Prospective Study: Utility of Anterior Segment Optical Coherence Tomography to Identify Predictive Factors of Recurrence in Pterygium Surgery
Abstract
1. Introduction
2. Materials and Methods
2.1. Study Design
2.2. Inclusion Criteria
2.3. Treatment Protocol
- Compressive occlusion for 24–48 h with antibiotic and corticosteroid ointment.
- Anti-inflammatory eye drops: Dexamethasone 0.1% for 5 weeks: every 3 h × 7 days; every 6 h × 7 days; every 8 h × 7 days; every 12 h × 7 days; every 24 h × 7 days; and discontinue.
- Ofloxacin 0.3% eye drops for one week every 8 h.
- Preservative-free artificial tears every 2/3 h during the first month and then every 4 h for 3 months.
2.4. Clinical Assessment Protocol
- First, 4 variables were obtained from the SLE assessment carried out in routine clinical practice (preoperatively, classifying the pterygium as atrophic, intermediate, or fleshy, and postoperatively, identifying graft alterations, the presence or absence of recurrence, and pattern of recurrence, as detailed below).
- Then, 10 anatomic variables were obtained from the AS-OCT protocol “PTERIGIUM” designed specifically for this study, which includes the global scan and 2D analysis (for manual measurement of 10 anatomical variables of the pterygium or graft, as detailed below) and the topographic axial power map (to obtain the keratometric, posterior, and real map, for future analysis).
- Drawing a line perpendicular to the ocular surface at the level of the scleral spur.
- The intersection of this line with the ocular surface is the reference point from which measurements, towards the cornea or towards the bulbar conjunctiva or graft, were obtained.
2.5. Statistical Analysis
3. Results
3.1. Descriptive Analysis
3.2. Complication Rates
3.3. Prognostic Factors of Recurrence
3.3.1. Preoperatively
- When the total TotalT2mm at T0 increases by 1 micron, the odds of recurrence (equivalent to the probability) is multiplied by 1.005; i.e., the risk increases by 0.5%. In other words, an increase of 10 microns increases the risk by 5%. This relationship is very close to statistical significance (p = 0.055).
- When the total TotalT3mm at T0 increases by 1 micron, the odds of recurrence are multiplied by 1.008; i.e., the risk increases by 0.8%. In other words, an increase of 10 microns increases the risk by 8%. This relationship is statistically significant (p = 0.029).
3.3.2. Postoperatively
- When the epithelial EpitT1mm in T1 increases by 1 micron, the odds of recurrence are multiplied by 1.014; i.e., the risk increases by 1.4%. In other words, an increase of 10 microns increases the risk by 14%. This relationship is very close to statistical significance (p = 0.061).
- When the stromal stromT1mm in T1 increases by 1 micron, the odds of recurrence are multiplied by 1.008; i.e., the risk increases by 0.8%. In other words, an increase of 10 microns increases the risk by 8%. This relationship is statistically significant (p = 0.003).
- When the total TotalT3mm in T1 increases by 1 micron, the odds of recurrence (equivalent to the probability) are multiplied by 1.016; i.e., the risk increases by 1.6%. In other words, an increase of 10 microns increases the risk by 16%. This relationship is statistically significant (p = 0.006).
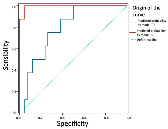
3.4. Predictive Ability of the Models
4. Discussion
- Total thickness at 3 mm preoperatively appears significantly increased in patients who developed recurrence.
- Epithelial and stromal thickness at 1 mm and total thickness at 3 mm one week after surgery are useful for predicting recurrence.
