Does the Anastomosis Recipient Vessel Have an Influence on Free Flap Perfusion in Microvascular Head and Neck Reconstruction—A Retrospective Analysis of 338 Cases with Comparison of Flap Perfusion between Different Arterial and Venous Recipient Vessels in Radial Free Forearm Flaps, Anterolateral Thigh Flaps, and Fibula Free Flaps
Abstract
1. Introduction
2. Materials and Methods
2.1. Study Population
2.2. Flap Perfusion Measurement Data
2.3. Statistical Analysis
3. Results
3.1. Clinical Characteristics of the Study Population
3.2. Comparison of Flap Perfusion between Arterial Anastomosis Recipient Vessels
3.3. Comparison of Flap Perfusion between Venous Anastomosis Recipient Vessels
4. Discussion
5. Conclusions
Author Contributions
Funding
Institutional Review Board Statement
Informed Consent Statement
Data Availability Statement
Conflicts of Interest
Abbreviations
References
- Carroll, W.R.; Esclamado, R.M. Ischemia/reperfusion injury in microvascular surgery. Head Neck 2000, 22, 700–713. [Google Scholar] [CrossRef] [PubMed]
- Bianchi, B.; Copelli, C.; Ferrari, S.; Ferri, A.; Sesenna, E. Free flaps: Outcomes and complications in head and neck recon-structions. J. Cranio-Maxillofac. Surg. 2009, 37, 438–442. [Google Scholar] [CrossRef] [PubMed]
- Chang, S.C.; Chu, M.W.; Nelson, J.A.; Basta, M.; Gerety, P.; Kanchwala, S.K.; Wu, L.C. Complications and Cost Analysis of Intraoperative Arterial Complications in Head and Neck Free Flap Reconstruction. J. Reconstr. Microsurg. 2017, 33, 318–327. [Google Scholar] [CrossRef]
- Abouyared, M.; Katz, A.P.; Ein, L.; Ketner, J.; Sargi, Z.; Nicolli, E.; Leibowitz, J.M. Controversies in free tissue transfer for head and neck cancer: A review of the literature. Head Neck 2019, 41, 3457–3463. [Google Scholar] [CrossRef] [PubMed]
- Wang, K.-Y.; Lin, Y.-S.; Chen, L.-W.; Yang, K.-C.; Huang, W.-C.; Liu, W.-C. Risk of Free Flap Failure in Head and Neck Re-construction: Analysis of 21,548 Cases From A Nationwide Database. Ann. Plast. Surg. 2020, 84, S3–S6. [Google Scholar] [CrossRef]
- Awwad, L.; Obed, D.; Vogt, P.M.; Kaltenborn, A.; Koenneker, S. Superficial Temporal Recipient Vessels for Craniofacial Microvascular Free-Flaps. J. Craniofacial Surg. 2022, 33, e652–e657. [Google Scholar] [CrossRef] [PubMed]
- Beckert, S.; Witte, M.B.; Konigsrainer, A.; Coerper, S. The Impact of the Micro-Lightguide O2C for the quantification of tissue ischemia in diabetic foot ulcers. Diabetes Care 2004, 27, 2863–2867. [Google Scholar] [CrossRef] [PubMed]
- Hölzle, F.; Loeffelbein, D.J.; Nolte, D.; Wolff, K.-D. Free flap monitoring using simultaneous non-invasive laser Doppler flowmetry and tissue spectrophotometry. J. Cranio-Maxillofac. Surg. 2006, 34, 25–33. [Google Scholar] [CrossRef]
- Abdel-Galil, K.; Mitchell, D. Postoperative monitoring of microsurgical free tissue transfers for head and neck recon-struction: A systematic review of current techniques—Part I. Non-invasive techniques. Br. J. Oral Maxillofac. Surg. 2009, 47, 351–355. [Google Scholar] [CrossRef]
- Hölzle, F.; Rau, A.; Loeffelbein, D.; Mücke, T.; Kesting, M.; Wolff, K.-D. Results of monitoring fasciocutaneous, myocutaneous, osteocutaneous and perforator flaps: 4-year experience with 166 cases. Int. J. Oral Maxillofac. Surg. 2010, 39, 21–28. [Google Scholar] [CrossRef]
- Mücke, T.; Wolff, K.-D.; Rau, A.; Kehl, V.; Mitchell, D.A.; Steiner, T. Autonomization of free flaps in the oral cavity: A pro-spective clinical study. Microsurgery 2012, 32, 201–206. [Google Scholar] [CrossRef] [PubMed]
- Rahmanian-Schwarz, A.; Rothenberger, J.; Amr, A.; Jaminet, P.; Schaller, H.-E. A postoperative analysis of perfusion dynamics in deep inferior epigastric perforator flap breast reconstruction: A noninvasive quantitative measurement of flap oxygen saturation and blood flow. Ann. Plast. Surg. 2012, 69, 535–539. [Google Scholar] [CrossRef] [PubMed]
