.03;4.46] | 0.040 | ||
| Valve-sparing root replacement | 0.48 [0.26;0.90] | 0.021 | ||
| Transfusions | 1.03 [1.02;1.05] | <0.001 | ||
| Postop. ventilation > 24 h | 2.00 [1.08;3.70] | 0.028 | ||
| ICU stay | 1.03 [1.02;1.04] | <0.001 | 1.04 [1.03;1.05] | <0.001 |
| Low cardiac output syndrome | 2.80 [1.71;4.44] | <0.001 | ||
| Postop. renal replacement therapy | 3.18 [2.10;4.83] | <0.001 | ||
| Postop. neurological deficit | 3.04 [1.81;5.10] | <0.001 |
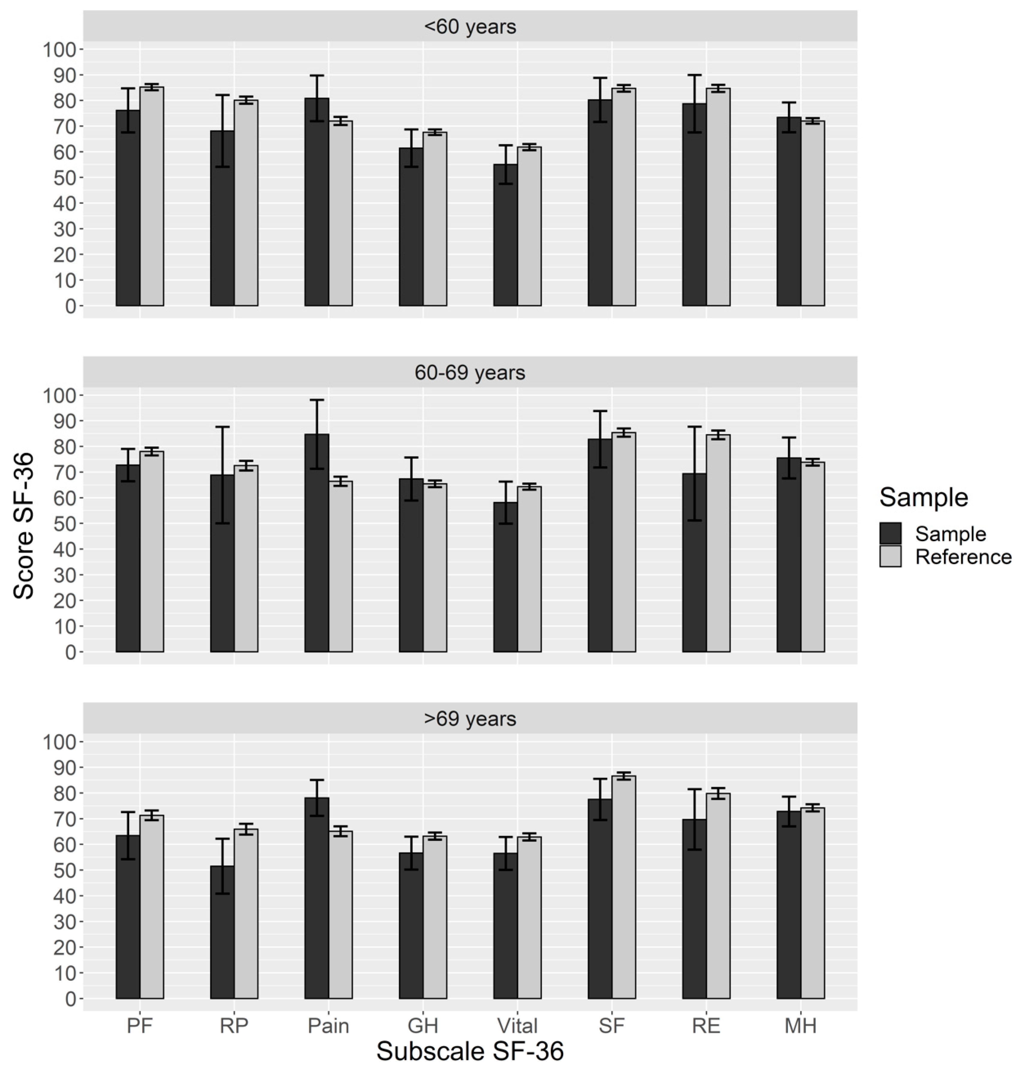
| SF-36 Dimension | Age Group | Study Group (n = 119) | Reference Population (n = 7988) | p-Value |
|---|---|---|---|---|
| Physical Functioning | <60 years | 76.1 [67.5; 85.9] | 85.2 [84.0; 86.4] | 0.07 |
| 60–69 years | 72.7 [66.4; 83.1] | 78.0 [76.5; 79.5] | 0.36 | |
| >69 years | 63.4 [54.2; 73.4] | 71.3 [69.4; 73.3] | 0.33 | |
| Physical Role | <60 years | 68.1 [54.1; 80.3] | 80.1 [78.7; 81.6] | 0.05 |
| 60–69 years | 68.8 [50.0; 84.6] | 72.5 [70.6; 74.4] | 0.64 | |
| >69 years | 51.5 [40.8; 63.5] | 65.9 [63.8; 68.1] | 0.11 | |
| Pain | <60 years | 80.8 [71.9; 88.8] | 72.0 [70.4; 73.6] | 0.19 |
| 60–69 years | 84.7 [71.3; 95.3] | 66.4 [64.6; 68.2] | 0.02 | |
| >69 years | 78.1 [71.1; 84.7] | 65.1 [63.2; 67.1] | 0.11 | |
| General Health | <60 years | 61.4 [54.1; 68.9] | 67.6 [66.5; 68.7] | 0.18 |
| 60–69 years | 67.3 [58.9; 75.5] | 65.4 [64.1; 66.8] | 0.74 | |
| >69 years | 56.6 [50.2; 63.0] | 63.2 [61.8; 64.5] | 0.24 | |
| Vitality | <60 years | 55.0 [47.5; 62.2] | 61.8 [60.6; 62.9] | 0.16 |
| 60–69 years | 58.1 [49.9; 66.0] | 64.3 [63.1; 65.4] | 0.20 | |
| >69 years | 56.5 [50.1; 63.4] | 62.9 [61.5; 64.4] | 0.29 | |
| Social Functioning | <60 years | 80.2 [71.6; 87.5] | 84.7 [83.4; 86.0] | 0.41 |
| 60–69 years | 82.8 [71.8; 92.0] | 85.4 [83.8; 86.9] | 0.72 | |
| >69 years | 77.5 [69.5; 85.5] | 86.6 [85.2; 87.9] | 0.11 | |
| Emotional Role | <60 years | 78.7 [67.5; 88.3] | 84.7 [83.3; 86.4] | 0.36 |
| 60–69 years | 69.4 [51.1; 85.7] | 84.5 [82.8; 86.2] | 0.04 | |
| >69 years | 69.7 [57.9; 80.9] | 79.8 [77.7; 81.9] | 0.25 | |