5. Conclusions
Author Contributions
Funding
Institutional Review Board Statement
Informed Consent Statement
Data Availability Statement
Conflicts of Interest
References
- Janson, B.J.; Sikder, S. Surgical Management of Pterygium. Ocul. Surf. 2014, 12, 2. [Google Scholar] [CrossRef]
- Hilgers, J. Pterygium: Its incidence, heredity and etiology. Am. J. Ophthalmol. 1960, 50, 635–644. [Google Scholar] [CrossRef]
- Forsius, H.; Eriksson, A. Pterygium and its relation to arcus senilis, pinguecula and other similar conditions. Acta Ophthalmol. 1962, 40, 402. [Google Scholar] [CrossRef]
- Mackenzie, F.D.; Hirst, L.W.; Battistutta, D.; Green, A. Risk analysis in the development of pterygia. Ophthalmology 1992, 99, 1056–1061. [Google Scholar] [CrossRef]
- Gasser, T.; Romano, V.; Seifarth, C.; Bechrakis, N.E.; Kaye, S.B.; Steger, B. Morphometric characterisation of pterygium associated with corneal stromal scarring using high-resolution anterior segment optical coherence tomography. Br. J. Ophthalmol. 2016, 101, 660–664. [Google Scholar] [CrossRef]
- Kheirkhah, A.; Adelpour, M.; Nikdel, M.; Ghaffari, R.; Ghassemi, H.; Hashemi, H. Evaluation of Conjunctival Graft Thickness after Pterygium Surgery by Anterior Segment Optical Coherence Tomography. Curr. Eye Res. 2011, 36, 782–786. [Google Scholar] [CrossRef]
- Welch, M.; Reilly, C.; Kalwerisky, K.; Johnson, A.; Waller, S. Pterygia measurements are more accurate with anterior segment optical coherence tomography—A pilot study. Nepal. J. Ophthalmol. 2011, 3, 9–12. [Google Scholar] [CrossRef]
- Detorakis, E.T.; Spandidos, D.A. Pathogenetic mechanisms and treatment options for ophthalmic pterygium: Trends and perspectives (Review). Int. J. Mol. Med. 2009, 23, 439–447. [Google Scholar] [CrossRef]
- Gündüz, A.K.; Mirzayev, I.; Okcu Heper, A.; Kuzu, I.; Gahramanli, Z.; Cansiz Ersöz, C.; Gündüz, Ö.Ö.; Ataoğlu, Ö. Anterior segment optical coherence tomography in ocular surface tumours and simulating lesions. Eye 2023, 37, 925–937. [Google Scholar] [CrossRef]
- Pujol, P.; Julio, G.; Barbany, M.; Asaad, M. Healing indicators after pterygium excision by optical coherence tomography. Ophthalmic Physiol. Opt. 2015, 35, 308–314. [Google Scholar] [CrossRef]
- Urrutia, I.; Teresa, M. Comunicación solicitada 82 Congreso de la Sociedad Española de Oftalmología. A Coruña. Cirugía del Pterigión; Sociedad Española de Oftalmología: Madrid, Spain, 2006; ISBN 84-89085-31-5. [Google Scholar]
- Mohammed, I. Treatment of pterygium. Ann. Afr. Med. 2011, 10, 197–203. [Google Scholar] [CrossRef] [PubMed]
- Hirst, L.W. The treatment of pterygium. Surv. Ophthalmol. 2003, 48, 145–180. [Google Scholar] [CrossRef]
- Clearfield, E.; Muthappan, V.; Wang, X.; Kuo, I.C. Conjunctival autograft for pterygium. Cochrane Database Syst. Rev. 2016, 2, CD011349. [Google Scholar] [CrossRef] [PubMed]
- Sanchez-Thorin, J.C.; Rocha, G.; Yelin, J.B. Meta-analysis on the recurrence rates after bare sclera resection with and without mitomycin C use and conjunctival autograft placement in surgery for primary pterygium. Br. J. Ophthalmol. 1998, 82, 661–665. [Google Scholar] [CrossRef]
- Ang, L.P.; Chua, J.L.; Tan, D.T. Current concepts and techniques in pterygium treatment. Curr. Opin. Ophthalmol. 2007, 18, 308–313. [Google Scholar] [CrossRef] [PubMed]
- Romano, V.; Cruciani, M.; Conti, L.; Fontana, L. Fibrin glue versus sutures for conjunctival autografting in primary pterygium surgery. Cochrane Database Syst. Rev. 2016, 12, CD011308. [Google Scholar] [CrossRef] [PubMed]
- Shaaban, A.M.; Elwan, M.D. Comparison between sutureless and glue free versus sutured limbal conjunctival autograft in primary pterygium surgery. Saudi J. Ophthalmol. 2014, 28, 292–298. [Google Scholar]
