Relationship between Oral Lichen Planus and Cardiovascular Disease of Atherosclerotic Origin: Systematic Review and Meta-Analysis
Abstract
1. Introduction
2. Materials and Methods
2.1. Focused Question
2.2. PICO Question
2.3. Eligibility Criteria
2.4. Search Strategy
2.5. Study Selection
2.6. Data Extraction and Method of Analysis
2.7. Quality Assessment
2.8. Statistical Analysis
3. Results
3.1. Study Selection
3.2. Studies’ Methods and Characteristics
3.3. Quality Assessment
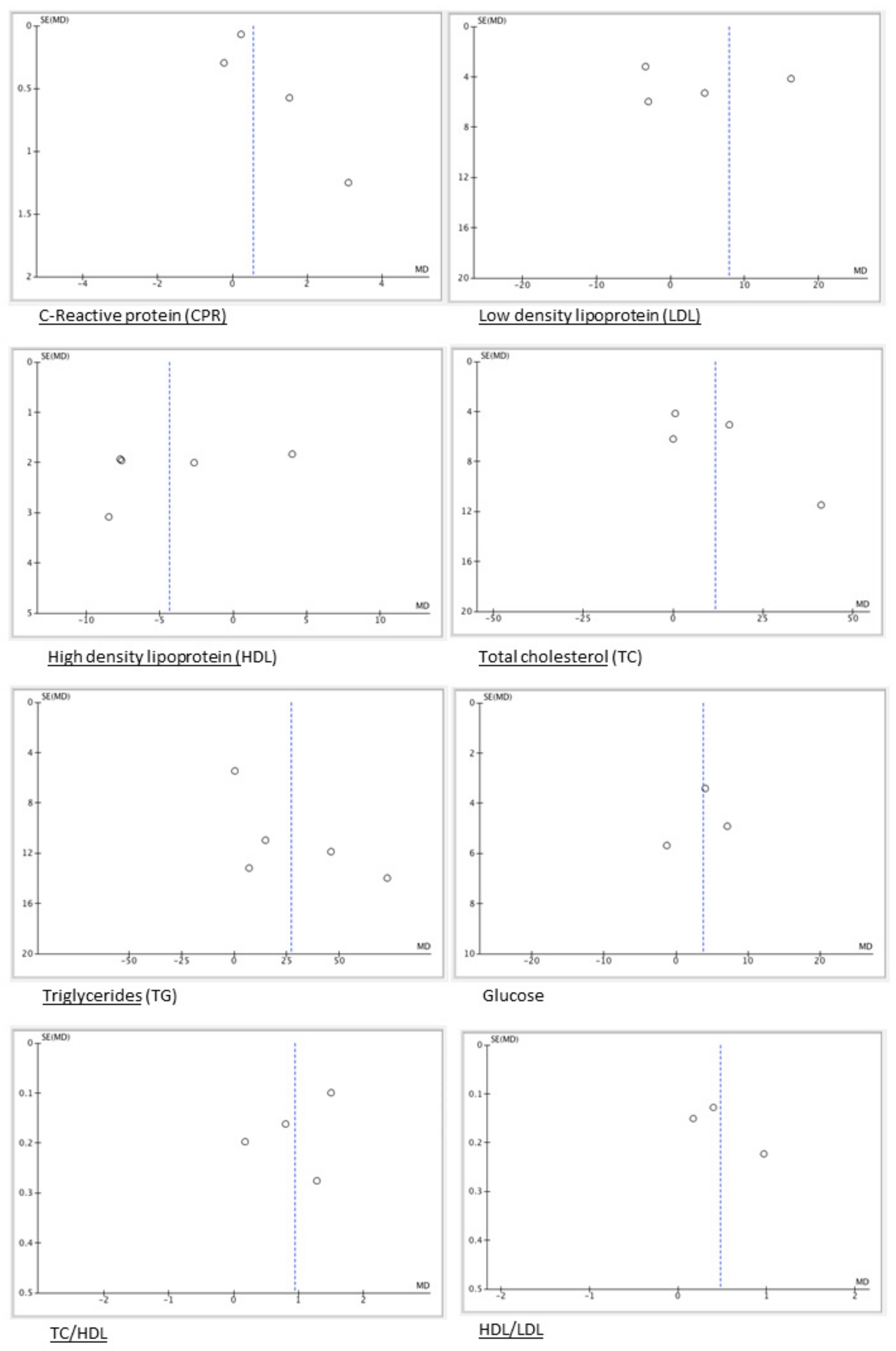
3.4. Synthesis of Results
4. Discussion
5. Conclusions
Author Contributions
Funding
Conflicts of Interest
References
- Cassol-Spanemberg, J.; Rodríguez-de Rivera-Campillo, M.E.; Otero-Rey, E.M.; Estrugo-Devesa, A.; Jané-Salas, E.; López-López, J. Oral lichen planus and its relationship with systemic diseases. A review of evidence. J. Clin. Exp. Dent. 2018, 10, e938–e944. [Google Scholar] [CrossRef] [PubMed]
- McCartan, B.E.; Healy, C.M. The reported prevalence of oral lichen planus: A review and critique. J. Oral. Pathol. Med. 2008, 37, 447–453. [Google Scholar] [CrossRef] [PubMed]
- Carrozzo, M.; Thorpe, R. Oral lichen planus: A review. Minerva Stomatol. 2009, 58, 519–537. [Google Scholar] [PubMed]
- Gorouhi, F.; Davari, P.; Fazel, N. Cutaneous and mucosal lichen planus: A comprehensive review of clinical subtypes, risk factors, diagnosis, and prognosis. Sci. World J. 2014, 2014, 742826. [Google Scholar] [CrossRef] [PubMed]
- Louisy, A.; Humbert, E.; Samimi, M. Oral Lichen Planus: An Update on Diagnosis and Management. Am. J. Clin. Dermatol. 2024, 25, 35–53. [Google Scholar] [CrossRef] [PubMed]
- Manchanda, Y.; Rathi, S.K.; Joshi, A.; Das, S. Oral Lichen Planus: An Updated Review of Etiopathogenesis, Clinical Presentation, and Management. Indian. Dermatol. Online J. 2023, 15, 8–23. [Google Scholar] [CrossRef] [PubMed]
- van der Wall, I. Oral lichen planus and oral lichenoid lesions: A critical appraisal with emphasis on the diagnostic aspects. Med. Oral, Patol. Oral. Cir. Bucal. 2009, 14, 310–314. [Google Scholar]
- Barbosa, N.; Silveira, É.; Lima, E.; Oliveira, P.; Soares, M.; de Medeiros, A. Factors associated with clinical characteristics and symptoms in a case series of oral lichen planus. Int. J. Dermatol. 2014, 54, e1–e6. [Google Scholar] [CrossRef] [PubMed]
- Cheng, Y.S.; Gould, A.; Kurago, Z.; Fantasia, J.; Muller, S. Diagnosis of oral lichen planus: A position paper of the American Academy of Oral and Maxillofacial Pathology. Oral. Surg. Oral. Med. Oral. Pathol. Oral. Radiol. 2016, 122, 332–354. [Google Scholar] [CrossRef] [PubMed]
