Low Muscle Strength Assessed with Dynamometry in Elderly Polypathological Patients with Acute Heart Failure: PROFUND-IC Registry
Abstract
1. Introduction
2. Methods
2.1. Study Design
2.2. Population Study
The Inclusion Criteria Are
- ▪
- Age over 18 years.
- ▪
- Have a primary diagnosis of acute heart failure (HF) as the reason for admission, including episodes of de novo HF and decompensation of chronic heart failure.
- ▪
- NTproBNP > 1500 pg/mL at the time of admission.
- ▪
- Fulfill the criterion of a polypathological patient, defined as the presence of 2 or more concomitant chronic diseases.
- ▪
- To have performed dynamometry (Handgrip) as a measure of muscle strength at the time of admission.
- ▪
- To have accepted and signed the informed consent by the patient or a legal representative.
- ▪
- Complete clinical follow-up for one year.
2.3. Variables Studied
2.4. Statistical Study
2.5. Work Methodology
2.6. Ethical Aspects
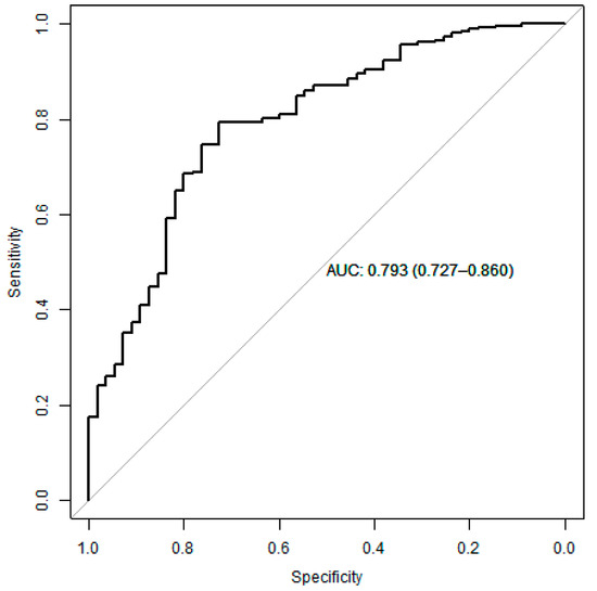
3. Results
4. Discussion
5. Conclusions
Author Contributions
Funding
Institutional Review Board Statement
Informed Consent Statement
Data Availability Statement
Acknowledgments
Conflicts of Interest
References
- McDonagh, T.A.; Metra, M.; Adamo, M.; Gardner, R.S.; Baumbach, A.; Böhm, M.; Burri, H.; Butler, J.; Čelutkienė, J.; Chioncel, O.; et al. 2021 ESC Guidelines for the diagnosis and treatment of acute and chronic heart failure. Eur. Heart J. 2021, 42, 3599–3726. [Google Scholar] [CrossRef] [PubMed]
- Kondo, T.; Dewan, P.; Anand, I.S.; Desai, A.S.; Packer, M.; Zile, M.; Pfeffer, M.A.; Solomon, S.D.; Abraham, W.T.; Shah, S.J.; et al. Clinical characteristics and outcomes in patients with heart failure: Are there thresholds and inflection points in left ventricular ejection fraction and thresholds justifying a clinical classification? Circulation 2023, 148, 732–749. [Google Scholar] [CrossRef] [PubMed]
- Sicras-Mainar, A.; Sicras-Navarro, A.; Palacios, B.; Varela, L.; Delgado, J.F. Epidemiology and treatment of heart failure in Spain: The HF-PATHWAYS study. Rev. Española Cardiol. 2022, 75, 31–38. [Google Scholar] [CrossRef]
- Crespo-Leiro, M.G.; Barge-Caballero, E.; Segovia-Cubero, J.; González-Costello, J.; Bayés-Genís, A.; López-Fernández, S.; Mirabet-Pérez, S.; Sanz-Julve, M.; Fernández-Vivancos, C.; Pérez-Ruiz, J.M.; et al. Pronóstico al año en pacientes con insuficiencia cardiaca en España. Registro ESC-EORP HFA Heart Failure Long-Term. Rev. Española Cardiol. 2020, 55, 207–216. [Google Scholar] [CrossRef]
- Andrade, R.; Pérez, V.; Silvera, G. Manejo de las comorbilidades en la insuficiencia cardíaca. Rev. Urug. Cardiol. 2018, 33, 43–80. [Google Scholar]
