Intraoral Scanning Enables Virtual-Splint-Based Non-Invasive Registration Protocol for Maxillofacial Surgical Navigation
Abstract
1. Introduction
2. Materials and Methods
2.1. Protocol for Registration Splint Fabrication and Usage in Surgical Navigation
2.1.1. Virtual Splint Generation
2.1.2. Virtual Splint Modification for Usage for Registration
2.1.3. Splint Fabrication
2.1.4. Navigational Planning
2.2. Skull Model Experiment for Evaluation of Registration Methods
- Method 1: bone-anchored MMF stainless steel screws;
- Method 2: dental registration splint manufactured by vacuum thermoforming with polymerized osteosynthesis titanium screws;
- Method 3: dental CAD/CAM registration splint based on intraoralscan matching and 3D resin printing (new protocol);
- Method 4: dental landmarks.
2.2.1. Skull Printing
2.2.2. Navigation Planning Using Different Registration Methods
- Marking of the 4 screw heads of the bone-anchored screw on the second-matched CBCT scan across the midface (two screw heads in the maxillary alveolar process, two screw heads in the fronto-orbital area);
- Marking of the 4 screw heads of the dental navigation splint on the second matched CBCT scan;
- Marking of the 4 indentations on the CAD/CAM registration splint loaded as an STL file;
- Marking of 4 dental landmarks as visualized in the DICOM dataset: tip of the mesio-vestibular cusp of the first upper molar right and left, tip of the upper canine right and left.
2.2.3. Target Registration Error Verification
2.2.4. Statistics
2.3. Surgical Cases
3. Results
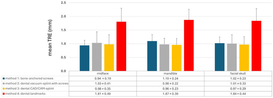
3.1. TRE Evaluation in Ex Vivo Skull Model for Comparison of Different Registration Methods
3.2. Surgical Cases
3.2.1. Case 1: Secondary Zygoma and Orbital Floor Repair Following Trauma
3.2.2. Case 2: Mandibular Recontouring in a Case of Benign Central Osteoma
4. Discussion
5. Conclusions
Supplementary Materials
Author Contributions
Funding
Institutional Review Board Statement
Informed Consent Statement
Data Availability Statement
Conflicts of Interest
References
- Mezger, U.; Jendrewski, C.; Bartels, M. Navigation in Surgery. Langenbecks Arch. Surg. 2013, 398, 501–514. [Google Scholar] [CrossRef]
- Demian, N.; Pearl, C.; Woernley, T.C.; Wilson, J.; Seaman, J. Surgical Navigation for Oral and Maxillofacial Surgery. Oral. Maxillofac. Surg. Clin. N. Am. 2019, 31, 531–538. [Google Scholar] [CrossRef] [PubMed]
- Azarmehr, I.; Stokbro, K.; Bell, R.B.; Thygesen, T. Surgical Navigation: A Systematic Review of Indications, Treatments, and Outcomes in Oral and Maxillofacial Surgery. J. Oral. Maxillofac. Surg. 2017, 75, 1987–2005. [Google Scholar] [CrossRef]
- Sukegawa, S.; Kanno, T.; Furuki, Y. Application of Computer-Assisted Navigation Systems in Oral and Maxillofacial Surgery. Jpn Dent. Sci. Rev. 2018, 54, 139–149. [Google Scholar] [CrossRef]
- Harmsen, S.; Teraphongphom, N.; Tweedle, M.F.; Basilion, J.P.; Rosenthal, E.L. Optical Surgical Navigation for Precision in Tumor Resections. Mol. Imaging Biol. 2017, 19, 357–362. [Google Scholar] [CrossRef]
- Essig, H.; Rana, M.; Meyer, A.; Eckardt, A.M.; Kokemueller, H.; von See, C.; Lindhorst, D.; Tavassol, F.; Ruecker, M.; Gellrich, N.-C. Virtual 3D Tumor Marking-Exact Intraoperative Coordinate Mapping Improve Post-Operative Radiotherapy. Radiat. Oncol. 2011, 6, 159. [Google Scholar] [CrossRef] [PubMed]