- Yazar, S. Selection of recipient vessels in microsurgical free tissue reconstruction of head and neck defects. Microsurgery 2007, 27, 588–594. [Google Scholar] [CrossRef] [PubMed]
- Dassonville, O.; Poissonnet, G.; Chamorey, E.; Vallicioni, J.; Demard, F.; Santini, J.; Lecoq, M.; Converset, S.; Mahdyoun, P.; Bozec, A. Head and neck reconstruction with free flaps: A report on 213 cases. Eur. Arch. Oto-Rhino-Laryngol. 2007, 265, 85–95. [Google Scholar] [CrossRef]
- Joo, Y.-H.; Sun, D.-I.; Park, J.-O.; Cho, K.-J.; Kim, M.-S. Risk factors of free flap compromise in 247 cases of microvascular head and neck reconstruction: A single surgeon’s experience. Eur. Arch. Otorhinolaryngol. 2010, 267, 1629–1633. [Google Scholar] [CrossRef] [PubMed]
- Herrera-Núñez, M.; Menchaca-Gutiérrez, J.L.; Pinales-Razo, R.; Elizondo-Riojas, G.; Quiroga-Garza, A.; Fernandez-Rodarte, B.A.; Elizondo-Omaña, R.E.; Guzmán-López, S. Origin variations of the superior thyroid, lingual, and facial arteries: A computed tomography angiography study. Surg. Radiol. Anat. 2020, 42, 1085–1093. [Google Scholar] [CrossRef] [PubMed]
- Baz, R.-A.; Scheau, C.; Rusali, A.C.; Bordei, P. Computed tomography-assessed variations of the carotid sinus. Surg. Radiol. Anat. 2022, 44, 293–298. [Google Scholar] [CrossRef] [PubMed]
- Chalian, A.A.; Anderson, T.D.; Weinstein, G.S.; Weber, R.S. Internal jugular vein versus external jugular vein anastamo-sis: Implications for successful free tissue transfer. Head Neck 2001, 23, 475–478. [Google Scholar] [CrossRef] [PubMed]
- Cheng, H.-T.; Lin, F.-Y.; Chang, S.C.-N. External or internal jugular vein? Recipient vein selection in head and neck free tissue transfer: An evidence-based systematic analysis. Plast. Reconstr. Surg. 2012, 129, 730e–731e. [Google Scholar] [CrossRef]
- Sirs, J.A. The flow of human blood through capillary tubes. J. Physiol. 1991, 442, 569–583. [Google Scholar] [CrossRef]
- Yamamoto, Y.; Nohira, K.; Kuwahara, H.; Sekido, M.; Furukawa, H.; Sugihara, T. Superiority of end-to-side anastomosis with the internal jugular vein: The experience of 80 cases in head and neck microsurgical reconstruction. Br. J. Plast. Surg. 1999, 52, 88–91. [Google Scholar] [CrossRef] [PubMed]
- Futran, N.D.; Stack, B.C. Single versus dual venous drainage of the radial forearm free flap. Am. J. Otolaryngol. 1996, 17, 112–117. [Google Scholar] [CrossRef] [PubMed]
- Lorenzetti, F.; Suominen, S.; Tukiainen, E.; Kuokkanen, H.; Suominen, E.; Vuola, J.; Asko-Seljavaara, S. Evaluation of Blood Flow in Free Microvascular Flaps. J. Reconstr. Microsurg. 2001, 17, 163–168. [Google Scholar] [CrossRef] [PubMed]
- Hanasono, M.M.; Kocak, E.; Ogunleye, O.; Hartley, C.J.; Miller, M.J. One versus two venous anastomoses in microvascu-lar free flap surgery. Plast. Reconstr. Surg. 2010, 126, 1548–1557. [Google Scholar] [CrossRef] [PubMed]
- Kruse, A.L.; Luebbers, H.T.; Grätz, K.W.; Obwegeser, J.A. Factors influencing survival of free-flap in reconstruction for cancer of the head and neck: A literature review. Microsurgery 2010, 30, 242–248. [Google Scholar] [CrossRef] [PubMed]
- Latza, U.; Hoffmann, W.; Terschüren, C.; Chang-Claude, J.; Kreuzer, M.; Rosario, A.S.; Kropp, S.; Stang, A.; Ahrens, W.; Lampert, T.; et al. Rauchen als möglicher Confounder in epidemiologischen Studien: Standardisierung der Erhebung, Quantifizierung und Analyse. Gesundheitswesen 2005, 67, 795–802. [Google Scholar] [CrossRef] [PubMed]
- Mücke, T.; Rau, A.; Merezas, A.; Kanatas, A.; Mitchell, D.A.; Wagenpfeil, S.; Wolff, K.D.; Steiner, T. Changes of perfusion of microvascular free flaps in the head and neck: A prospec-tive clinical study. Br. J. Oral Maxillofac. Surg. 2014, 52, 810–815. [Google Scholar] [CrossRef] [PubMed]