- Bermejo-Fenoll, A.; Sánchez-Siles, M.; López-Jornet, P.; Camacho-Alonso, F.; Salazar-Sánchez, N. A retrospective clinicopathological study of 550 patients with oral lichen planus in south-eastern Spain. J. Oral Pathol. Med. 2010, 39, 491–496. [Google Scholar] [CrossRef] [PubMed]
- Krupaa, R.J.; Sankari, S.L.; Masthan, K.M.; Rajesh, E. Oral lichen planus: An overview. J. Pharm. Bioallied Sci. 2015, 7, S158–S161. [Google Scholar] [CrossRef] [PubMed]
- Blanco-Carrión, A.; Otero-Rey, E.; Peñamaría-Mallón, M.; Diniz-Freitas, M. Diagnóstico del liquen plano oral. Av. Odontoestomatol. 2008, 24, 11–31. [Google Scholar] [CrossRef][Green Version]
- Srinivas, K.; Aravinda, K.; Ratnakar, P.; Nigam, N.; Gupta, S. Oral lichen planus—Review on etiopathogenesis. Natl. J. Maxillofac. Surg. 2011, 2, 15–16. [Google Scholar] [CrossRef] [PubMed]
- Robledo-Sierra, J.; van der Waal, I. How general dentists could manage a patient with oral lichen planus. Med. Oral. Patol. Oral. Cir. Bucal. 2018, 23, e198–e202. [Google Scholar] [CrossRef] [PubMed]
- Mollaoglu, N. Oral lichen planus: A review. Br. J. Oral. Maxillofac. Surg. 2000, 38, 370–377. [Google Scholar] [CrossRef] [PubMed]
- Otero-Rey, E.M.; Suarez-Alen, F.; Peñamaria-Mallon, M.; Lopez-Lopez, J.; Blanco-Carrion, A. Malignant transformation of oral lichen planus by a chronic inflammatory process. Use of topical corticosteroids to prevent this progression? Acta Odontol. Scand. 2014, 22, 1–8. [Google Scholar] [CrossRef] [PubMed]
- Qing, M.; Yang, D.; Shang, Q.; Peng, J.; Deng, J.; Lu, J.; Li, J.; Dan, H.; Zhou, Y.; Xu, H.; et al. CD8+ tissue-resident memory T cells induce oral lichen planus erosion via cytokine network. Elife 2023, 12, e83981. [Google Scholar] [CrossRef] [PubMed]
- Martin, S.S.; Aday, A.W.; Almarzooq, Z.I.; Anderson, C.A.M.; Arora, P.; Avery, C.L.; Baker-Smith, C.M.; Barone Gibbs, B.; Beaton, A.Z.; Boehme, A.K.; et al. 2024 Heart Disease and Stroke Statistics: A Report of US and Global Data From the American Heart Association. Circulation. 2024, 149, e347–e913. [Google Scholar] [CrossRef] [PubMed]
- European Heart Network, European Cardiovascular Disease Statistics. 2017. Available online: https://www.bhf.org.uk/informationsupport/publications/statistics/european-cardiovascular-disease-statistics-2017 (accessed on 1 March 2024).
- Peters, S.A.; Wang, X.; Lam, T.H.; Kim, H.C.; Ho, S.; Ninomiya, T.; Woodward, M. Clustering of risk factors and the risk of incident cardiovascular disease in Asian and Caucasian populations: Results from the Asia Pacific Cohort Studies Collaboration. BMJ Open. 2018, 8, e019335. [Google Scholar] [CrossRef] [PubMed]
