Factors Associated with All-Cause 30-Day Mortality in Indonesian Inpatient COVID-19 Patients at Cipto Mangunkusumo National General Hospital
Abstract
1. Introduction
2. Method
2.1. Study Design
2.2. Operational Definitions
2.3. Participants and Inclusion Criteria
2.4. Statistical Analysis
2.5. Ethical Approval
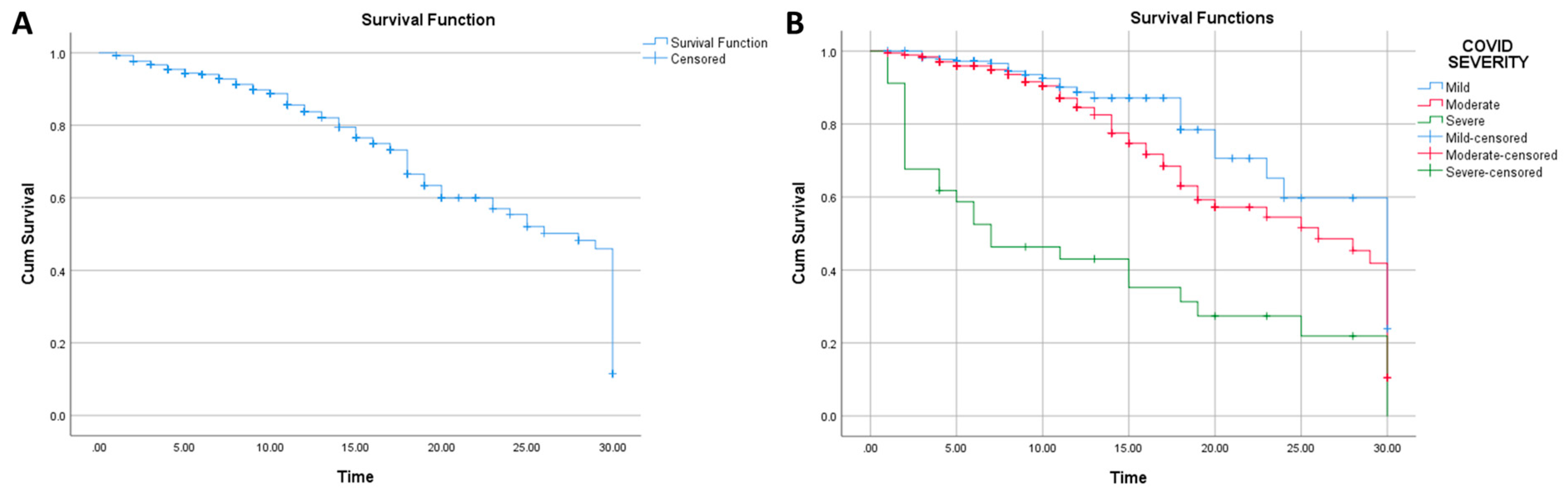
3. Results
4. Discussion
5. Conclusions
Author Contributions
Funding
Institutional Review Board Statement
Informed Consent Statement
Data Availability Statement
Acknowledgments
Conflicts of Interest
References
- Martín Sánchez, F.J.; Martínez-Sellés, M.; Molero García, J.M.; Guillén, S.M.; Rodríguez-Artalejo, F.; Ruiz-Galiana, J.; Cantón, R.; De Lucas Ramos, P.; García-Botella, A.; García-Lledó, A.; et al. Insights for COVID-19 in 2023. Rev. Esp. Quimioter. Publ. Soc. Esp. Quimioter. 2023, 36, 114–124. [Google Scholar] [CrossRef] [PubMed]
- Miyah, Y.; Benjelloun, M.; Lairini, S.; Lahrichi, A. COVID-19 Impact on Public Health, Environment, Human Psychology, Global Socioeconomy, and Education. Sci. World J. 2022, 2022, 5578284. [Google Scholar] [CrossRef]
- Naseer, S.; Khalid, S.; Parveen, S.; Abbass, K.; Song, H.; Achim, M.V. COVID-19 outbreak: Impact on global economy. Front. Public Health 2023, 10, 1009393. [Google Scholar] [CrossRef] [PubMed]
- Janke, A.T.; Mei, H.; Rothenberg, C.; Becher, R.D.; Lin, Z.; Venkatesh, A.K. Analysis of Hospital Resource Availability and COVID-19 Mortality Across the United States. J. Hosp. Med. 2021, 16, 211–214. [Google Scholar] [CrossRef] [PubMed]
- Nowotny, K.; Metheny, H.; LeMasters, K.; Brinkley-Rubinstein, L. Age and COVID-19 Mortality in the United States: A Comparison of the Prison and General Population. Int. J. Prison. Health 2022, 19, 35–46. [Google Scholar] [CrossRef]
- Elo, I.T.; Luck, A.; Stokes, A.C.; Hempstead, K.; Xie, W.; Preston, S.H. Evaluation of Age Patterns of COVID-19 Mortality by Race and Ethnicity from March 2020 to October 2021 in the US. JAMA Netw. Open 2022, 5, e2212686. [Google Scholar] [CrossRef] [PubMed]
- Bonanad, C.; García-Blas, S.; Tarazona-Santabalbina, F.; Sanchis, J.; Bertomeu-González, V.; Fácila, L.; Ariza, A.; Núñez, J.; Cordero, A. The Effect of Age on Mortality in Patients with COVID-19: A Meta-Analysis with 611,583 Subjects. J. Am. Med. Dir. Assoc. 2020, 21, 915–918. [Google Scholar] [CrossRef] [PubMed]
- Ho, F.K.; Petermann-Rocha, F.; Gray, S.R.; Jani, B.D.; Katikireddi, S.V.; Niedzwiedz, C.L.; Foster, H.; Hastie, C.E.; Mackay, D.F.; Gill, J.M.R.; et al. Is older age associated with COVID-19 mortality in the absence of other risk factors? General population cohort study of 470,034 participants. PLoS ONE 2020, 15, e0241824. [Google Scholar] [CrossRef] [PubMed]
