Role of Vitreous Detachment in Epiretinal Membrane Peeling: A Multimodal Imaging and Microperimetry Study
Abstract
1. Introduction
2. Materials and Methods
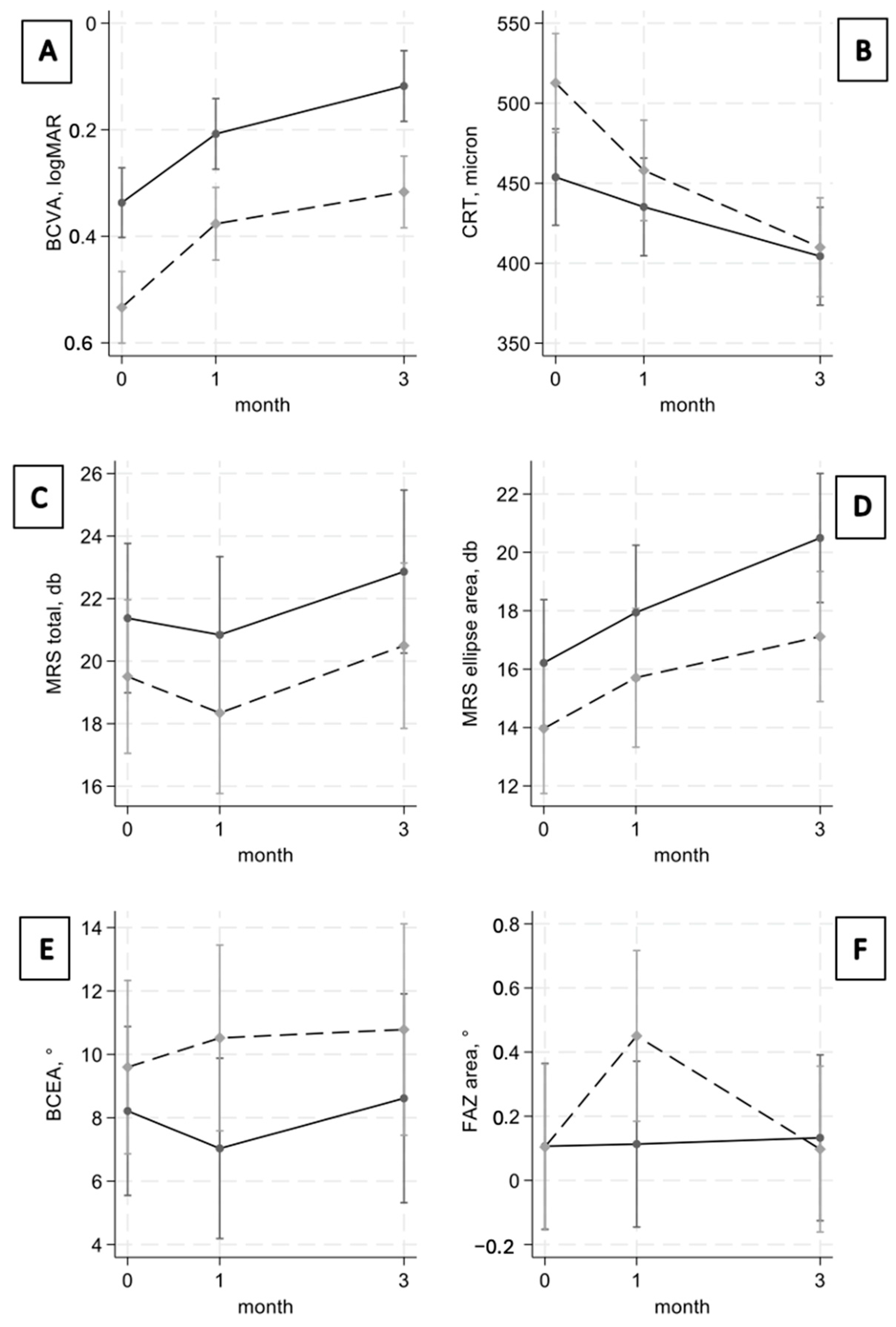
3. Results
4. Discussion
5. Conclusions
Author Contributions
Funding
Institutional Review Board Statement
Informed Consent Statement
Data Availability Statement
Conflicts of Interest
References
- Xiao, W.; Chen, X.; Yan, W.; Zhu, Z.; He, M. Prevalence and risk factors of epiretinal membranes: A systematic review and meta-analysis of population-based studies. BMJ Open 2017, 7, e014644. [Google Scholar] [CrossRef] [PubMed]
- Chung, S.E.; Lee, J.-H.; Kang, S.W.; Kim, Y.T.; Lee, S.W. Characteristics of epiretinal membranes according to the presence or absence of posterior vitreous detachment. Eye 2011, 25, 1341–1346. [Google Scholar] [CrossRef]
- Chung, S.E.; Kim, K.-H.; Kang, S.W. Retinal breaks associated with the induction of posterior vitreous detachment. Am. J. Ophthalmol. 2009, 147, 1012–1016. [Google Scholar] [CrossRef] [PubMed]
- Mura, M.; Barca, F.; Dell’Omo, R.; Nasini, F.; Peiretti, E. Iatrogenic retinal breaks in ultrahigh-speed 25-gauge vitrectomy: A prospective study of elective cases. Br. J. Ophthalmol. 2016, 100, 1383–1387. [Google Scholar] [CrossRef] [PubMed]
- Feng, J.; Yang, X.; Xu, M.; Wang, Y.; Shi, X.; Zhang, Y.; Huang, P. Association of Microvasculature and Macular Sensitivity in Idiopathic Macular Epiretinal Membrane: Using OCT Angiography and Microperimetry. Front. Med. 2021, 8, 655013. [Google Scholar] [CrossRef] [PubMed]
- Bacherini, D.; Dragotto, F.; Caporossi, T.; Lenzetti, C.; Finocchio, L.; Savastano, A.; Savastano, M.C.; Barca, F.; Dragotto, M.; Vannozzi, L.; et al. The Role of OCT Angiography in the Assessment of Epiretinal Macular Membrane. J. Ophthalmol. 2021, 2021, 8866407. [Google Scholar] [CrossRef] [PubMed]
- Govetto, A.; Lalane, R.A., III; Sarraf, D.; Figueroa, M.S.; Hubschman, J.P. Insights Into Epiretinal Membranes: Presence of Ectopic Inner Foveal Layers and a New Optical Coherence Tomography Staging Scheme. Am. J. Ophthalmol. 2017, 175, 99–113. [Google Scholar] [CrossRef] [PubMed]