- Koranyi, G.; Seregard, S.; Kopp, E.D. Cut and paste: A no suture, small incision approach to pterygium surgery. Br. J. Ophthalmol. 2004, 88, 911–914. [Google Scholar] [CrossRef]
- Koranyi, G.; Seregard, S.; Kopp, E.D. The cut-and-paste method for primary pterygium surgery: Long-term follow-up. Acta Ophthalmol. Scand. 2005, 83, 298–301. [Google Scholar] [CrossRef]
- Patel, E.D.; Rhee, M.K. Surgical Techniques and Adjuvants for the Management of Pterygium. Eye Contact Lens 2022, 48, 3–13. [Google Scholar] [CrossRef]
- Batur, M.; Seven, E.; Tekin, S.; Özer, M.D.; Demir, M.S.; Yaşar, T. The role of anterior segment optical coherence tomography in the evaluation of the pterygium. Photodiagnosis Photodyn. Ther. 2023, 43, 103704. [Google Scholar] [CrossRef] [PubMed]
- Başkan, C.; Kılıcarslan, A. How Can We Diagnose Ocular Surface Squamous Neoplasia with Optical Coherence Tomography? Cureus 2023, 15, e36320. [Google Scholar] [CrossRef] [PubMed]
- Lozano García, I.; Romero Caballero, M.D.; Sellés Navarro, I. High resolution anterior segment optical coherence tomography for differential diagnosis between corneo-conjunctival intraepithelial neoplasia and pterygium. Arch. Soc. Esp. Oftalmol. 2020, 95, 108–113, (In English and Spanish). [Google Scholar] [CrossRef] [PubMed]
- Soliman, W.; Mohamed, T.A. Spectral domain anterior segment optical coherence tomography assessment of pterygium and pinguecula. Acta Ophthalmol. 2012, 90, 461–465. [Google Scholar] [CrossRef] [PubMed]
- Kara, N.; Yuksel, K.; Bozkurt, E.; Gencer, B.; Demirok, A.; Ozgurhan, E. Comparison of conjunctival graft thickness after primary and recurrent pterygium surgery: Anterior segment optical coherence tomography study. Indian J. Ophthalmol. 2014, 62, 675–679. [Google Scholar] [CrossRef] [PubMed]
- Idoipe, M.; de la Sen-Corcuera, B.; Sánchez-Ávila, R.M.; Sánchez-Pérez, C.; Satué, M.; Sánchez-Pérez, A.; Orive, G.; Muruzabal, F.; Anitua, E.; Pablo, L. Membrane of Plasma Rich in Growth Factors in Primary Pterygium Surgery Compared to Amniotic Membrane Transplantation and Conjunctival Autograft. J. Clin. Med. 2021, 10, 5711. [Google Scholar] [CrossRef] [PubMed]
- Alpay, A.; Uğurbaş, S.H.; Erdoğan, B. Comparing techniques for pterygium surgery. Clin. Ophthalmol. 2009, 3, 69–74. [Google Scholar] [PubMed]
- Karalezli, A.; Kucukerdonmez, C.; Akova, Y.A.; Altan-Yaycioglu, R.; Borazan, M. Fibrin glue versus sutures for conjunctival autografting in pterygium surgery: A prospective comparative study. Br. J. Ophthalmol. 2008, 92, 1206–1210. [Google Scholar] [CrossRef] [PubMed]
- Ghiasian, L.; Samavat, B.; Hadi, Y.; Arbab, M.; Abolfathzadeh, N. Recurrent Pterygium: A Review. J. Curr. Ophthalmol. 2022, 33, 367–378. [Google Scholar]
- Biender, B.; Bigger, Y.; Rothkoff, L.; Sachs, U. Pterygium and basic tear secretion. Ann. Ophthalmol. 1979, 11, 1235–1236. [Google Scholar]
- Zhou, L.; Beuerman, R.W.; Ang, L.P.; Chan, C.M.; Li, S.F.; Chew, F.T.; Tan, D.T. Elevation of human α-defensins and S100 calcium binding protein A8 and A9 in tear fluid of pterygium patients. Invest. Ophthalmol. Vis. Sci. 2009, 50, 2077–2086. [Google Scholar] [CrossRef] [PubMed][Green Version]
- Tong, L.; Li, J.; Chew, J.; Tan, D.; Beuerman, R. Phospholipase D in the human ocular surface and in pterygium. Cornea 2008, 27, 693–698. [Google Scholar] [CrossRef] [PubMed]
- Chong, Y.J.; Azzopardi, M.; Hussain, G.; Recchioni, A.; Gandhewar, J.; Loizou, C.; Giachos, I.; Barua, A.; Ting, D.S.J. Clinical Applications of Anterior Segment Optical Coherence Tomography: An Updated Review. Diagnostics 2024, 14, 122. [Google Scholar] [CrossRef] [PubMed]