- Grifoni, A.; Alonzi, T.; Alter, G.; Noonan, D.M.; Landay, A.L.; Albini, A.; Goletti, D. Impact of aging on immunity in the context of COVID-19, HIV, and tuberculosis. Front. Immunol. 2023, 14, 1146704. [Google Scholar] [CrossRef] [PubMed]
- Gabbrielli, R.; Pugno, N.M. The impact of mean body mass index on reported mortality from COVID-19 across 181 countries. Front. Public Health 2023, 11, 1106313. [Google Scholar] [CrossRef]
- Singh, R.; Rathore, S.S.; Khan, H.; Karale, S.; Chawla, Y.; Iqbal, K.; Bhurwal, A.; Tekin, A.; Jain, N.; Mehra, I.; et al. Association of Obesity with COVID-19 Severity and Mortality: An Updated Systemic Review, Meta-Analysis, and Meta-Regression. Front. Endocrinol. 2022, 13, 780872. [Google Scholar] [CrossRef] [PubMed]
- Chatterjee, S.; Nalla, L.V.; Sharma, M.; Sharma, N.; Singh, A.A.; Malim, F.M.; Ghatage, M.; Mukarram, M.; Pawar, A.; Parihar, N.; et al. Association of COVID-19 with Comorbidities: An Update. ACS Pharmacol. Transl. Sci. 2023, 6, 334–354. [Google Scholar] [CrossRef] [PubMed]
- Marc, M.S.; Rosca, D.; Bratosin, F.; Fira-Mladinescu, O.; Oancea, C.; Pescaru, C.C.; Velescu, D.; Wellmann, N.; Motofelea, A.C.; Ciuca, I.M.; et al. The Effect of Comorbidities and Complications on COVID-19 Mortality: A Detailed Retrospective Study in Western Romania. J. Pers. Med. 2023, 13, 1552. [Google Scholar] [CrossRef] [PubMed]
- Nemec, H.M.; Ferenczy, A.; Christie, B.D., III; Ashley, D.W.; Montgomery, A. Correlation of D-dimer and Outcomes in COVID-19 Patients. Am. Surg. 2022, 88, 2115. [Google Scholar] [CrossRef] [PubMed]
- Poudel, A.; Poudel, Y.; Adhikari, A.; Aryal, B.B.; Dangol, D.; Bajracharya, T.; Maharjan, A.; Gautam, R. D-dimer as a biomarker for assessment of COVID-19 prognosis: D-dimer levels on admission and its role in predicting disease outcome in hospitalized patients with COVID-19. PLoS ONE 2021, 16, e0256744. [Google Scholar] [CrossRef] [PubMed]
- Rahman, M.M.; Ghoshal, U.C.; Ragunath, K.; Jenkins, G.; Edwards, C.; Hasan, M.; Taylor-Robinson, S.D. Biomedical research in developing countries: Opportunities, methods, and challenges. Indian J. Gastroenterol. 2020, 39, 292–302. [Google Scholar] [CrossRef] [PubMed]
- Ismail, S.N.; Abdul Halim Zaki, I.; Noordin, Z.M.; Hussin, N.S.M.; Ming, L.C.; Zulkifly, H.H. Clinical characteristics and risk factors for mortality in patients with COVID-19, A retrospective nationwide study in Malaysia. Proc. Singap. Healthc. 2022, 31, 20101058221085743. [Google Scholar] [CrossRef]
- Naorungroj, T.; Viarasilpa, T.; Tongyoo, S.; Detkaew, A.; Pinpak, T.; Wimolwattanaphan, R.; Ratanarat, R.; Promsin, P.; Thamrongpiroj, P.; Phumpichet, A.; et al. Characteristics, outcomes, and risk factors for in-hospital mortality of COVID-19 patients: A retrospective study in Thailand. Front. Med. 2022, 9, 1061955. [Google Scholar] [CrossRef] [PubMed]
