To Shrink or Not to Shrink? An Objective Assessment of Free Gracilis Muscle Volume Change in Lower-Extremity Defect Reconstruction
Abstract
1. Introduction
2. Materials and Methods
2.1. Study Population and Surgical Technique
2.2. 3D Surface Imaging Device (3DSI)
2.3. 3D Image Acquisition
2.4. Data Evaluation
2.5. Statistical Analysis
3. Results
3.1. Subject Demographics
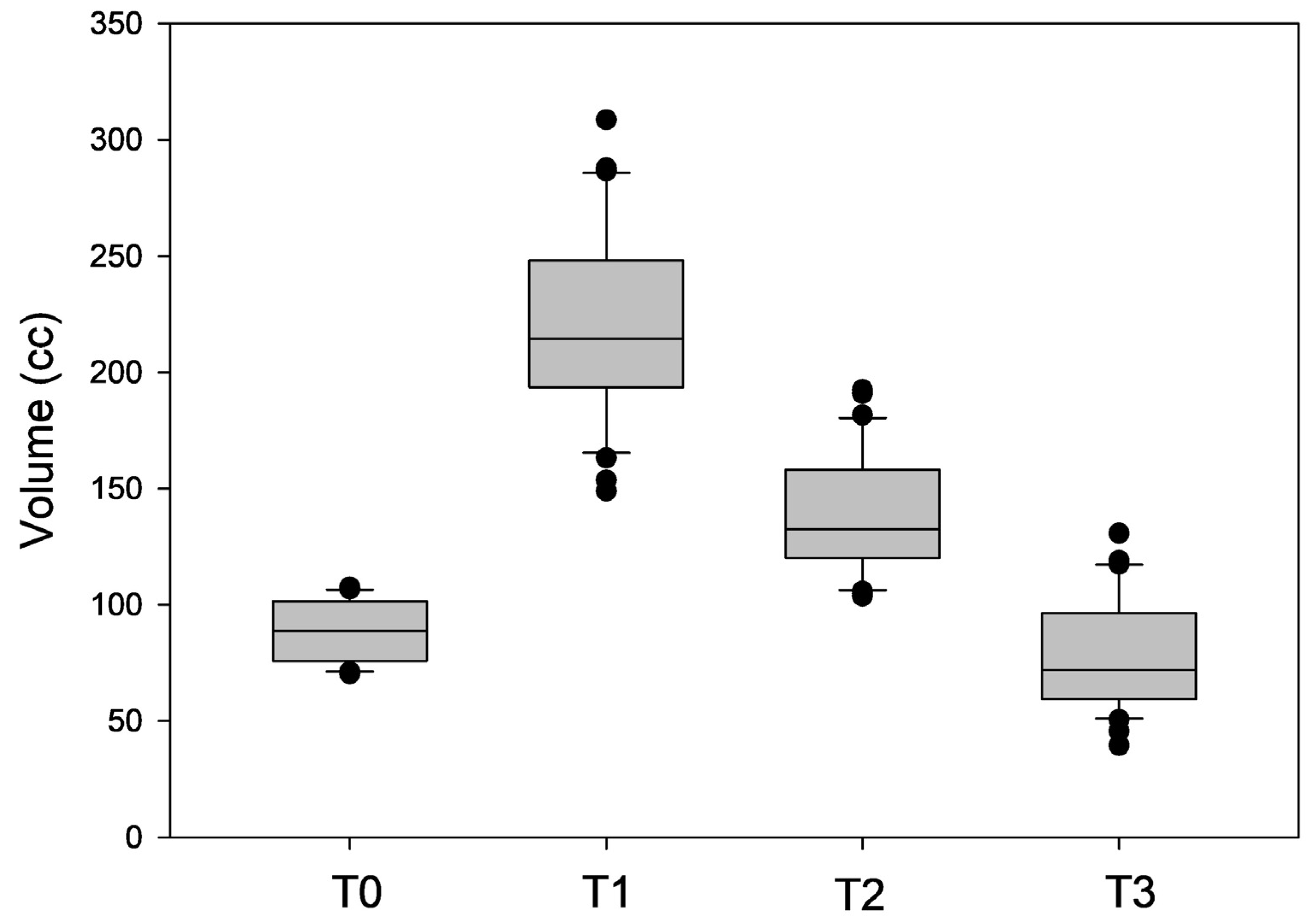
3.2. Volume Loss and Postoperative Volume Changes
4. Discussion
5. Conclusions
Author Contributions
Funding
Institutional Review Board Statement
Informed Consent Statement
Data Availability Statement
Conflicts of Interest
References
- Scampa, M.; Mégevand, V.; Suva, D.; Kalbermatten, D.F.; Oranges, C.M. Free versus Pedicled Flaps for Lower Limb Reconstruction: A Meta-Analysis of Comparative Studies. J. Clin. Med. 2022, 11, 3672. [Google Scholar] [CrossRef] [PubMed]
- Kang, M.J.; Chung, C.H.; Chang, Y.J.; Kim, K.H. Reconstruction of the lower extremity using free flaps. Arch. Plast. Surg. 2013, 40, 575–583. [Google Scholar] [CrossRef]
- Basheer, M.H.; Wilson, S.M.; Lewis, H.; Herbert, K. Microvascular free tissue transfer in reconstruction of the lower limb. J. Plast. Reconstr. Aesthet. Surg. 2008, 61, 525–528. [Google Scholar] [CrossRef] [PubMed]
- Harii, K.; Ohmori, K.; Sekiguchi, J. The free musculocutaneous flap. Plast. Reconstr. Surg. 1976, 57, 294–303. [Google Scholar] [CrossRef]
- Heidekrueger, P.I.; Ehrl, D.; Ninkovic, M.; Thiha, A.; Prantl, L.; Herter, F.; Mueller, C.; Broer, P.N. The spreaded gracilis flap revisited: Comparing outcomes in lower limb reconstruction. Microsurgery 2017, 37, 873–880. [Google Scholar] [CrossRef]
- Huemer, G.M.; Dunst, K.M.; Maurer, H.; Ninkovic, M. Area enlargement of the gracilis muscle flap through microscopically aided intramuscular dissection: Ideas and innovations. Microsurgery 2004, 24, 369–373. [Google Scholar] [CrossRef]
- Holle, J.; Worseg, A.; Kuzbari, R.; Würinger, E.; Alt, A. The extended gracilis muscle flap for reconstruction of the lower leg. Br. J. Plast. Surg. 1995, 48, 353–359. [Google Scholar] [CrossRef] [PubMed]
- Paro, J.; Chiou, G.; Sen, S.K. Comparing Muscle and Fasciocutaneous Free Flaps in Lower Extremity Reconstruction—Does It Matter? Ann. Plast. Surg. 2016, 76 (Suppl. 3), S213–S215. [Google Scholar] [CrossRef]
- Demirtas, Y.; Kelahmetoglu, O.; Cifci, M.; Tayfur, V.; Demir, A.; Guneren, E. Comparison of free anterolateral thigh flaps and free muscle-musculocutaneous flaps in soft tissue reconstruction of lower extremity. Microsurgery 2010, 30, 24–31. [Google Scholar] [CrossRef]
- Haasbeek, J.F.; Zuker, R.M.; Wright, J.G. Free gracilis muscle transfer for coverage of severe foot deformities. J. Pediatr. Orthop. 1995, 15, 608–612. [Google Scholar] [CrossRef]