- Braunwald, E. Shattuck lecture–cardiovascular medicine at the turn of the millennium: Triumphs, concerns, and opportunities. N. Engl. J. Med 1997, 337, 1360–1369. [Google Scholar] [CrossRef] [PubMed]
- Olvera Lopez, E.; Ballard, B.D.; Jan, A. Cardiovascular Disease. In StatPearls; StatPearls Publishing: Treasure Island, FL, USA, 2023. Available online: https://www.ncbi.nlm.nih.gov/books/NBK535419/ (accessed on 20 March 2024).
- O’Donnell, C.J.; Elosua, R. Cardiovascular risk factors. Insights from Framingham Heart Study. Rev. Esp. Cardiol. 2008, 61, 299–310. [Google Scholar] [CrossRef] [PubMed]
- Qiao, H.; Wang, C.; Yang, C.; Lei, L.; Chen, Y.; Luo, Y.; Zeng, X.; Guo, Y. Association between increased C-reactive protein and cardiovascular disease among patients with rectal cancer. Front. Oncol. 2023, 13, 1287619. [Google Scholar] [CrossRef]
- Small, A.M.; Pournamdari, A.; Melloni, G.E.M.; Scirica, B.M.; Bhatt, D.L.; Raz, I.; Braunwald, E.; Giugliano, R.P.; Sabatine, M.S.; Peloso, G.M.; et al. Lipoprotein(a), C-Reactive Protein, and Cardiovascular Risk in Primary and Secondary Prevention Populations. JAMA Cardiol. 2024, 9, 385–391. [Google Scholar] [CrossRef] [PubMed]
- González Navarro, B.; Pintó Sala, X.; Jané Salas, E. Relationship between cardiovascular disease and dental pathology. Systematic review. Med. Clin. 2017, 149, 211–216. [Google Scholar] [CrossRef]
- Dreiher, J.; Shapiro, J.; Cohen, A.D. Lichen planus and dyslipidaemia: A case-control study. Br. J. Dermatol. 2009, 161, 626–629. [Google Scholar] [CrossRef] [PubMed]
- Liu, Y.; Kaplan, M.J. Cardiovascular disease in systemic lupus erythematosus: An update. Curr. Opin. Rheumatol. 2018, 30, 441–448. [Google Scholar] [CrossRef] [PubMed]
- Masson, W.; Lobo, M.; Molinero, G. Psoriasis and cardiovascular risk: A comprehensive review. Adv. Ther. 2020, 37, 2017–2033. [Google Scholar] [CrossRef] [PubMed]
- Ozbagcivan, O.; Akarsu, S.; Semiz, F.; Fetil, E. Comparison of serum lipid parameters between patients with classic cutaneous lichen planus and oral lichen planus. Clin. Oral. Investig. 2020, 24, 719–725. [Google Scholar] [CrossRef] [PubMed]
- Arias-Santiago, S.; Buendía-Eisman, A.; Aneiros-Fernández, J.; Girón-Prieto, M.S.; Gutiérrez-Salmerón, M.T.; García-Mellado, V.; Naranjo-Sintes, R. Cardiovascular risk factors in patients with lichen planus. Am. J. Med. 2011, 124, 543–548. [Google Scholar] [CrossRef] [PubMed]
- Rocha-Pereira, P.; Santos-Silva, A.; Rebelo, I.; Figueiredo, A.; Quintanilha, A.; Teixeira, F. Dislipidemia and oxidative stress in mild and in severe psoriasis as a risk for cardiovascular disease. Clin. Chim. Acta 2001, 303, 33–39. [Google Scholar] [CrossRef] [PubMed]