- Iyer, L.C.; Vaishali, K.; Babu, A.S. Prevalence of sarcopenia in heart failure: A systematic review. Indian. Heart J. 2023, 75, 36–42. [Google Scholar] [CrossRef] [PubMed]
- Lena, A.; Anker, M.S.; Springer, J. Muscle wasting and sarcopenia in heart failure—The current state of science. Int. J. Mol. Sci. 2020, 21, 6549. [Google Scholar] [CrossRef] [PubMed]
- Zhang, Y.; Zhang, J.; Ni, W.; Yuan, X.; Zhang, H.; Li, P.; Xu, J.; Zhao, Z. Sarcopenia in heart failure: A systematic review and meta-analysis. ESC Heart Fail. 2021, 8, 1007–1017. [Google Scholar] [CrossRef] [PubMed]
- Curcio, F.; Testa, G.; Liguori, I.; Papillo, M.; Flocco, V.; Panicara, V.; Galizia, G.; Della-Morte, D.; Gargiulo, G.; Cacciatore, F.; et al. Sarcopenia and Heart Failure. Nutrients 2020, 12, 211. [Google Scholar] [CrossRef] [PubMed]
- Umehara, T.; Kaneguchi, A.; Kawakami, W.; Katayama, N.; Kito, N. Association of muscle mass and quality with hand grip strength in elderly patients with heart failure. Heart Vessel. 2022, 37, 1380–1386. [Google Scholar] [CrossRef] [PubMed]
- Poco, L.C.; Finkelstein, E.; Sim, D.; Malhotra, C. Weak grip strength predicts higher unplanned healthcare utilization among patients with heart failure. ESC Heart Fail. 2024, 11, 306–314. [Google Scholar] [CrossRef] [PubMed]
- Dai, K.Z.; Laber, E.B.; Chen, H.; Mentz, R.J.; Malhotra, C. Hand Grip Strength Predicts Mortality and Quality of Life in Heart Failure: Insights From the Singapore Cohort of Patients With Advanced Heart Failure. J. Card. Fail. 2023, 29, 911–918. [Google Scholar] [CrossRef] [PubMed]
- Konishi, M.; Kagiyama, N.; Kamiya, K.; Saito, H.; Saito, K.; Ogasahara, Y.; Maekawa, E.; Misumi, T.; Kitai, T.; Iwata, K.; et al. Impact of sarcopenia on prognosis in patients with heart failure with reduced and preserved ejection fraction. Eur. J. Prev. Cardiol. 2021, 28, 1022–1029. [Google Scholar] [CrossRef] [PubMed]
- Lopez, P.D.; Nepal, P.; Akinlonu, A.; Nekkalapudi, D.; Kim, K.; Cativo, E.H.; Visco, F.; Mushiyev, S.; Pekler, G. Low Skeletal Muscle Mass Independently Predicts Mortality in Patients with Chronic Heart Failure after an Acute Hospitalization. Cardiology 2019, 142, 28–36. [Google Scholar] [CrossRef] [PubMed]
- Izawa, K.P.; Watanabe, S.; Osada, N.; Kasahara, Y.; Yokoyama, H.; Hiraki, K.; Morio, Y.; Yoshioka, S.; Oka, K.; Omiya, K. Handgrip strength as a predictor of prognosis in Japanese patients with congestive heart failure. Eur. J. Cardiovasc. Prev. Rehabil. Off. J. Eur. Soc. Cardiol. Work. Groups Epidemiol. Prev. Card. Rehabil. Exerc. Physiol. 2009, 16, 21–27. [Google Scholar] [CrossRef] [PubMed]