- Schramm, A.; Suarez-Cunqueiro, M.M.; Barth, E.L.; Essig, H.; Bormann, K.-H.; Kokemueller, H.; Rücker, M.; Gellrich, N.-C. Computer-Assisted Navigation in Craniomaxillofacial Tumors. J. Craniofac. Surg. 2008, 19, 1067–1074. [Google Scholar] [CrossRef]
- Rana, M.; Holtmann, H.; Lommen, J.; Rana, M.; Zeller, A.; Kübler, N.; Hufendiek, K.; Hermann, E.; Gellrich, N.-C.; Sproll, C. Trajectory-Guided Biopsy of Orbital Tumor—Technology, Principal Considerations and Clinical Implementation. J. Cranio-Maxillofac. Surg. 2018, 46, 994–1000. [Google Scholar] [CrossRef] [PubMed]
- Cheng, M.; Zhu, Y.; Liu, Q.; Shen, S.; Qian, Y.; Yu, H. Efficacy of Surgical Navigation in Zygomaticomaxillary Complex Fractures: Randomized Controlled Trial. Int. J. Oral. Maxillofac. Surg. 2022, 51, 1180–1187. [Google Scholar] [CrossRef]
- Chu, Y.-Y.; Yang, J.-R.; Pek, C.-H.; Liao, H.-T. Application of Real-Time Surgical Navigation for Zygomatic Fracture Reduction and Fixation. J. Plast. Reconstr. Aesthetic Surg. 2022, 75, 424–432. [Google Scholar] [CrossRef]
- Tel, A.; Costa, F.; Sembronio, S.; Robiony, M. Contemporary Management of Complex Craniofacial Trauma: Virtual Planning, Navigation and the Novel Thermoformed Cage Splints in a Strategic, Sequential, Computer-Guided Protocol. J. Craniomaxillofac. Surg. 2022, 50, 837–847. [Google Scholar] [CrossRef] [PubMed]
- Essig, H.; Dressel, L.; Rana, M.; Rana, M.; Kokemueller, H.; Ruecker, M.; Gellrich, N.-C. Precision of Posttraumatic Primary Orbital Reconstruction Using Individually Bent Titanium Mesh with and without Navigation: A Retrospective Study. Head. Face Med. 2013, 9, 18. [Google Scholar] [CrossRef] [PubMed]
- Rana, M.; Moellmann, H.L.; Schorn, L.; Lommen, J.; Rana, M.; Wilkat, M.; Hufendiek, K. Primary Orbital Reconstruction with Selective Laser Melting (SLM) of Patient-Specific Implants (PSIs): An Overview of 96 Surgically Treated Patients. J. Clin. Med. 2022, 11, 3361. [Google Scholar] [CrossRef] [PubMed]
- Fan, X.; Zhu, Q.; Tu, P.; Joskowicz, L.; Chen, X. A Review of Advances in Image-Guided Orthopedic Surgery. Phys. Med. Biol. 2023, 68, 02TR01. [Google Scholar] [CrossRef]
- Karkenny, A.J.; Mendelis, J.R.; Geller, D.S.; Gomez, J.A. The Role of Intraoperative Navigation in Orthopaedic Surgery. J. Am. Acad. Orthop. Surg. 2019, 27, e849–e858. [Google Scholar] [CrossRef]
- Matinfar, S.; Salehi, M.; Suter, D.; Seibold, M.; Dehghani, S.; Navab, N.; Wanivenhaus, F.; Fürnstahl, P.; Farshad, M.; Navab, N. Sonification as a Reliable Alternative to Conventional Visual Surgical Navigation. Sci. Rep. 2023, 13, 5930. [Google Scholar] [CrossRef]
- Anand, M.; Panwar, S. Role of Navigation in Oral and Maxillofacial Surgery: A Surgeon’s Perspectives. Clin. Cosmet. Investig. Dent. 2021, 13, 127–139. [Google Scholar] [CrossRef]
- Sorriento, A.; Porfido, M.B.; Mazzoleni, S.; Calvosa, G.; Tenucci, M.; Ciuti, G.; Dario, P. Optical and Electromagnetic Tracking Systems for Biomedical Applications: A Critical Review on Potentialities and Limitations. IEEE Rev. Biomed. Eng. 2020, 13, 212–232. [Google Scholar] [CrossRef]
- Duque, S.G.; Gorrepati, R.; Kesavabhotla, K.; Huang, C.; Boockvar, J.A. Endoscopic Endonasal Transphenoidal Surgery Using the BrainLAB® Headband for Navigation without Rigid Fixation. J. Neurol. Surg. A Cent. Eur. Neurosurg. 2014, 75, 267–269. [Google Scholar] [CrossRef]
- Grauvogel, T.D.; Grauvogel, J.; Arndt, S.; Berlis, A.; Maier, W. Is There an Equivalence of Non-Invasive to Invasive Referenciation in Computer-Aided Surgery? Eur. Arch. Otorhinolaryngol. 2012, 269, 2285–2290. [Google Scholar] [CrossRef]