- Kang, C.M.; Shim, J.S.; Park, S.H.; Jeong, Y.J.; Seol, K.H.; Kwak, S.G. Volume Change of Muscle and Fat Portions of Latissimus Dorsi Myocutaneous Flap after Breast Reconstruction. Plast. Reconstr. Surgery Glob. Open 2021, 9, e3536. [Google Scholar] [CrossRef]
- Kauhanen, M.S.C.; Salmi, A.M.; Von Boguslawsky, E.K.; Leivo, I.V.V.; Asko-Seljavaara, S.L. Muscle fiber diameter and muscle type distribution following free microvascular muscle transfers: A prospective study. Microsurgery 1998, 18, 137–144. [Google Scholar] [CrossRef]
- Kääriäinen, M.; Kauhanen, S. Skeletal muscle injury and repair: The effect of disuse and denervation on muscle and clinical relevance in pedicled and free muscle flaps. J. Reconstr. Microsurg. 2012, 28, 581–587. [Google Scholar]
- Franco, M.J.; Nicoson, M.C.; Parikh, R.P.; Tung, T.H. Lower Extremity Reconstruction with Free Gracilis Flaps. J. Reconstr. Microsurg. 2017, 33, 218–224. [Google Scholar] [PubMed]
- Seyidova, N.; Anderson, K.; Abood, A. Comparison of patients satisfaction with aesthetic outcomes following lower extremity reconstruction: Muscle vs. fasciocutaneous free flaps. J. Plast. Reconstr. Aesthetic Surg. 2021, 74, 65–70. [Google Scholar] [CrossRef] [PubMed]
- Komor, J.K.; Kawka, M. In response to: “Comparison of patients satisfaction with aesthetic outcomes following lower extremity reconstruction: Muscle vs. fasciocutaneous free flaps”. J. Plast. Reconstr. Aesthetic Surg. 2021, 74, 890–930. [Google Scholar] [CrossRef] [PubMed]
- Salmi, A.; Lamminen, A.; Tukiainen, E.; Asko-Seljavaara, S. Magnetic resonance imaging of free muscle flaps. Eur. J. Plast. Surg. 1996, 19, 21–25. [Google Scholar] [CrossRef]
- Salmi, A.; Tukiainen, E.; Härmä, M.; Asko-Seljavaara, S. A prospective study of changes in muscle dimensions following free-muscle transfer measured by ultrasound and CT scanning. Plast. Reconstr. Surg. 1996, 97, 1443–1450. [Google Scholar] [CrossRef]
- Wettstein, R.; Largo, R.D.; Raffoul, W.; Schumacher, R.; Schaefer, D.J.; Kalbermatten, D.F. Laser scanning evaluation of atrophy after autologous free muscle transfer. Ann. Plast. Surg. 2014, 72, 680–684. [Google Scholar] [CrossRef]
- Bittermann, G.; Thönissen, P.; Poxleitner, P.; Zimmerer, R.; Vach, K.; Metzger, M.C. Microvascular transplants in head and neck reconstruction: 3D evaluation of volume loss. J. Cranio-Maxillofac. Surg. 2015, 43, 1319–1324. [Google Scholar] [CrossRef] [PubMed]
- Yamaguchi, K.; Kimata, Y.; Onoda, S.; Mizukawa, N.; Onoda, T. Quantitative analysis of free flap volume changes in head and neck reconstruction. Head Neck 2012, 34, 1403–1407. [Google Scholar] [CrossRef]