- Pan, W.-H.; Yeh, W.-T. How to define obesity? Evidence-based multiple action points for public awareness, screening, and treatment: An extension of Asian-Pacific recommendations. Asia Pac. J. Clin. Nutr. 2008, 17, 370–374. [Google Scholar]
- Sharma, J.; Rajput, R.; Bhatia, M.; Arora, P.; Sood, V. Clinical Predictors of COVID-19 Severity and Mortality: A Perspective. Front. Cell. Infect. Microbiol. 2021, 11, 674277. [Google Scholar] [CrossRef]
- Mehri, A.; Sotoodeh Ghorbani, S.; Farhadi-Babadi, K.; Rahimi, E.; Barati, Z.; Taherpour, N.; Izadi, N.; Shahbazi, F.; Mokhayeri, Y.; Seifi, A.; et al. Risk Factors Associated with Severity and Death from COVID-19 in Iran: A Systematic Review and Meta-Analysis Study. J. Intensive Care Med. 2023, 38, 825–837. [Google Scholar] [CrossRef] [PubMed]
- Zhang, J.; Dong, X.; Liu, G.; Gao, Y. Risk and Protective Factors for COVID-19 Morbidity, Severity, and Mortality. Clin. Rev. Allergy Immunol. 2023, 64, 90–107. [Google Scholar] [CrossRef] [PubMed]
- Kang, S.-J.; Jung, S.I. Age-Related Morbidity and Mortality among Patients with COVID-19. Infect. Chemother. 2020, 52, 154–164. [Google Scholar] [CrossRef] [PubMed]
- Kim, T. Improving Preparedness for and Response to Coronavirus Disease 19 (COVID-19) in Long-Term Care Hospitals in Korea. Infect. Chemother. 2020, 52, 133–141. [Google Scholar] [CrossRef] [PubMed]
- Castle, S.C. Clinical relevance of age-related immune dysfunction. Clin. Infect. Dis. Off. Publ. Infect. Dis. Soc. Am. 2000, 31, 578–585. [Google Scholar] [CrossRef] [PubMed]
- Quiros-Roldan, E.; Biasiotto, G.; Zanella, I. Letter to the Editor on ‘Bonafè M, Prattichizzo F, Giuliani A, Storci G, Sabbatinelli J, Olivieri F. Inflamm-aging: Why older men are the most susceptible to SARS-CoV-2 complicated outcomes. Cytokine Growth Factor Rev’. Cytokine Growth Factor Rev. 2020, 54, 1–2. [Google Scholar] [CrossRef] [PubMed]
- Doerre, A.; Doblhammer, G. The influence of gender on COVID-19 infections and mortality in Germany: Insights from age- and gender-specific modeling of contact rates, infections, and deaths in the early phase of the pandemic. PLoS ONE 2022, 17, e0268119. [Google Scholar] [CrossRef]
- Patanavanich, R.; Siripoon, T.; Amponnavarat, S.; Glantz, S.A. Active Smokers Are at Higher Risk of COVID-19 Death: A Systematic Review and Meta-analysis. Nicotine Tob. Res. Off. J. Soc. Res. Nicotine Tob. 2023, 25, 177–184. [Google Scholar] [CrossRef] [PubMed]