- Opdenakker, Y.; Swennen, G.; Abeloos, J. Application of a Non-Invasive Reference Headband and a Surgical Splint for Intraoperative Paediatric Navigation. Int. J. Oral. Maxillofac. Surg. 2017, 46, 360–362. [Google Scholar] [CrossRef] [PubMed]
- Fitzpatrick, J.M. The Role of Registration in Accurate Surgical Guidance. Proc. Inst. Mech. Eng. H 2010, 224, 607–622. [Google Scholar] [CrossRef]
- Jiang, L.; Zhang, S.; Yang, J.; Zhuang, X.; Zhang, L.; Gu, L. A Robust Automated Markerless Registration Framework for Neurosurgery Navigation. Int. J. Med. Robot. 2015, 11, 436–447. [Google Scholar] [CrossRef] [PubMed]
- Saß, B.; Pojskic, M.; Bopp, M.; Nimsky, C.; Carl, B. Comparing Fiducial-Based and Intraoperative Computed Tomography-Based Registration for Frameless Stereotactic Brain Biopsy. Stereotact. Funct. Neurosurg. 2021, 99, 79–89. [Google Scholar] [CrossRef]
- Taleb, A.; Guigou, C.; Leclerc, S.; Lalande, A.; Bozorg Grayeli, A. Image-to-Patient Registration in Computer-Assisted Surgery of Head and Neck: State-of-the-Art, Perspectives, and Challenges. J. Clin. Med. 2023, 12, 5398. [Google Scholar] [CrossRef]
- Sun, Y.; Luebbers, H.T.; Agbaje, J.O.; Schepers, S.; Vrielinck, L.; Lambrichts, I.; Politis, C. Validation of Anatomical Landmarks-Based Registration for Image-Guided Surgery: An in-Vitro Study. J. Cranio-Maxillofac. Surg. 2013, 41, 522–526. [Google Scholar] [CrossRef] [PubMed][Green Version]
- Essig, H.; Rana, M.; Kokemueller, H.; Zizelmann, C.; von See, C.; Ruecker, M.; Tavassol, F.; Gellrich, N.C. Referencing of Markerless CT Data Sets with Cone Beam Subvolume Including Registration Markers to Ease Computer-Assisted Surgery—A Clinical and Technical Research. Int. J. Med. Robot. 2013, 9, e39–e45. [Google Scholar] [CrossRef] [PubMed]
- Venosta, D.; Sun, Y.; Matthews, F.; Kruse, A.L.; Lanzer, M.; Gander, T.; Grätz, K.W.; Lübbers, H.-T. Evaluation of Two Dental Registration-Splint Techniques for Surgical Navigation in Cranio-Maxillofacial Surgery. J. Cranio-Maxillofac. Surg. 2014, 42, 448–453. [Google Scholar] [CrossRef]
- Bettschart, C.; Kruse, A.; Matthews, F.; Zemann, W.; Obwegeser, J.A.; Grätz, K.W.; Lübbers, H.-T. Point-to-Point Registration with Mandibulo-Maxillary Splint in Open and Closed Jaw Position. Evaluation of Registration Accuracy for Computer-Aided Surgery of the Mandible. J. Craniomaxillofac. Surg. 2012, 40, 592–598. [Google Scholar] [CrossRef][Green Version]
- Eckstein, F.M.; Zeller, A.-N.; Neuhaus, M.-T.; Korn, P.; Gellrich, N.-C.; Zimmerer, R.M.; Rahlf, B. Referencing for Intraoperative Navigation: Evaluation of Human Bias. J. Stomatol. Oral. Maxillofac. Surg. 2022, 123, 401–404. [Google Scholar] [CrossRef]
- Koo, T.K.; Li, M.Y. A Guideline of Selecting and Reporting Intraclass Correlation Coefficients for Reliability Research. J. Chiropr. Med. 2016, 15, 155–163. [Google Scholar] [CrossRef] [PubMed]
- Matsumoto, N.; Hong, J.; Hashizume, M.; Komune, S. A Minimally Invasive Registration Method Using Surface Template-Assisted Marker Positioning (STAMP) for Image-Guided Otologic Surgery. Otolaryngol.—Head. Neck Surg. 2009, 140, 96–102. [Google Scholar] [CrossRef] [PubMed]
- Gateno, J.; Xia, J.; Teichgraeber, J.F.; Rosen, A.; Hultgren, B.; Vadnais, T.; Professor, A. The Precision of Computer-Generated Surgical Splints. J. Oral Maxillofac. Surg. 2003, 61, 814–817. [Google Scholar] [CrossRef]