- Taban, M.; Sharma, S.; Williams, D.R.; Waheed, N.; Kaiser, P.K. Comparing retinal thickness measurements using automated fast macular thickness map versus six-radial line scans with manual measurements. Ophthalmology 2009, 116, 964–970. [Google Scholar] [CrossRef] [PubMed]
- Martinez-Toldos Jose, J.; Hoyos Jairo, E.; Corcostegui, B. Step by Step Vitrectomy; Jaypee Brothers Medical Publishers: Philadelphia, PA, USA, 2013. [Google Scholar]
- Bu, S.-C.; Kuijer, R.; Li, X.-R.; Hooymans, J.M.M.; Los, L.I. Idiopathic epiretinal membrane. Retina 2014, 34, 2317–2335. [Google Scholar] [CrossRef] [PubMed]
- Ota, A.; Kakehashi, A.; Tanaka, Y.; Toyoda, F.; Shimmura, M.; Kinoshita, N.; Takano, H. Relationship between variations in posterior vitreous detachment and visual prognosis in idiopathic epiretinal membranes. Clin. Ophthalmol. 2015, 10, 7–11. [Google Scholar] [CrossRef] [PubMed][Green Version]
- Momin, S.N.A.; Siddiqui, M.A.R.; Hashmi, S.; Memon, A.S.; Tayyab, H.; Choudhary, R.A. Post-operative visual outcomes based on morphological staging of idiopathic epiretinal membranes on OCT. Int. J. Ophthalmol. 2022, 15, 1966–1970. [Google Scholar] [CrossRef] [PubMed]
- González-Saldivar, G.; Berger, A.; Wong, D.; Juncal, V.; Chow, D.R. Ectopic Inner Foveal Layer Classification Scheme Predicts Visual Outcomes after Epiretinal Membrane Surgery. Retina 2020, 40, 710–717. [Google Scholar] [CrossRef] [PubMed]
- Del Vecchio, M.; Lavia, C.; Nassisi, M.; Grignolo, F.M.; Fea, A.M. Microperimetric Assessment after Epiretinal Membrane Surgery: 4-Year Follow-Up. J. Ophthalmol. 2016, 2016, 7030791. [Google Scholar] [CrossRef] [PubMed]
- Xu, Z.; Mao, J.; Lao, J.; Deng, X.; Liu, C.; Xu, J.; Wu, S.; Chen, Y.; Shen, L. Macular Retinal Sensitivity and Microvasculature Changes before and after Vitrectomy in Idiopathic Macular Epiretinal Membrane with Classification. Ophthalmologica 2021, 244, 569–580. [Google Scholar] [CrossRef] [PubMed]
- Kishi, S.; Demaria, C.; Shimizu, K. Vitreous cortex remnants at the fovea after spontaneous vitreous detachment. Int. Ophthalmol. 1986, 9, 253–260. [Google Scholar] [CrossRef] [PubMed]


| Complete PVD (n.19) | Incomplete PVD (n.18) | Total (n.37) | p-Value | |