- Chistiakov, D.A.; Orekhov, A.N.; Bobryshev, Y.V. Links between atherosclerotic and periodontal disease. Exp. Mol. Pathol. 2016, 100, 220–235. [Google Scholar] [CrossRef] [PubMed]
- Libby, P.; Loscalzo, J.; Ridker, P.M.; Farkouh, M.E.; Hsue, P.Y.; Fuster, V.; Hasan, A.A.; Amar, S. Infammation, Inmmunity, and Infection in Atherothrombosis: JACC review topic of the week. J. Am. Coll. Cardiol. 2018, 72, 2071–2081. [Google Scholar] [CrossRef] [PubMed]
- Aniyan, K.Y.; Guledgud, M.V.; Patil, K. Alterations of Serum Lipid Profile Pattern in Oral Lichen Planus Patients: A Case-Control Study. Contemp. Clin. Dent. 2018, 9, S112–S121. [Google Scholar] [CrossRef] [PubMed]
- Panchal, F.H.; Ray, S.; Munshi, R.P.; Bhalerao, S.S.; Nayak, C.S. Alterations in lipid metabolism and antioxidant status in lichen planus. Indian. J. Dermatol. 2015, 60, 439–444. [Google Scholar] [CrossRef] [PubMed]
- Shiva, A.; Arab, S.; Mousavi, S.J.; Zamanian, A.; Maboudi, A. Serum and salivary level of nitric oxide (NOx) and CRP in Oral Lichen Planus (OLP) patients. J. Dent. 2020, 21, 6–11. [Google Scholar]
- Chen, H.M.; Wang, Y.P.; Chang, J.Y.; Wu, Y.C.; Chen, S.J.; Sun, A. Significant association of deficiencies of haemoglobin, iron, folic acid, and vitamin B12 and high homocysteine level with oral lichen planus. J. Formos. Med. Assoc. 2015, 114, 124–129. [Google Scholar] [CrossRef] [PubMed]
- Conrotto, D.; Barattero, R.; Carbone, M.; Gambino, A.; Sciannameo, V.; Ricceri, F.; Conrotto, F.; Broccoletti, R.; Arduino, P.G. Can atrophic-erosive oral lichen planus promote cardiovascular diseases? A population-based study. Oral Dis. 2018, 24, 215–218. [Google Scholar] [CrossRef] [PubMed]
- Rhee, M.; Lee, J.; Lee, E.Y.; Yoon, K.H.; Lee, S.H. Lipid Variability Induces Endothelial Dysfunction by Increasing Inflammation and Oxidative Stress. Endocrinol. Metab. 2024, 39, 511–520. [Google Scholar] [CrossRef] [PubMed]
- Page, M.J.; McKenzie, J.E.; Bossuyt, P.M.; Boutron, I.; Hoffmann, T.C.; Mulrow, C.D.; Shamseer, L.; Tetzlaff, J.M.; Akl, E.A.; Brennan, S.E.; et al. The PRISMA 2020 statement: An updated guideline for reporting systematic reviews. BMJ 2021, 372, n71. [Google Scholar] [CrossRef]
- Wells, G.; Shea, B.; O’Connell, D.; Peterson, J.; Welch, V.; Losos, M.; Tugwell, P. The Newcastle-Ottawa Scale (NOS) for Assessing the Quality of Nonrandomized Studies in Meta-Analyses. 2013. Available online: http://www.ohri.ca/programs/clinical_epidemiology/oxford.asp (accessed on 15 June 2020).