| Mental Health | <60 years | 73.4 [67.6; 78.8] | 72.0 [70.9; 73.1] | 0.76 |
| 60–69 years | 75.5 [67.5; 82.1] | 73.8 [72.5; 75.0] | 0.75 | |
| >69 years | 72.8 [67.0; 78.8] | 74.2 [72.8; 75.5] | 0.81 |
Disclaimer/Publisher’s Note: The statements, opinions and data contained in all publications are solely those of the individual author(s) and contributor(s) and not of MDPI and/or the editor(s). MDPI and/or the editor(s) disclaim responsibility for any injury to people or property resulting from any ideas, methods, instructions or products referred to in the content. |
© 2024 by the authors. Licensee MDPI, Basel, Switzerland. This article is an open access article distributed under the terms and conditions of the Creative Commons Attribution (CC BY) license (https://creativecommons.org/licenses/by/4.0/).
Share and Cite
Goebel, N.; Holder, S.A.; Huether, F.; Maw, E.; Ayala, R.; Anguelov, Y.; Franke, U.F.W.; Bail, D. Long-Term Results and Quality of Life after Surgery for Acute Aortic Dissection Type A: Contemporary Single-Centre Experience. J. Clin. Med. 2024, 13, 5645. https://doi.org/10.3390/jcm13185645
Goebel N, Holder SA, Huether F, Maw E, Ayala R, Anguelov Y, Franke UFW, Bail D. Long-Term Results and Quality of Life after Surgery for Acute Aortic Dissection Type A: Contemporary Single-Centre Experience. Journal of Clinical Medicine. 2024; 13(18):5645. https://doi.org/10.3390/jcm13185645
Chicago/Turabian StyleGoebel, Nora, Simone A. Holder, Franziska Huether, Eleanor Maw, Rafael Ayala, Yasemin Anguelov, Ulrich F. W. Franke, and Dorothee Bail. 2024. "Long-Term Results and Quality of Life after Surgery for Acute Aortic Dissection Type A: Contemporary Single-Centre Experience" Journal of Clinical Medicine 13, no. 18: 5645. https://doi.org/10.3390/jcm13185645
APA StyleGoebel, N., Holder, S. A., Huether, F., Maw, E., Ayala, R., Anguelov, Y., Franke, U. F. W., & Bail, D. (2024). Long-Term Results and Quality of Life after Surgery for Acute Aortic Dissection Type A: Contemporary Single-Centre Experience. Journal of Clinical Medicine, 13(18), 5645. https://doi.org/10.3390/jcm13185645