|---|---|---|---|---|
| Age (years), mean value ± SD | 73.1 ± 1.8 | 74.2 ± 1.7 | 73.6 ± 7.4 | 0.67 a | 
| Combined cataract surgery | 13 (54.2%) | 11 (45.8%) | 24 (64.9%) | 0.64 b | 
| BCDVA (logMAR) | 0.4 ± 0.03 | 0.5 ± 0.5 | 0.4 ± 0.2 | <0.001 a,* | 
| OCT Stage (Govetto classification) | 0.021 c | |||
| 2 | 9 (47.4%) | 3 (16.7%) | 12 (32.4%) | |
| 3 | 9 (47.4%) | 10 (55.6%) | 19 (51.4%) | |
| 4 | 1 (5.2%) | 5 (27.7%) | 6 (16.2%) | |
| CRT (µm), mean value ± SD | 453.8 ± 16 | 512.7 ± 21.0 | 482.5 ± 13.8 | 0.03 a | 
| Total MRS (dB), mean value ± SD | 21.4 ± 1.5 | 19.5 ± 1.3 | 20.5 ± 1.0 | 0.35 a | 
| MRS in Ellipse Area (dB), mean value ± SD | 16.2 ± 1.4 | 14.0 ± 1.4 | 15.1 ± 1.0 | 0.25 a | 
| BCEA ± SD | 8.2 ± 1.7 | 9.6 ± 1.3 | 8.9 ± 1.1 | 0.52 a | 
| FAZ area ± SD | 0.1 ± 0.02 | 0.1 ± 0.01 | 0.1 ± 0.01 | 0.93 a | 
| Timing | Complete PVD | Incomplete PVD | Difference | p-Value | |
|---|---|---|---|---|---|
| BCDVA (logMAR), (SE) | baseline | 0.337 (0.033) | 0.533 (0.034) | 0.196 (0.048) | <0.001 * | 
| 1 month | 0.208 (0.034) | 0.376 (0.035) | 0.169 (0.049) | 0.001 * | |
| 3 months | 0.118 (0.034) | 0.317 (0.034) | 0.199 (0.048) | <0.001 * | |
| CRT (µm), mean value (SE) | baseline | 453.8 (15.4) | 512.7 (15.8) | 58.825 (22.012) | 0.008 | 
| 1 month | 435.2 (15.6) | 458.0 (16.0) | 22.821 (22.360) | 0.307 | |
| 3 months | 404.4 (15.6) | 409.9 (15.8) | 5.569 (22.177) | 0.802 | |
| Total MRS (dB), mean value (SE) | baseline | 21.374 (1.219) | 19.506 (1.252) | −1.868 (1.747) | 0.285 | 
| 1 month | 20.840 (1.277) | 18.343 (1.314) | −2.496 (1.832) | 0.173 | |
| 3 months | 22.860 (1.330) | 20.494 (1.350) | −2.365 (1.895) | 0.212 | |
| MRS in Ellipse Area (dB), mean value (SE) | baseline | 16.216 (1.105) | 13.967 (1.136) | −2.249 (1.585) | 0.156 | 
| 1 month | 17.940 (1.177) | 15.707 (1.213) | −2.233 (1.690) | 0.186 | |
| 3 months | 20.495 (1.136) | 17.117 (1.136) | −3.378 (1.6) | 0.035 | |
| BCEA (SE) | baseline | 8.216 (1.359) | 9.6 (1.387) | 1.384 (1.948 | 0.477 | 
| 1 month | 7.036 (1.451) | 10.521 (1.495) | 3.485 (2.083) | 0.094 | |
| 3 months | 8.615 (1.681) | 10.783 (1.703) | 2.169 (2.392) | 0.365 | |