- Mene-Afejuku, T.O.; Pernia, M.; Ibebuogu, U.N.; Chaudhari, S.; Mushiyev, S.; Visco, F.; Pekler, G. Heart failure and cognitive impairment: Clinical relevance and therapeutic considerations. Curr. Cardiol. Rev. 2019, 15, 291–303. [Google Scholar] [CrossRef] [PubMed]
- Peng, T.C.; Chen, W.L.; Wu, L.W.; Chang, Y.W.; Kao, T.W. Sarcopenia and cognitive impairment: A systematic review and meta-analysis. Clin. Nutr. 2020, 39, 2695–2701. [Google Scholar] [CrossRef] [PubMed]
- Izzo, A.; Massimino, E.; Riccardi, G.; Della Pepa, G. A Narrative Review on Sarcopenia in Type 2 Diabetes Mellitus: Prevalence and Associated Factors. Nutrients 2021, 13, 183. [Google Scholar] [CrossRef] [PubMed]
- Wang, Y.; Pu, X.; Zhu, Z.; Sun, W.; Xue, L.; Ye, J. Handgrip strength and the prognosis of patients with heart failure: A meta-analysis. Clin. Cardiol. 2023, 46, 1173–1184. [Google Scholar] [CrossRef] [PubMed]







| Variable | n = 377 |
|---|---|
| Normal muscle strength | 67 (17.77%) |
| Low muscle strength | 310 (82.23%) |
| Epidemiological variables | |
| Sex (n, %) | |
| Men (n, %) | 166 (44.03%) |
| Women (n, %) | 211 (55.97%) |
| Age (mean, SD) | 83 (±9) |
| Anthropometric variables | |
| Weight (kg) (mean, SD) | 73 (±17) |
| Height (cm) (mean, SD) | 160 (±9) |
| BMI (kg/m2) (median, RIC) | 27 (24, 32) |
| Comorbidities | |
| Arterial hypertension (n, %) | 343 (90.98%) |
| Diabetes mellitus (n, %) | 177 (46.95%) |
| Dyslipemia (n, %) | 245 (64.99%) |
| Atrial fibrillation (n, %) | 286 (75.86%) |
| Chronic renal disease (n, %) | 204 (54.11%) |
| Chronic respiratory disease (n, %) | 156 (41.38%) |
| Cerebro-Vascular disease (n, %) | 69 (18.65%) |
| Cognitive impairment (n, %) | 37 (9.81%) |
| Neoplasia (n, %) | 33 (8.75%) |
| Osteoarticular disease (n, %) | 94 (24.93%) |
| Clinical Variables | |
| Heart failure etiology (n, %) | |
| Hypertensive (n, %) | 154 (40.85%) |
| Ischemic (n, %) | 75 (19.89%) |
| Dilated (n, %) | 8 (2.12%) |
| Valvular (n, %) | 86 (22.81%) |
| Amyloidosis (n, %) | 14 (3.71%) |
| Others (n, %) | 40 (10.61%) |
| Previous year hospital admission (n, %) | |
| 0 (n, %) | 56 (14.85%) |
| 1 (n, %) | 166 (44.03%) |
| 2 (n, %) | 87 (23.08%) |
| 3 (n, %) | 41 (10.88%) |
| 4 (n, %) | 16 (4.24%) |
| 5 (n, %) | 5 (1.33%) |
| 6 (n, %) | 5 (1.33%) |
| 8 (n, %) | 1 (0.27%) |
| Everest scale (mean, SD) | 7 (±3) |
| NYHA functional class (n, %) | |
| I (n, %) | 14 (3.71%) |
| II (n, %) | 169 (44.83%) |
| III (n, %) | 179 (47.48%) |
| IV (n, %) | 15 (3.98%) |
| LVEF (%) (mean, SD) | 52 (±13) |