- Dennis, S.K.; Masheeb, Z.; Abouyared, M. Free flap volume changes: Can we predict ideal flap size and future volume loss? Curr. Opin. Otolaryngol. Head Neck Surg. 2022, 30, 375–379. [Google Scholar] [CrossRef]
- Calotta, N.A.; Pedreira, R.; Gene Deune, E. The Gracilis Free Flap Is a Viable Option for Large Extremity Wounds. Ann. Plast. Surg. 2018, 81, 322–326. [Google Scholar] [CrossRef]
- Hiraki, A.; Yamamoto, T.; Yoshida, R.; Nagata, M.; Kawahara, K.; Nakagawa, Y.; Matsuoka, Y.; Tanaka, T.; Hirosue, A.; Fukuma, D.; et al. Factors affecting volume change of myocutaneous flaps in oral cancer. Int. J. Oral Maxillofac. Surg. 2016, 45, 1395–1399. [Google Scholar] [CrossRef] [PubMed]
- Cho, K.J.; Joo, Y.H.; Sun DIl Kim, M.S. Perioperative clinical factors affecting volume changes of reconstructed flaps in head and neck cancer patients: Free versus regional flaps. Eur. Arch. Oto-Rhino-Laryngol. 2011, 268, 1061–1065. [Google Scholar] [CrossRef]
- Sakakibara, A.; Kusumoto, J.; Sakakibara, S.; Hasegawa, T.; Akashi, M.; Minamikawa, T.; Furudoi, S.; Hashikawa, K.; Komori, T. Long-Term Effects on Volume Change in Musculocutaneous Flaps after Head and Neck Reconstruction. J. Reconstr. Microsurg. 2019, 35, 235–243. [Google Scholar] [CrossRef]
- Yokoi, S.; Nishio, N.; Fujimoto, Y.; Fujii, M.; Iwami, K.; Hayashi, Y.; Takanari, K.; Hiramatsu, M.; Maruo, T.; Mukoyama, N.; et al. Feasibility of virtual surgical simulation in the head and neck region for soft tissue reconstruction using free flap: A comparison of preoperative and postoperative volume measurement. Int. J. Oral Maxillofac. Surg. 2021, 50, 316–322. [Google Scholar] [CrossRef] [PubMed]
- Kagaya, Y.; Arikawa, M.; Sekiyama, T.; Higashino, T.; Akazawa, S. Chronological flap volume and distribution changes after reconstruction of total maxillectomy defect using a rectus abdominis myocutaneous flap. J. Plast. Reconstr. Aesthet. Surg. 2021, 74, 3341–3352. [Google Scholar] [CrossRef] [PubMed]
- Sakamoto, Y.; Takahara, T.; Ota, Y.; Aoki, T.; Yamazaki, H.; Otsuru, M.; Takahashi, M.; Aoyama, K.I.; Kaneko, A.; Kawada, S.; et al. MRI analysis of chronological changes in free-flap volume in head and neck reconstruction by volumetry. Tokai J. Exp. Clin. Med. 2014, 39, 44–50. [Google Scholar]
- Ruewe, M.; Eigenberger, A.; Klein, S.M.; von Riedheim, A.; Gugg, C.; Prantl, L.; Palm, C.; Weiherer, M.; Zeman, F.; Anker, A.M. Precise Monitoring of Returning Sensation in Digital-Nerve Lesions by Three-Dimensional Imaging: A Proof-of-Concept Study. Plast. Reconstr. Surg. 2023, 152, 670e–674e. [Google Scholar]