- Brozat, J.F.; Hanses, F.; Haelberger, M.; Stecher, M.; Dreher, M.; Tometten, L.; Ruethrich, M.M.; Vehreschild, J.J.; Trautwein, C.; Borgmann, S.; et al. COVID-19 mortality in cirrhosis is determined by cirrhosis-associated comorbidities and extrahepatic organ failure: Results from the multinational LEOSS registry. United Eur. Gastroenterol. J. 2022, 10, 409–424. [Google Scholar] [CrossRef]
- Wang, Y.; Hu, M.; Yang, H. Cirrhosis is an independent predictor for COVID-19 mortality: A meta-analysis of confounding cofactors-controlled data. J. Hepatol. 2023, 78, e28–e31. [Google Scholar] [CrossRef]
- Feng, T.; James, A.; Doumlele, K.; White, S.; Twardzik, W.; Zahid, K.; Sattar, Z.; Ukponmwan, O.; Nakeshbandi, M.; Chow, L.; et al. Procalcitonin Levels in COVID-19 Patients Are Strongly Associated with Mortality and ICU Acceptance in an Underserved, Inner City Population. Medicina 2021, 57, 1070. [Google Scholar] [CrossRef] [PubMed]
- Rathod, B.D.; Amle, D.; Khot, R.S.; Prathipati, K.K.; Joshi, P.P. Neutrophil-to-Lymphocyte Ratio as a Predictor of Disease Severity and Mortality in Coronavirus Disease 2019: Prospective Study From Central India. Cureus 2022, 14, e23696. [Google Scholar] [CrossRef] [PubMed]
- Li, Y.; Deng, Y.; Ye, L.; Sun, H.; Du, S.; Huang, H.; Zeng, F.; Chen, X.; Deng, G. Clinical Significance of Plasma D-Dimer in COVID-19 Mortality. Front. Med. 2021, 8, 638097. [Google Scholar] [CrossRef] [PubMed]
- Ali, A.; Liang, W.; Abdelhafiz, A.S.; Saleh, M.M.; Salem, H.; Moazen, E.M.; Elmazny, M.I.; Rakha, M.A.; Elfeky, S.E.F. Elevation of D-dimer levels are associated with early need for mechanical ventilation support in patients with COVID-19. BMC Pulm. Med. 2023, 23, 283. [Google Scholar] [CrossRef] [PubMed]
- Zuckier, L.S.; Moadel, R.M.; Haramati, L.B.; Freeman, L.M. Diagnostic Evaluation of Pulmonary Embolism During the COVID-19 Pandemic. J. Nucl. Med. Off. Publ. Soc. Nucl. Med. 2020, 61, 630–631. [Google Scholar] [CrossRef] [PubMed]
- Wang, Y.; Zhang, L.; Sang, L.; Ye, F.; Ruan, S.; Zhong, B.; Song, T.; Alshukairi, A.N.; Chen, R.; Zhang, Z.; et al. Kinetics of viral load and antibody response in relation to COVID-19 severity. J. Clin. Investig. 2020, 130, 5235–5244. [Google Scholar] [CrossRef] [PubMed]
- Hiam-Galvez, K.J.; Allen, B.M.; Spitzer, M.H. Systemic immunity in cancer. Nat. Rev. Cancer 2021, 21, 345–359. [Google Scholar] [CrossRef]
- ElGohary, G.M.; Hashmi, S.; Styczynski, J.; Kharfan-Dabaja, M.A.; Alblooshi, R.M.; de la Cámara, R.; Mohmed, S.; Alshaibani, A.; Cesaro, S.; El-Aziz, N.A.; et al. The Risk and Prognosis of COVID-19 Infection in Cancer Patients: A Systematic Review and Meta-Analysis. Hematol. Oncol. Stem Cell Ther. 2022, 15, 45–53. [Google Scholar] [CrossRef]


| Variables | Total (n: 644) | Expired (n: 120) | Survived (n: 524) | Comparison | |