- Oxford Centre for Evidence-Based Medicine. Oxford Centre for Evidence-Based Medicine—Levels of Evidence. 2009. Available online: https://www.cebm.net/2009/06/oxford-centre-evidence-based-medi-cine-levels-evidence-march-2009/ (accessed on 20 March 2024).
- Hashemy, S.I.; Gharaei, S.; Vasigh, S.; Kargozar, S.; Alirezaei, B.; Keyhani, J.; Amirchaghmaghi, M. Oxidative stress factors and C-reactive protein in patients with oral lichen planus before and 2 weeks after treatment. J. Oral. Pathol. Med. 2016, 45, 35–40. [Google Scholar] [CrossRef]
- Baykal, L.; Arica, D.A.; Yavli, S.; Orem, A.; Bahadur, S.; Altun, E.; Yaman, H. Prevalence of metabolic syndrome in patients with mucosal lichen planus: A case-control study. Am. J. Clin. Dermatol. 2015, 16, 439–445. [Google Scholar] [CrossRef] [PubMed]
- López-Jornet, P.; Camacho-Alonso, F.; Rodríguez-Martínes, M.A. Alterations in serum lipid profile patterns in oral lichen planus: A cross-sectional study. Am. J. Clin. Dermatol. 2012, 13, 399–404. [Google Scholar] [CrossRef] [PubMed]
- Li, K.Y.; Li, C.L.; Hua, H.; Song, Z.F. Potential relationship of dyslipidemia with dietary patterns in oral lichen planus patients. A case-control study. J. Dent. Sci. 2023, 18, 1638–1644. [Google Scholar] [CrossRef] [PubMed]
- Radic, T.; Cigic, L.; Glavina, A.; Hrboka, A.; Druzijanic, A.; Musa Leko, I.; Biocina-Lukenda, D. Lipid Profiles and Cardiovascular Risk in Patients with Oral Lichen Planus. Dent. J. 2022, 6, 61. [Google Scholar] [CrossRef] [PubMed]
- Godoy-Gijón, E.; Meseguer-Yebra, C.; Palacio-Aller, L.; Godoy-Rocati, D.V.; Lahoz-Rallo, C. Nuevas poblaciones con riesgo cardiovascular aumentado: Enfermedad cardiovascular en las enfermedades dermatológicas. Clin. Investig. Arterioscler. 2016, 28, 143–153. [Google Scholar] [CrossRef] [PubMed]



| Author/Year | Country | Type of Study | N Patients | Mean Age | Sex |
|---|---|---|---|---|---|
| Li et al., 2023 [47] | China | C.C. | 100 OLP 75 other mucosal disorders 100 healthy | 47.06 | 181 women 94 men |
| Radic et al., 2022 [48] | Croatia | C.C. | 63 OLP—63 healthy | 62.41 | 103 women 23 men |
| Shiva et al., 2020 [37] | Iran | C.C. | 22 OLP—22 healthy | 46.2 | 25 women 19 men |
| Ozbagcivan et al., 2020 [30] | Turkey | C.C. | 30 CLP 30 OLP 30 CLP with OLP (COLP) 30 healthy | 48.01 | 77 women 43 men |
| Aniyan et al., 2018 [35] | India | C.C. | 30 OLP—30 healthy | NS | NS |
| Hashemy et al., 2016 [44] | Iran | C.C. | 25 OLP—23 healthy 13 OLP reticular 12 OLP erosive | 45.09 | 33 women 15 men |
| Panchal et al., 2015 [36] | India | C.C. | 74 LP—51 healthy 74 CLP 10 OLP | 40.12 | 67 women 58 men |
| Baykal et al., 2015 [45] | Turkey | C.C. | 79 LP—79 healthy 55 OLP 17 OLP erosive 38 OLP reticular | 47 | 100 women 58 men |
| López-Jornet et al., 2012 [46] | Spain | C.C. | 200 OLP—200 healthy 155 OLP reticular 45 OLP erosive | 57.61 | 322 women 78 men |
| Arias Santiago et al., 2011 [31] | Spain | C.C. | 100 LP—100 healthy 69 OLP | 47.85 | 100 women 100 men |
| Author/Year | CRP | c-LDL | TG | TC | Glucose | TC/c-HDL | c-HDL | LDL/HDL |
|---|---|---|---|---|---|---|---|---|
| Li et al., 2023 [47] | X | X | X | X | ||||
| Radic et al., 2022 [48] | X | X | X | X | X | X | ||
| Shiva et al., 2020 [37] | X | |||||||