- Pfister, P.; Müller, S.L.C.; Eberhardt, A.-L.; Rodriguez, M.; Menzi, N.; Haug, M.; Schaefer, D.J.; Kappos, E.A.; Ismail, T. Impact of Adjuvant Radiotherapy on Free Flap Volume in Autologous Breast Reconstruction: A Scoping Review. J. Clin. Med. 2023, 13, 217. [Google Scholar] [CrossRef]
- Kauhanen, M.S.C.; Lorenzetti, F.; Leivo, I.V.V.; Tukiainien, E.; Asko-Seljavaara, S.L. Long-term morphometric and immunohistochemical findings in human free microvascular muscle flaps. Microsurgery 2004, 24, 30–38. [Google Scholar] [CrossRef] [PubMed]
- Ohira, Y.; Yoshinaga, T.; Nonaka, I.; Ohara, M.; Yoshioka, T.; Yamashita-Goto, K.; Izumi, R.; Yasukawa, K.; Sekiguchi, C.; Shenkman, B.S.; et al. Histochemical responses of human soleus muscle fibers to long-term bedrest with or without countermeasures. Jpn. J. Physiol. 2000, 50, 41–47. [Google Scholar] [CrossRef] [PubMed]
- Kääriäinen, M.; Giordano, S.; Kauhanen, S.; Lääperi, A.-L.; Mattila, P.; Helminen, M.; Kalimo, H.; Kuokkanen, H. The significance of latissimus dorsi flap innervation in delayed breast reconstruction: A prospective randomized study-magnetic resonance imaging and histologic findings. Plast. Reconstr. Surg. 2011, 128, 637e–645e. [Google Scholar] [CrossRef]
- Brower, R.G. Consequences of bed rest. Crit. Care Med. 2009, 37, S422–S428. [Google Scholar] [CrossRef] [PubMed]
- Woo, S.H.; Kim, Y.C.; Jeong, W.S.; Choi, J.W. A 3-Dimensional Analysis of Flap Volume Change in Hemi-Tongue Reconstruction. Ann. Plast Surg. 2022, 89, e45–e50. [Google Scholar] [CrossRef] [PubMed]
- Yamazaki, M.; Suzuki, T.; Hiraga, C.; Yoshida, Y.; Baba, A.; Saitou, H.; Ogane, S.; Fujii, T.; Takano, M.; Katakura, A.; et al. Effect of postoperative radiotherapy for free flap volume changing after tongue reconstruction. Oral Radiol. 2021, 37, 518–523. [Google Scholar] [CrossRef]
- Park, T.S.; Seo, J.Y.; Razzokov, A.S.; Choi, J.S.; Kim, M.W.; Lee, J.W.; Kim, H.Y.; Jung, Y.J.; Choo, K.S.; Song, K.H.; et al. Volumetric change of the latissimus dorsi muscle after postoperative radiotherapy in immediate breast reconstruction with an extended latissimus dorsi musculocutaneous flap. Arch. Plast. Surg. 2020, 47, 135–139. [Google Scholar] [CrossRef]
- Pfister, P.; Speck, N.E.; Gahl, B.; Muller, L.; Fürst, T.; Kappos, E.A.; Schaefer, D.J.; Largo, R.D.; Ismail, T. Impact of adjuvant radiochemotherapy on free flap volume in head and neck reconstruction: A systematic review and meta-analysis. J. Plast. Reconstr. Aesthetic. Surg. 2024, 91, 24–34. [Google Scholar] [CrossRef]
- Dornseifer, U.; Pfeiler, P.P.; Kargl, L.; Moog, P.; Schilling, A.F.; Ninkovic, M. Negative Pressure Wound Therapy in Free Muscle Flaps-Risk or Benefit? J. Reconstr. Microsurg. 2024, 40, 197–204. [Google Scholar] [CrossRef]