| Analytical Variables | |
| Hemoglobin (g/dL) (median, IQR) | 12 (10, 13) |
| Lymphocytes (×106/L) (median, IQR) | 800 (10, 1429) |
| Creatinine (mg/dL) (median, IQR) | 1 (1, 2) |
| LDL (g/dL) (median, IQR) | 73 (54, 93) |
| Albumin (g/dL) (median, IQR) | 4 (3, 4) |
| NTproBNP (pg/mL) (median, IQR) | 5500 (2956, 10,493) |
| CA-125 (U/mL) (median, IQR) | 41 (20, 89) |
| Functionality, nutrition and frailty variables | |
| SPPB (median, IQR) | 3 (0, 6) |
| Barthel (median, IQR) | 75 (50, 95) |
| MNA-SF (median, IQR) | 11 (9, 13) |
| PROFUND index (median, IQR) | 6 (3, 10) |
| Rockwood | |
| Robust | 5 (1.33%) |
| Well, without disease | 8 (2.12%) |
| Well, disease controlled | 75 (19.89%) |
| Vulnerable | 78 (20.69%) |
| Light IADL dependence | 77 (20.42%) |
| Help for IADL and BADL | 119 (31.56%) |
| Dependent | 13 (3.45%) |
| Unknown | 2 (0.53%) |
| Treatment | |
| Furosemide maximal dose (mg/day) (median, IQR) | 80 (60,120) |
| Corticoids (n, %) | 99 (26.26%) |
| Protein supplements (n, %) | 37 (9.81%) |
| Morphine (n, %) | 50 (13.26%) |
| Prognostic Variables | |
| Death during admission (n, %) | 22 (5.84%) |
| Death at 12 months (n, %) | 36 (9.55%) |
| 12 months readmission (n, %) | 132 (35.01%) |
| Variable | Low Muscle Strength (n = 310) | Normal Muscle Strength (n = 67) | p |
|---|---|---|---|
| Epidemiological Variables | |||
| Sex (n, %) | p = 0.6 | ||
| Men (n, %) | 133 (42.90%) | 33 (49.25%) | |
| Women (n, %) | 177 (57.10%) | 34 (50.75%) | |
| Age (mean, SD) | 84 (±8) | 78 (±10) | p < 0.001 |
| Anthropometric variables | |||
| Weight (kg) (mean, SD) | 72 (±17) | 78 (±16) | p = 0.016 |
| Height (cm) (mean, SD) | 160 (±9) | 164 (±9) | p = 0.003 |
| BMI (kg/m2) (median, IQR) | 27 (24, 32) | 29 (25, 32) | p = 0.4 |
| Comorbidities | |||
| Arterial hypertension (n, %) | 285 (91.94%) | 58 (86.57%) | p = 0.4 |
| Diabetes mellitus (n, %) | 147 (47.42%) | 30 (44.78%) | p = 0.8 |
| Dyslipemia (n, %) | 200 (64.52%) | 45 (67.16%) | p = 0.8 |
| Atrial fibrillation (n, %) | 237 (76.45%) | 49 (73.13%) | p = 0.8 |
| Chronic renal disease (n, %) | 168 (54.19%) | 36 (53.73%) | p > 0.9 |
| Chronic respiratory disease (n, %) | 128 (41.29%) | 28 (41.79%) | p > 0.9 |
| Cerebro-Vascular disease (n, %) | 60 (19.35%) | 9 (13.43%) | p = 0.5 |
| Cognitive impairment (n, %) | 37 (11.94%) | 0 (0%) | p = 0.021 |
| Neoplasia (n, %) | 29 (9.35%) | 4 (5.97%) | p = 0.6 |
| Osteoarticular disease (n, %) | 80 (25.80%) | 14 (20.90%) | p = 0.6 |
| Clinical Variables | |||
| Heart failure etiology (n, %) | p = 0.15 | ||
| Hypertensive (n, %) | 132 (42.58%) | 22 (32.84%) | |