- Swennen, G.R.J.; Mollemans, W.; De Clercq, C.; Abeloos, J.; Lamoral, P.; Lippens, F.; Neyt, N.; Casselman, J.; Schutyser, F. A Cone-Beam Computed Tomography Triple Scan Procedure to Obtain a Three-Dimensional Augmented Virtual Skull Model Appropriate for Orthognathic Surgery Planning. J. Craniofacial Surg. 2009, 20, 297–307. [Google Scholar] [CrossRef] [PubMed]
- Hernández-Alfaro, F.; Guijarro-Martínez, R. New Protocol for Three-Dimensional Surgical Planning and CAD/CAM Splint Generation in Orthognathic Surgery: An in Vitro and in Vivo Study. Int. J. Oral Maxillofac. Surg. 2013, 42, 1547–1556. [Google Scholar] [CrossRef]
- Wang, P.; Wang, Y.; Xu, H.; Huang, Y.; Shi, Y.; Chen, S.; Bai, D.; Xue, C. Effect of Offset on the Precision of 3D-Printed Orthognathic Surgical Splints. Clin. Oral. Investig. 2023, 27, 5141–5151. [Google Scholar] [CrossRef]
- Wang, X.; Mu, M.; Yan, J.; Han, B.; Ye, R.; Guo, G. 3D Printing Materials and 3D Printed Surgical Devices in Oral and Maxillofacial Surgery: Design, Workflow and Effectiveness. Regen. Biomater. 2024, 2024, rbae066. [Google Scholar] [CrossRef]
- Beek, D.M.; Baan, F.; Liebregts, J.; Bergé, S.; Maal, T.; Xi, T. Surgical Accuracy in 3D Planned Bimaxillary Osteotomies: Intraoral Scans and Plaster Casts as Digital Dentition Models. Int. J. Oral Maxillofac. Surg. 2022, 51, 922–928. [Google Scholar] [CrossRef]
- Swennen, G.; Van Leemput, P.; Mollemans, W.; Schutyser, F.; De Clercq, C. A New ‘Surface to Cone-Beam CT’ Registration Method to Obtain an Appropriate 3D Virtual Patient Model for Orthognathic Surgery Planning. Int. J. Oral Maxillofac. Surg. 2013, 42, 1338. [Google Scholar] [CrossRef]
- Zeller, A.; Zimmerer, R.M.; Springhetti, S.; Tavassol, F.; Rahlf, B.; Neuhaus, M.; Gellrich, N. CAD/CAM-based Referencing Aids to Reduce Preoperative Radiation Exposure for Intraoperative Navigation. Int. J. Med. Robot. Comput. Assist. Surg. 2021, 17, e2241. [Google Scholar] [CrossRef]
- Weijs, W.L.; Coppen, C.; Schreurs, R.; Vreeken, R.D.; Verhulst, A.C.; Merkx, M.A.; Bergé, S.J.; Maal, T.J. Accuracy of Virtually 3D Planned Resection Templates in Mandibular Reconstruction. J. Craniomaxillofac. Surg. 2016, 44, 1828–1832. [Google Scholar] [CrossRef] [PubMed]
- Schreurs, R.; Baan, F.; Klop, C.; Dubois, L.; Beenen, L.F.M.; Habets, P.E.M.H.; Becking, A.G.; Maal, T.J.J. Virtual Splint Registration for Electromagnetic and Optical Navigation in Orbital and Craniofacial Surgery. Sci. Rep. 2021, 11, 10406. [Google Scholar] [CrossRef] [PubMed]
- Brouwer de Koning, S.G.; Riksen, J.J.M.; ter Braak, T.P.; van Alphen, M.J.A.; van der Heijden, F.; Schreuder, W.H.; Karssemakers, L.H.E.; Karakullukcu, M.B.; van Veen, R.L.P. Utilization of a 3D Printed Dental Splint for Registration during Electromagnetically Navigated Mandibular Surgery. Int. J. Comput. Assist. Radiol. Surg. 2020, 15, 1997–2003. [Google Scholar] [CrossRef] [PubMed]










| ANOVA | Sum of Squares | df | Mean of Squares | F | p | η2 | η2p | |
|---|---|---|---|---|---|---|---|---|
| A | Method (M1, M2, M3, M4) | 68 | 3 | 22.67 | 241.71 | <0.001 | 0.54 | 0.67 |
| B | Side (right, left) | 0.02 | 1 | 0.02 | 0.09 | 0.759 | 0 | 0 |
| C | Region (midface, mandible) | 0.17 | 1 | 0.17 | 1.07 | 0.302 | 0 | 0.01 |
| D | Level (0, 1, 2, 3, 4, 5, 6) | 7.96 | 6 | 1.33 | 12.87 | <0.001 | 0.06 | 0.39 |
| A × B | Method × side | 2.28 | 3 | 0.76 | 8.41 | <0.001 | 0.02 | 0.06 |