- Duncan, C.; Pears, N.E.; Dai, H.; Smith, W.A.P.; O’Higgins, P. Applications of 3D Photography in Craniofacial Surgery. J. Pediatr. Neurosci. 2022, 17, S21–S28. [Google Scholar] [CrossRef]
- Knoops, P.G.M.; Beaumont, C.A.A.; Borghi, A.; Rodriguez-Florez, N.; Breakey, R.W.F.; Rodgers, W.; Angullia, F.; Jeelani, N.U.O.; Schievano, S.; Dunaway, D.J. Comparison of three-dimensional scanner systems for craniomaxillofacial imaging. J. Plast. Reconstr. Aesthetic Surg. 2017, 70, 441–449. [Google Scholar] [CrossRef] [PubMed]
- Tsuruta, Y.; Yano, T.; Kuramoto, Y.; Suesada, N.; Fuse, Y.; Karakawa, R.; Yoshimatsu, H.; Tanakura, K.; Miyashita, H. Breast Shape Evaluation After Free Flap Breast Reconstruction After More Than 10 Years Follow-up Using 3-Dimensional Imaging Device. Ann. Plast. Surg. 2022, 88, 555–559. [Google Scholar] [CrossRef] [PubMed]
- Lee, M.K.; Park, H.Y.; Park, J.W.; Mun, G.H.; Woo, K.J. Three-dimensional Volume Changes of the Reconstructed Breast Following DIEP Flap Breast Reconstruction. J. Reconstr. Microsurg. 2022, 39, 427–434. [Google Scholar] [CrossRef]
- Kim, J.I.; Chung, J.H.; Kwon, O.; Min Park, J.; Wu, H.G. Correlation between 3D scanner image and MRI for tracking volume changes in head and neck cancer patients. J. Appl. Clin. Med. Phys. 2021, 22, 86–93. [Google Scholar] [CrossRef]
- Chae, M.P.; Rozen, W.M.; Spychal, R.T.; Hunter-Smith, D.J. Breast volumetric analysis for aesthetic planning in breast reconstruction: A literature review of techniques. Gland Surg. 2016, 5, 212–226. [Google Scholar] [PubMed]
- Beaumont, C.A.A.; Knoops, P.G.M.; Borghi, A.; Jeelani, N.U.O.; Koudstaal, M.J.; Schievano, S.; Dunaway, D.J.; Rodriguez-Florez, N. Three-dimensional surface scanners compared with standard anthropometric measurements for head shape. J. Cranio-Maxillofac. Surg. 2017, 45, 921–927. [Google Scholar] [CrossRef] [PubMed]
- Fujioka, M.; Masuda, K.; Imamura, Y. Fatty tissue atrophy of free flap used for head and neck reconstruction. Microsurgery 2011, 31, 32–35. [Google Scholar] [CrossRef]




| Ref. | Flap | Content of Flap | Recipient Site | n | Total Volume Assessment | Baseline (100%) | T1 (2 w) vs. Baseline | T2 (6 m) vs. Baseline | T3 (12 m) vs. Baseline | T4 (24 m) vs. Baseline | T5 (60 m) vs. Baseline |
|---|---|---|---|---|---|---|---|---|---|---|---|
| Mean | |||||||||||
| [19] | Free Gracilis Muscle | Muscle | Lower extremity | 10 | 3D Laser surface scanning | 2 w post-op | 30.4% | 19% | |||
| [17] | Free LDM (7), RAM (3) | Muscle | Lower extremity | 10 | Baseline: Water displacement; T1+2: MRI | Intraoperative | 188% | 81.4% | |||
| [24] | Free LDM (10), RAM (10), PMMC (10) | Myocutaneous | Oral cavity | 30 | CT | 1 m post-op | 78.1% | 71.4% | |||