| Ozbagcivan et al., 2020 [30] | X | X | X | X | X | X | X | |
| Aniyan et al., 2018 [35] | X | X | X | |||||
| Hashemy et al., 2016 [44] | X | |||||||
| Panchal et al., 2015 [36] | X | X | X | X | X | |||
| Baykal et al., 2015 [45] | X | X | X | X | X | |||
| López-Jornet et al., 2012 [46] | X | X | X | X | X | X | ||
| Arias Santiago et al., 2011 [31] | X | X | X | X | X | X | X | X |
| Author/Year | Selection of Cases and Controls | Comparability of Cases and Controls | Ascertainment of Exposure | Conclusion | Evidence and Recommendation of CEBM |
|---|---|---|---|---|---|
| Li et al., 2023 [47] | ★★ | ★ | ★★★ | Low quality | 3b/B |
| Radic et al., 2022 [48] | ★★★ | ★ | ★★★ | Good quality | 3b/B |
| Shiva et al., 2020 [37] | ★★ | ★ | ★★★ | Low quality | 3b/B |
| Ozbagcivan et al., 2020 [30] | ★★★ | ★ | ★★★ | Good quality | 3b/B |
| Aniyan et al., 2018 [35] | ★★★ | ★ | ★★★ | Good quality | 3b/B |
| Hashemy et al., 2016 [44] | ★★ | ★ | ★★★ | Low quality | 3b/B |
| Panchal et al., 2015 [36] | ★★ | ★ | ★★★ | Low quality | 3b/B |
| Baykal et al., 2015 [45] | ★★ | ★ | ★★★ | Low quality | 3b/B |
| López-Jornet et al., 2012 [46] | ★★ | ★ | ★★★ | Low quality | 3b/B |
| Arias Santiago et al., 2011 [31] | ★★★ | ★ | ★★★ | Good quality | 3b/B |
Disclaimer/Publisher’s Note: The statements, opinions and data contained in all publications are solely those of the individual author(s) and contributor(s) and not of MDPI and/or the editor(s). MDPI and/or the editor(s) disclaim responsibility for any injury to people or property resulting from any ideas, methods, instructions or products referred to in the content. |
© 2024 by the authors. Licensee MDPI, Basel, Switzerland. This article is an open access article distributed under the terms and conditions of the Creative Commons Attribution (CC BY) license (https://creativecommons.org/licenses/by/4.0/).
Share and Cite
Gonzalez Navarro, B.; Egido Moreno, S.; Omaña Cepeda, C.; Estrugo Devesa, A.; Jane Salas, E.; Lopez Lopez, J. Relationship between Oral Lichen Planus and Cardiovascular Disease of Atherosclerotic Origin: Systematic Review and Meta-Analysis. J. Clin. Med. 2024, 13, 4630. https://doi.org/10.3390/jcm13164630
Gonzalez Navarro B, Egido Moreno S, Omaña Cepeda C, Estrugo Devesa A, Jane Salas E, Lopez Lopez J. Relationship between Oral Lichen Planus and Cardiovascular Disease of Atherosclerotic Origin: Systematic Review and Meta-Analysis. Journal of Clinical Medicine. 2024; 13(16):4630. https://doi.org/10.3390/jcm13164630
Chicago/Turabian StyleGonzalez Navarro, Beatriz, Sonia Egido Moreno, Carlos Omaña Cepeda, Albert Estrugo Devesa, Enric Jane Salas, and Jose Lopez Lopez. 2024. "Relationship between Oral Lichen Planus and Cardiovascular Disease of Atherosclerotic Origin: Systematic Review and Meta-Analysis" Journal of Clinical Medicine 13, no. 16: 4630. https://doi.org/10.3390/jcm13164630
APA StyleGonzalez Navarro, B., Egido Moreno, S., Omaña Cepeda, C., Estrugo Devesa, A., Jane Salas, E., & Lopez Lopez, J. (2024). Relationship between Oral Lichen Planus and Cardiovascular Disease of Atherosclerotic Origin: Systematic Review and Meta-Analysis. Journal of Clinical Medicine, 13(16), 4630. https://doi.org/10.3390/jcm13164630