| FAZ area (SE) | baseline | 0.107 (1.132) | 0.104 (0.132) | −0.002 (0.187) | 0.990 | 
| 1 month | 0.113 (0.132) | 0.451 (0.136) | 0.337 (0.189) | 0.075 | |
| 3 months | 0.133 (0.132) | 0.1 (0.132) | −0.035 (0.187) | 0.851 | 
| Disclaimer/Publisher’s Note: The statements, opinions and data contained in all publications are solely those of the individual author(s) and contributor(s) and not of MDPI and/or the editor(s). MDPI and/or the editor(s) disclaim responsibility for any injury to people or property resulting from any ideas, methods, instructions or products referred to in the content. | 
© 2024 by the authors. Licensee MDPI, Basel, Switzerland. This article is an open access article distributed under the terms and conditions of the Creative Commons Attribution (CC BY) license (https://creativecommons.org/licenses/by/4.0/).
Share and Cite
Serino, F.; Franco, F.G.S.; Bacherini, D.; Lupidi, M.; Gallio, S.; Esposito, C.; Virgili, G.; Mariotti, C.; Giansanti, F. Role of Vitreous Detachment in Epiretinal Membrane Peeling: A Multimodal Imaging and Microperimetry Study. J. Clin. Med. 2024, 13, 3565. https://doi.org/10.3390/jcm13123565
Serino F, Franco FGS, Bacherini D, Lupidi M, Gallio S, Esposito C, Virgili G, Mariotti C, Giansanti F. Role of Vitreous Detachment in Epiretinal Membrane Peeling: A Multimodal Imaging and Microperimetry Study. Journal of Clinical Medicine. 2024; 13(12):3565. https://doi.org/10.3390/jcm13123565
Chicago/Turabian StyleSerino, Federica, Fabrizio Gaetano Saverio Franco, Daniela Bacherini, Marco Lupidi, Stefano Gallio, Claudio Esposito, Gianni Virgili, Cesare Mariotti, and Fabrizio Giansanti. 2024. "Role of Vitreous Detachment in Epiretinal Membrane Peeling: A Multimodal Imaging and Microperimetry Study" Journal of Clinical Medicine 13, no. 12: 3565. https://doi.org/10.3390/jcm13123565
APA StyleSerino, F., Franco, F. G. S., Bacherini, D., Lupidi, M., Gallio, S., Esposito, C., Virgili, G., Mariotti, C., & Giansanti, F. (2024). Role of Vitreous Detachment in Epiretinal Membrane Peeling: A Multimodal Imaging and Microperimetry Study. Journal of Clinical Medicine, 13(12), 3565. https://doi.org/10.3390/jcm13123565
 
        



 
                         
       