| Category | OR | IC 95% | p-Value | |
|---|---|---|---|---|
| Gender | Male | 1 | 0.376 | |
| Female | 2.02 | 0.43–9.55 | ||
| Age | 0.98 | 0.83–1.15 | 0.806 | |
| Eye | Left | 1 | 0.687 | |
| Right | 0.73 | 0.15–3.44 | ||
| Bilaterality | No | 1 | 0.519 | |
| Yes | 0.6 | 0.13–2.84 | ||
| Atrophic/intermediate/fleshy | Atrophic | --- | 0.641 (Chi2) | |
| Intermediate | 1 | |||
| Fleshy | 0.83 | 0.17–3.96 | 0.810 | |
| Nasal/temporal | --- | |||
| --- | --- | 1.000 (Fis) | ||
| Nodular/flat | Nodular | 1 | ||
| Flat | 2.19 | 0.4 -19.9 | 0.488 | |
| LimbusT T0 | 1.001 | 0.997–1.005 | 0.713 | |
| CentreT T0 | 0.999 | 0.995–1.004 | 0.729 | |
| HeadT T0 | 0.990 | 0.977–1.003 | 0.137 | |
| Horizontal corneal invasion | 1.000 | 0.999–1.001 | 0698 | |
| EpiT1mm T0 | 1.001 | 0.969–1.034 | 0.967 | |
| StromT1mm T0 | 1.002 | 0.997–1.007 | 0.380 | |
| TotalT1mm T0 | 1.002 | 0.997–1.006 | 0.410 | |
| TotalT2mm T0 | 1.005 | 1.000–1.011 | 0.055 | |
| TotalT3mm T0 | 1.008 | 1.001–1.014 | 0.029 * | |
| Satellite mass T0 | No | --- | ||
| Yes | --- | --- | 0.529 (Fis) | |
| EpitT1mm T1 | 1.014 | 0.999–1.029 | 0.061 | |
| StromT1mm T1 | 1.008 | 1.003–1.013 | 0.003 ** | |
| TotalT1mm T1 | 1.045 | 0.989–1.103 | 0.118 | |
| TotalT2mm T1 | 1.037 | 0.987–1.090 | 0.149 | |
| TotalT3mm T1 | 1.016 | 1.005–1.028 | 0.006 ** | |
| Remnant | No | 1 | ||
| Yes | 0.71 | 0.08–6.76 | 0.769 | |
| Graft alterations | No | 1 | ||
| Yes | 0.86 | 0.09–8.27 | 0.894 |
| OR | IC 95% | p-Value | |
|---|---|---|---|
| TotalT3mm T0 | 1.008 | 1.001–1.014 | 0.029 * |
| OR | IC 95% | p-Value | |
|---|---|---|---|
| StromT1mm T1 | 1.015 | 0.997–1.032 | 0.097 |
| TotalT3mm T1 | 1.021 | 0.998–1.046 | 0.079 |
Disclaimer/Publisher’s Note: The statements, opinions and data contained in all publications are solely those of the individual author(s) and contributor(s) and not of MDPI and/or the editor(s). MDPI and/or the editor(s) disclaim responsibility for any injury to people or property resulting from any ideas, methods, instructions or products referred to in the content. |
© 2024 by the authors. Licensee MDPI, Basel, Switzerland. This article is an open access article distributed under the terms and conditions of the Creative Commons Attribution (CC BY) license (https://creativecommons.org/licenses/by/4.0/).
Share and Cite
Aguilar-González, M.; España-Gregori, E.; Pascual-Camps, I.; Gómez-Lechón-Quirós, L.; Peris-Martínez, C. Prospective Study: Utility of Anterior Segment Optical Coherence Tomography to Identify Predictive Factors of Recurrence in Pterygium Surgery. J. Clin. Med. 2024, 13, 4769. https://doi.org/10.3390/jcm13164769
Aguilar-González M, España-Gregori E, Pascual-Camps I, Gómez-Lechón-Quirós L, Peris-Martínez C. Prospective Study: Utility of Anterior Segment Optical Coherence Tomography to Identify Predictive Factors of Recurrence in Pterygium Surgery. Journal of Clinical Medicine. 2024; 13(16):4769. https://doi.org/10.3390/jcm13164769
Chicago/Turabian StyleAguilar-González, Marina, Enrique España-Gregori, Isabel Pascual-Camps, Luis Gómez-Lechón-Quirós, and Cristina Peris-Martínez. 2024. "Prospective Study: Utility of Anterior Segment Optical Coherence Tomography to Identify Predictive Factors of Recurrence in Pterygium Surgery" Journal of Clinical Medicine 13, no. 16: 4769. https://doi.org/10.3390/jcm13164769
APA StyleAguilar-González, M., España-Gregori, E., Pascual-Camps, I., Gómez-Lechón-Quirós, L., & Peris-Martínez, C. (2024). Prospective Study: Utility of Anterior Segment Optical Coherence Tomography to Identify Predictive Factors of Recurrence in Pterygium Surgery. Journal of Clinical Medicine, 13(16), 4769. https://doi.org/10.3390/jcm13164769