| [25] | Pedicled PMMC | Myocutaneous | Head and neck | 7 | CT/MRI | 3 m post-op | 96.9% | 89.4% | |||
| [26] | Free LDM (18); Free RAM (7); Pedicled PMMC (10) | Myocutaneous | Head and neck | 35 | CT | 1 m post-op | 54.3% | 42% | |||
| [27] | Free RAM | Myocutaneous | Head and neck (Skull base) | 13 | CT | 1 d post-op | 66% | 71% | |||
| [28] | Free RAM | Myocutaneous | Reconstruction following maxillectomy | 20 | CT/MRI | 1 m (5–30 d) post-op | 67% (181–360 d post-op) | ||||
| [29] | Free RAM | Myocutaneous | Head and neck | 21 | MRI | 1 m post-op | 76.9% | ||||
| This study | Free Gracilis Muscle | Muscle | Lower extremity | 31 | 3D surface imaging (VECTRA H2) | Intraoperative | 246.7% | 156.13% | 85.5% | ||
Disclaimer/Publisher’s Note: The statements, opinions and data contained in all publications are solely those of the individual author(s) and contributor(s) and not of MDPI and/or the editor(s). MDPI and/or the editor(s) disclaim responsibility for any injury to people or property resulting from any ideas, methods, instructions or products referred to in the content. |
© 2024 by the authors. Licensee MDPI, Basel, Switzerland. This article is an open access article distributed under the terms and conditions of the Creative Commons Attribution (CC BY) license (https://creativecommons.org/licenses/by/4.0/).
Share and Cite
Koban, K.C.; Kuhlmann, C.; Wachtel, N.; Hirschmann, M.; Hellweg, M.; Karcz, K.W.; Giunta, R.E.; Ehrl, D. To Shrink or Not to Shrink? An Objective Assessment of Free Gracilis Muscle Volume Change in Lower-Extremity Defect Reconstruction. J. Clin. Med. 2024, 13, 4811. https://doi.org/10.3390/jcm13164811
Koban KC, Kuhlmann C, Wachtel N, Hirschmann M, Hellweg M, Karcz KW, Giunta RE, Ehrl D. To Shrink or Not to Shrink? An Objective Assessment of Free Gracilis Muscle Volume Change in Lower-Extremity Defect Reconstruction. Journal of Clinical Medicine. 2024; 13(16):4811. https://doi.org/10.3390/jcm13164811
Chicago/Turabian StyleKoban, Konstantin Christoph, Constanze Kuhlmann, Nikolaus Wachtel, Maximilian Hirschmann, Marc Hellweg, Konrad Wojcieck Karcz, Riccardo Enzo Giunta, and Denis Ehrl. 2024. "To Shrink or Not to Shrink? An Objective Assessment of Free Gracilis Muscle Volume Change in Lower-Extremity Defect Reconstruction" Journal of Clinical Medicine 13, no. 16: 4811. https://doi.org/10.3390/jcm13164811
APA StyleKoban, K. C., Kuhlmann, C., Wachtel, N., Hirschmann, M., Hellweg, M., Karcz, K. W., Giunta, R. E., & Ehrl, D. (2024). To Shrink or Not to Shrink? An Objective Assessment of Free Gracilis Muscle Volume Change in Lower-Extremity Defect Reconstruction. Journal of Clinical Medicine, 13(16), 4811. https://doi.org/10.3390/jcm13164811