|---|---|---|---|---|---|
| Sex | 0.374 a | ||||
| 281 (43.6%) | 48 (40%) | 233 (44.5%) | ||
| 363 (56.4%) | 72 (60%) | 291 (55.5%) | ||
| COVID-19 severity | <0.0001 a | ||||
| 34 (5.3%) | 27 (22.5%) | 7 (1.3%) | ||
| 379 (58.9%) | 67 (55.8%) | 312 (59.5%) | ||
| 231 (35.9%) | 26 (21.7%) | 205 (39.1%) | ||
| Age (SD) (years) | 48.75 ± 14.93 | 53.83 ± 13.98 | 47.57 ± 14.91 | <0.0001 b | |
| BMI (SD) (kg/m2) | 23.85 ± 4.98 | 22.38 ± 4.30 | 24.26 ± 5.05 | <0.0001 b | |
| BMI | 0.002 a | ||||
| 241 (37.4%) | 28 (23.3%) | 213 (40.6%) | ||
| 113 (17.5%) | 21 (17.5%) | 92 (17.6%) | ||
| 94 (14.6%) | 25 (20.8%) | 69 (13.2%) | ||
| 196 (30.4%) | 46 (38.3%) | 150 (28.6%) | ||
| Hemoglobin (SD) (g/dL) | 11.54 ± 3.06 | 10.13 ± 2.83 | 11.86 ± 3.03 | <0.0001 b | |
| Hematocrit (SD) (%) | 35.78 ± 27.27 | 29.27 ± 7.84 | 34.51 ± 8.45 | <0.0001 b | |
| Leukocyte (Min–Max) (/μL) | 7980 (350–329,080) | 13,180 (2170–329,080) | 7360 (350–251,810) | 0.068 c | |
| Platelet (Min–Max) (/µL) | 249,000 (2000–842,000) | 241,000 (14,000–842,000) | 249,500 (2000–837,000) | 0.001 c | |
| Neutrophil (Min–Max) (%) | 75 (0–98.3) | 84.6 (22–98.3) | 71.95 (0–96.1) | 0.953 c | |
| Lymphocyte (Min–Max) (%) | 15.4 (3–93) | 8.45 (0.3–42.6) | 16.80 (1.2–93) | 0.593 c | |
| NLR (Min–Max) (%) | 4.87 (0–326.67) | 9.91 (0.673–326.66) | 4.20 (0–80.08) | 0.711 c | |
| PLR (Min–Max) (%) | 206.626 (0.5–3122.22) | 267.7558 (1.05–3122.22) | 194.7102 (0.5–2661.54) | 0.095 c | |
| D-Dimer (Min–Max) (ng/mL) | 960 (140–35,200) | 1740 (140–35,300) | 960 (160–35,200) | 0.260 c | |
| CRP (Min–Max) (mg/L) | 33.4 (0–2075) | 83.1 (0.10–399.23) | 30.8 (0–2075) | 0.633 c | |
| Procalcitonin (Min–Max) (ng/mL) | 0.18 (0.02–785.5) | 0.71 (0.04–289.1) | 0.18 (0.02–785.5) | 0.879 c | |
| AST (Min–Max) (U/L) | 26 (4–870) | 41 (6–870) | 25 (4–870) | 0.033 c | |
| ALT (Min–Max) (U/L) | 25 (5–2174) | 26 (6–375) | 25 (5–2174) | 0.260 c | |
| Creatinine (Min–Max) (mg/dL) | 0.9 (0.2–17) | 1.1 (0.2–17) | 0.8 (0.2–16.20) | 0.311 c | |
| Received Steroid Therapy (%) | 203 (31.5%) | 52 (25.6%) | 151 (74.4%) | 0.004 a | |
| Cancer (%) | 260 (40.4%) | 78 (65%) | 182 (34.7%) | <0.0001 a | |
| Liver cirrhosis (%) | 10 (1.6%) | 4 (3.3%) | 6 (1.1%) | 0.080 a | |
| Hypertension (%) | 173 (26.9%) | 27 (22.5%) | 146 (27.9%) | 0.232 a | |
| Diabetes (%) | 118 (18.3%) | 25 (20.8%) | 93 (17.7%) | 0.431 a | |
| Chronic kidney disease (%) | 90 (14%) | 30 (25%) | 60 (11.5%) | <0.0001 a | |
| Cardiovascular disease (%) | 72 (11.2%) | 14 (11.7%) | 58 (11.1%) | 0.851 | |
| Bivariate Analysis | Multivariate Analysis | ||||||
|---|---|---|---|---|---|---|---|
| Variables | Categories | HR | 95% CI | p Value | HR | 95% CI | p Value |