| Ischemic (n, %) | 55 (17.74%) | 20 (29.85%) | |
| Dilated (n, %) | 5 (1.61%) | 3 (4.48%) | |
| Valvular (n, %) | 74 (23.87%) | 12 (17.91%) | |
| Amyloidosis (n, %) | 13 (4.19%) | 1 (1.49%) | |
| Others (n, %) | 31 (10.00%) | 9 (13.43%) | |
| Previous year hospital admissions (n, %) | p = 0.047 | ||
| 0 (n, %) | 42 (13.55%) | 14 (20.90%) | |
| 1 (n, %) | 133 (42.90%) | 33 (49.25%) | |
| 2 (n, %) | 75 (24.19%) | 12 (17.91%) | |
| 3 (n, %) | 34 (10.97%) | 7 (10.45%) | |
| 4 (n, %) | 15 (4.84%) | 1 (1.49%) | |
| 5 (n, %) | 5 (1.61%) | 0 (0%) | |
| 6 (n, %) | 5 (1.61%) | 0 (0%) | |
| 8 (n, %) | 1 (0.32%) | 0 (0%) | |
| Everest Scale (mean, SD) | 7 (±3) | 7 (±3) | p = 0.4 |
| NYHA functional class (n, %) | p = 0.016 | ||
| I (n, %) | 9 (2.90%) | 5 (7.46%) | |
| II (n, %) | 129 (41.61%) | 40 (59.70%) | |
| III (n, %) | 159 (51.29%) | 20 (29.85%) | |
| IV (n, %) | 13 (4.19%) | 2 (2.99%) | |
| LVEF (%) (mean, SD) | 52 (±12) | 48 (±14) | p = 0.033 |
| Analytical Variables | |||
| Hemoglobin (g/dL) (median, IQR) | 12 (10, 13) | 12 (11, 13) | p = 0.4 |
| Lymphocytes (×106/L) (median, IQR) | 800 (11, 1498) | 700 (7, 1355) | p = 0.2 |
| Creatinine (mg/dL) (median, IQR) | 1 (1, 2) | 1 (1, 2) | p = 0.6 |
| LDL (g/dL) (median, IQR) | 74 (55, 92) | 70 (53, 93) | p = 0.7 |
| Albumin (g/dL) (median, IQR) | 4 (3, 4) | 4 (3, 4) | p = 0.057 |
| NTproBNP (pg/mL) (median, IQR) | 5512 (2733, 10,153) | 5417 (3278, 10,726) | p = 0.7 |
| CA-125 (U/mL) (median, IQR) | 39 (19, 89) | 49 (27, 90) | p = 0.4 |
| Functionality, nutrition and frailty variables | |||
| SPPB (median, IQR) | 2 (0, 5) | 5 (2, 9) | p < 0.001 |
| Barthel (median, IQR) | 70 (45, 95) | 95 (80, 100) | p < 0.001 |
| MNA-SF (median, IQR) | 10 (9, 12) | 11 (10, 14) | p = 0.056 |
| PROFUND index (median, IQR) | 7 (3, 11) | 3 (2, 5) | p < 0.001 |
| Rockwood | p < 0.001 | ||
| Robust | 2 (0.65%) | 3 (4.48%) | |
| Well, without disease | 5 (1.61%) | 3 (4.48%) | |
| Well, disease controlled | 53 (17.10%) | 22 (32.84%) | |
| Vulnerable | 63 (20.32%) | 15 (22.39%) | |
| Light IADL dependence | 63 (20.32%) | 14 (20.90%) | |
| Help for IADL and BADL | 111 (35.80%) | 8 (11.94%) | |
| Dependent | 13 (4.19%) | 0 (0%) | |
| Unknown | 0 (0%) | 2 (2.99%) | |
| Treatment | |||
| Furosemide maximal dose (mg/day) (median, IQR) | 80 (60,120) | 120 (60, 160) | p = 0.047 |
| Corticoids (n, %) | 90 (29.03%) | 9 (13.43%) | p = 0.033 |
| Protein supplements (n, %) | 33 (10.65%) | 4 (5.97%) | p = 0.5 |
| Morphine (n, %) | 41 (13.23%) | 9 (13.43%) | p > 0.9 |
| Prognostic variables | |||
| Death during admission (n, %) | 19 (6.13%) | 3 (4.48%) | p = 0.8 |