| A × C | Method × region | 0.87 | 3 | 0.29 | 3.09 | 0.027 | 0.01 | 0.02 |
| A × D | Method × level | 2.42 | 18 | 0.13 | 1.43 | 0.113 | 0.02 | 0.07 |
| Intraclass Correlation Coefficient | ICC | 95% CI Lower Limit | 95% CI Upper Limit | F | df1 | df2 | p | |
|---|---|---|---|---|---|---|---|---|
| Intraobserver | Method 1: bone-anchored screws | 0.74 | 0.66 | 0.81 | 6.78 | 127 | 127 | <0.001 |
| Method 2: dental vacuum-splint with screws | 0.79 | 0.72 | 0.85 | 8.69 | 127 | 127 | <0.001 | |
| Method 3: dental CAD/CAM-splint | 0.80 | 0.73 | 0.86 | 8.99 | 127 | 127 | <0.001 | |
| Method 4: dental landmarks | 0.78 | 0.70 | 0.84 | 8.10 | 127 | 127 | <0.001 | |
| Interobserver | Method 1: bone-anchored screws | 0.71 | 0.61 | 0.79 | 5.85 | 127 | 127 | <0.001 |
| Method 2: dental vacuum-splint with screws | 0.69 | 0.59 | 0.77 | 5.50 | 127 | 127 | <0.001 | |
| Method 3: dental CAD/CAM-splint | 0.84 | 0.79 | 0.89 | 11.89 | 127 | 127 | <0.001 | |
| Method 4: dental landmarks | 0.52 | 0.38 | 0.64 | 3.17 | 127 | 127 | <0.001 | |
| Advantages | Limitations |
|---|---|
| High accuracy in maxillofacial region | Not applicable in cases with significant injury to or defect of the dentition/maxilla or in cases with severe jaw clamp |
| High patient comfort | Adequate dentition needed |
| No additional radiation exposure | Dentition must be fully represented in the DICOM dataset |
| Reduced preparation time and organization effort | Needs 3D printing and intraoral scanning devices which may pose further costs, if not readily available at clinical site |
| Reproducible and applicable splint fabrication in case of loss or damage | Learning curve may be needed for implementation in clinical practice |
Disclaimer/Publisher’s Note: The statements, opinions and data contained in all publications are solely those of the individual author(s) and contributor(s) and not of MDPI and/or the editor(s). MDPI and/or the editor(s) disclaim responsibility for any injury to people or property resulting from any ideas, methods, instructions or products referred to in the content. |
© 2024 by the authors. Licensee MDPI, Basel, Switzerland. This article is an open access article distributed under the terms and conditions of the Creative Commons Attribution (CC BY) license (https://creativecommons.org/licenses/by/4.0/).
Share and Cite
Wilkat, M.; Saigo, L.; Kübler, N.; Rana, M.; Schrader, F. Intraoral Scanning Enables Virtual-Splint-Based Non-Invasive Registration Protocol for Maxillofacial Surgical Navigation. J. Clin. Med. 2024, 13, 5196. https://doi.org/10.3390/jcm13175196
Wilkat M, Saigo L, Kübler N, Rana M, Schrader F. Intraoral Scanning Enables Virtual-Splint-Based Non-Invasive Registration Protocol for Maxillofacial Surgical Navigation. Journal of Clinical Medicine. 2024; 13(17):5196. https://doi.org/10.3390/jcm13175196
Chicago/Turabian StyleWilkat, Max, Leonardo Saigo, Norbert Kübler, Majeed Rana, and Felix Schrader. 2024. "Intraoral Scanning Enables Virtual-Splint-Based Non-Invasive Registration Protocol for Maxillofacial Surgical Navigation" Journal of Clinical Medicine 13, no. 17: 5196. https://doi.org/10.3390/jcm13175196
APA StyleWilkat, M., Saigo, L., Kübler, N., Rana, M., & Schrader, F. (2024). Intraoral Scanning Enables Virtual-Splint-Based Non-Invasive Registration Protocol for Maxillofacial Surgical Navigation. Journal of Clinical Medicine, 13(17), 5196. https://doi.org/10.3390/jcm13175196