| COVID-19 Severity | Severe | 4.666 | 2.693–8.803 | <0.0001 | 7.024 | 3.871–12.744 | <0.0001 |
| Moderate | 1.533 | 0.974–2.413 | 0.065 | 1.660 | 1.048–2.629 | 0.031 | |
| Mild | Reference | Reference | |||||
| Liver cirrhosis | Yes | 2.452 | 0.900–6.684 | 0.080 | 3.422 | 1.208–9.691 | 0.021 |
| No | Reference | Reference | |||||
| Hypertension | Yes | 0.847 | 0.550–1.306 | 0.453 | - | - | - |
| No | Reference | ||||||
| Diabetes | Yes | 1.092 | 0.702–1.697 | 0.697 | - | - | - |
| No | Reference | ||||||
| Chronic kidney disease | Yes | 1.675 | 1.103–2.542 | 0.015 | - | - | - |
| No | Reference | ||||||
| Cardiovascular disease | Yes | 1.051 | 0.600–1.841 | 0.863 | - | - | - |
| No | Reference | ||||||
| Sex | Female | 1.339 | 0.929–1.930 | 0.118 | 1.738 | 1.187–2.545 | 0.004 |
| Male | Reference | Reference | |||||
| Cancer | Yes | 1.765 | 1.195–2.606 | 0.004 | - | - | - |
| No | Reference | ||||||
| Age | ≥60 years | 1.468 | 1.013–2.128 | 0.043 | 2.139 | 1.279–3.577 | 0.004 |
| <60 years | Reference | Reference | |||||
| BMI | Overweight or obese | 0.662 | 0.425–1.031 | 0.068 | - | - | - |
| Underweight | 1.165 | 0.735–1.845 | 0.515 | ||||
| Normal | Reference | ||||||
| Hemoglobin | Anemia | 1.407 | 0.975–2.029 | 0.068 | - | - | - |
| No anemia | Reference | ||||||
| Leukocyte | ≥15,000 (/μL) | 2.921 | 1.927–4.427 | <0.0001 | 11.502 | 1.523–86.874 | 0.018 |
| <15,000 (/μL) | Reference | Reference | |||||
| Platelet | >249,000 (/μL) | 1.032 | 0.721–1.478 | 0.863 | - | - | - |
| <249,000 (/μL) | Reference | ||||||
| NLR | ≥4.87 | 3.301 | 2.052–5.309 | <0.0001 | 1.720 | 1.049–2.819 | 0.032 |
| <4.87 | Reference | Reference | |||||
| PLR | ≥206.62 | 1.272 | 0.864–1.872 | 0.222 | - | - | - |
| <206.62 | Reference | ||||||
| D-Dimer | ≥850 (ng/mL) | 1.829 | 1.165–2.872 | 0.009 | 1.571 | 0.975–2.530 | 0.063 |
| <850 (ng/mL) | Reference | Reference | |||||
| CRP | ≥33.4 (mg/L) | 3.436 | 2.047–5.768 | <0.0001 | 1.906 | 1.092–3.329 | 0.023 |
| <33.4 (mg/L) | Reference | Reference | |||||
| Procalcitonin | ≥0.18 (ng/mL) | 4.139 | 2.319–7.386 | <0.0001 | 3.281 | 1.780–6.049 | <0.0001 |
| <0.18 (ng/mL) | Reference | Reference | |||||
| AST | ≥130 (U/L) | 2.263 | 1.335–3.835 | 0.002 | - | - | - |
| <130 (U/L) | Reference | ||||||
| ALT | ≥125 (U/L) | 1.497 | 0.758–2.953 | 0.245 | - | - | - |
| <125 (U/L) | Reference | ||||||
| Creatinine | ≥0.9 (mg/dL) | 1.761 | 1.209–2.567 | 0.003 | 1.863 | 1.240–2.800 | 0.003 |
| <0.9 (mg/dL) | Reference | Reference | |||||
| Received Steroid Therapy | Yes | 1.017 | 0.703–1.472 | 0.929 | - | - | - |
| No | Reference | ||||||
| Variables | Category | HR | 95% CI Lower | p Value |
|---|---|---|---|---|
| Age | ≥60 years | 2.225 | 1.184–4.182 | 0.013 |