| Death at 12 months (n, %) | 32 (10.32%) | 4 (5.97%) | p = 0.23 |
| 12 months readmission (n, %) | 111 (35.81%) | 21 (31.34%) | p = 0.27 |
Disclaimer/Publisher’s Note: The statements, opinions and data contained in all publications are solely those of the individual author(s) and contributor(s) and not of MDPI and/or the editor(s). MDPI and/or the editor(s) disclaim responsibility for any injury to people or property resulting from any ideas, methods, instructions or products referred to in the content. |
© 2024 by the authors. Licensee MDPI, Basel, Switzerland. This article is an open access article distributed under the terms and conditions of the Creative Commons Attribution (CC BY) license (https://creativecommons.org/licenses/by/4.0/).
Share and Cite
Guzmán-Carreras, A.; San Miguel-Agudo, J.; Paz-Cabezas, M.; Bernabeu-Wittel, M.; Muñoz-Rivas, N.; Sánchez-Sauce, B.; Aguilar-Rodríguez, F.; Cabeza-Osorio, L.; Andrès, E.; Lorenzo-Villalba, N.; et al. Low Muscle Strength Assessed with Dynamometry in Elderly Polypathological Patients with Acute Heart Failure: PROFUND-IC Registry. J. Clin. Med. 2024, 13, 4873. https://doi.org/10.3390/jcm13164873
Guzmán-Carreras A, San Miguel-Agudo J, Paz-Cabezas M, Bernabeu-Wittel M, Muñoz-Rivas N, Sánchez-Sauce B, Aguilar-Rodríguez F, Cabeza-Osorio L, Andrès E, Lorenzo-Villalba N, et al. Low Muscle Strength Assessed with Dynamometry in Elderly Polypathological Patients with Acute Heart Failure: PROFUND-IC Registry. Journal of Clinical Medicine. 2024; 13(16):4873. https://doi.org/10.3390/jcm13164873
Chicago/Turabian StyleGuzmán-Carreras, Alicia, Jorge San Miguel-Agudo, Mateo Paz-Cabezas, Máximo Bernabeu-Wittel, Nuria Muñoz-Rivas, Beatriz Sánchez-Sauce, Fernando Aguilar-Rodríguez, Luis Cabeza-Osorio, Emmanuel Andrès, Noel Lorenzo-Villalba, and et al. 2024. "Low Muscle Strength Assessed with Dynamometry in Elderly Polypathological Patients with Acute Heart Failure: PROFUND-IC Registry" Journal of Clinical Medicine 13, no. 16: 4873. https://doi.org/10.3390/jcm13164873
APA StyleGuzmán-Carreras, A., San Miguel-Agudo, J., Paz-Cabezas, M., Bernabeu-Wittel, M., Muñoz-Rivas, N., Sánchez-Sauce, B., Aguilar-Rodríguez, F., Cabeza-Osorio, L., Andrès, E., Lorenzo-Villalba, N., & Méndez-Bailón, M., on behalf of all the researchers of the PROFUND-IC Registry from the Spanish Society of Internal Medicine. (2024). Low Muscle Strength Assessed with Dynamometry in Elderly Polypathological Patients with Acute Heart Failure: PROFUND-IC Registry. Journal of Clinical Medicine, 13(16), 4873. https://doi.org/10.3390/jcm13164873