| <60 years | Reference | |||
| D-Dimer | ≥850 (ng/mL) | 2.942 | 1.126–7.684 | 0.028 |
| <850 (ng/mL) | Reference | |||
| CRP | ≥33.4 (mg/L) | 4.356 | 1.665–11.398 | 0.003 |
| <33.4 (mg/L) | Reference | |||
| PCT | ≥0.18 (ng/mL) | 8.098 | 1.913–34.278 | 0.004 |
| <0.18 (ng/mL) | Reference | |||
| Received Steroid Therapy | Yes | 0.332 | 0.154–0.714 | 0.005 |
| No | Reference |
Disclaimer/Publisher’s Note: The statements, opinions and data contained in all publications are solely those of the individual author(s) and contributor(s) and not of MDPI and/or the editor(s). MDPI and/or the editor(s) disclaim responsibility for any injury to people or property resulting from any ideas, methods, instructions or products referred to in the content. |
© 2024 by the authors. Licensee MDPI, Basel, Switzerland. This article is an open access article distributed under the terms and conditions of the Creative Commons Attribution (CC BY) license (https://creativecommons.org/licenses/by/4.0/).
Share and Cite
Rinaldi, I.; Yulianti, M.; Yunihastuti, E.; Rajabto, W.; Irawan, C.; Sukrisman, L.; Rachman, A.; Mulansari, N.A.; Lubis, A.M.; Prasetyawaty, F.; et al. Factors Associated with All-Cause 30-Day Mortality in Indonesian Inpatient COVID-19 Patients at Cipto Mangunkusumo National General Hospital. J. Clin. Med. 2024, 13, 2998. https://doi.org/10.3390/jcm13102998
Rinaldi I, Yulianti M, Yunihastuti E, Rajabto W, Irawan C, Sukrisman L, Rachman A, Mulansari NA, Lubis AM, Prasetyawaty F, et al. Factors Associated with All-Cause 30-Day Mortality in Indonesian Inpatient COVID-19 Patients at Cipto Mangunkusumo National General Hospital. Journal of Clinical Medicine. 2024; 13(10):2998. https://doi.org/10.3390/jcm13102998
Chicago/Turabian StyleRinaldi, Ikhwan, Mira Yulianti, Evy Yunihastuti, Wulyo Rajabto, Cosphiadi Irawan, Lugyanti Sukrisman, Andhika Rachman, Nadia Ayu Mulansari, Anna Mira Lubis, Findy Prasetyawaty, and et al. 2024. "Factors Associated with All-Cause 30-Day Mortality in Indonesian Inpatient COVID-19 Patients at Cipto Mangunkusumo National General Hospital" Journal of Clinical Medicine 13, no. 10: 2998. https://doi.org/10.3390/jcm13102998
APA StyleRinaldi, I., Yulianti, M., Yunihastuti, E., Rajabto, W., Irawan, C., Sukrisman, L., Rachman, A., Mulansari, N. A., Lubis, A. M., Prasetyawaty, F., Cahyanur, R., Priantono, D., Ahani, A. R., Muthalib, A., Sudoyo, A., Atmakusuma, T. D., Reksodiputro, A. H., Djoerban, Z., Tambunan, K., ... Edina, B. C. (2024). Factors Associated with All-Cause 30-Day Mortality in Indonesian Inpatient COVID-19 Patients at Cipto Mangunkusumo National General Hospital. Journal of Clinical Medicine, 13(10), 2998. https://doi.org/10.3390/jcm13102998