- Weinzweig, N.; Gonzalez, M. Free tissue failure is not an all-or-none phenomenon. Plast. Reconstr. Surg. 1995, 96, 648–660. [Google Scholar] [CrossRef] [PubMed]
- Gerressen, M.; Pastaschek, C.I.; Riediger, D.; Hilgers, R.-D.; Hölzle, F.; Noroozi, N.; Ghassemi, A. Microsurgical Free Flap Reconstructions of Head and Neck Region in 406 Cases: A 13-Year Experience. J. Oral Maxillofac. Surg. 2013, 71, 628–635. [Google Scholar] [CrossRef]
- Preidl, R.; Wehrhan, F.; Schlittenbauer, T.; Neukam, F.; Stockmann, P. Perioperative factors that influence the outcome of microsurgical reconstructions in craniomaxillofacial surgery. Br. J. Oral Maxillofac. Surg. 2015, 53, 533–537. [Google Scholar] [CrossRef]
- De Backer, D.; Foulon, P. Minimizing catecholamines and optimizing perfusion. Crit. Care 2019, 23, 149. [Google Scholar] [CrossRef]
- Okazaki, K.; Fu, Q.; Martini, E.R.; Shook, R.; Conner, C.; Zhang, R.; Crandall, C.G.; Levine, B.D.; Cui, J.; McQuillan, P.M.; et al. Vasoconstriction during venous congestion: Effects of venoarteriolar response, myogenic reflexes, and hemodynamics of changing perfusion pressure. Am. J. Physiol. Integr. Comp. Physiol. 2005, 289, R1354–R1359. [Google Scholar] [CrossRef]
- Hohlweg-Majert, B.; Ristow, O.; Gust, K.; Kehl, V.; Wolff, K.-D.; Pigorsch, S. Impact of radiotherapy on microsurgical re-construction of the head and neck. J. Cancer Res. Clin. Oncol. 2012, 138, 1799–1811. [Google Scholar] [CrossRef] [PubMed]
- Ichinose, A.; Tahara, S.; Terashi, H.; Yokoo, S. Reestablished circulation after free radial forearm flap transfer. J. Reconstr. Microsurg. 2004, 20, 207–213. [Google Scholar] [CrossRef]
- Ritschl, L.M.; Niu, M.; Wolff, C.T.; Schwarz, M.; Roth, M.; Wolff, K.; Fichter, A.M. Blood flow analyses by intraoperative transit-time flow measurements of free flaps for head and neck reconstructions: A prospective single-center study. Microsurgery 2022, 43, 99–108. [Google Scholar] [CrossRef]
- Dornseifer, U.; Fichter, A.M.; von Isenburg, S.; Stergioula, S.; Rondak, I.-C.; Ninkovic, M. Impact of active thermoregula-tion on the microcirculation of free flaps. Microsurgery 2016, 36, 216–224. [Google Scholar] [CrossRef]
- Stün, G.G.; Aksu, A.E.; Uzun, H.; Bitik, O. The systematic review and meta-analysis of free flap safety in the elderly patients. Microsurgery 2017, 37, 442–450. [Google Scholar]
- Swendseid, B.; Stewart, M.; Mastrolonardo, E.; McCreary, E.; Heffelfinger, R.; Luginbuhl, A.; Sweeny, L.; Wax, M.K.; Curry, J. Technical Considerations in Pedicle Management in Upper and Midfacial Free Flap Reconstruction. Laryngoscope 2021, 131, 2465–2470. [Google Scholar] [CrossRef] [PubMed]



| Recipient Vessel | Configuration | Number | Patient Number (%) |
|---|---|---|---|
| Arterial anastomosis * | |||
| ECA | end-to-end | 1 | 24 (7.1) |
| FAA | end-to-end | 1 | 137 (40.5) |
| LIA | end-to-end | 1 | 20 (5.9) |
| STA | end-to-end | 1 | 157 (46.4) |
| Venous anastomosis ** | |||
| IJV | end-to-side | 1 or 2 | 257 (76.0) |
| IJV + IJVB | end-to-side and end-to-end | 2 | 43 (12.7) |
| IJVB | end-to-end | 1 | 24 (7.1) |
| EJV | end-to-side or end-to-end | 1 or 2 | 14 (4.1) |
| Variable | All Patients (n = 338) | p-Value 1 | p-Value 2 |
|---|---|---|---|
| Sex (n) | |||
| Male | 173 (51.2%) | 0.340 | 0.587 |
| Female | 165 (48.8%) | ||
| Age (years) | 64.0 (18.0) | 0.563 | 0.777 |
| BMI (kg/m2) | 24.4 (6.1) | 0.108 | 0.110 |
| ASA (n) | |||
| 1 + 2 | 177 (52.4%) | 0.077 | 0.986 |
| 3 + 4 | 161 (47.6%) | ||
| Flap type (n) | |||
| RFFF | 160 (47.3%) | 0.003 | 0.001 |
| ALTF | 133 (39.3%) | ||
| FFF | 45 (13.3%) | ||
| Flap location (n) | |||
| Tongue | 46 (13.6%) | 0.840 | 0.003 |
| Floor of mouth | 69 (20.4%) | ||
| Mandible | 93 (27.5%) | ||
| Maxilla + hard palate | 44 (13.0%) | ||
| Cheek | 26 (7.7%) | ||
| Soft palate | 15 (4.4%) | ||
| Extraoral | 45 (13.3%) | ||
| Surgery duration (min) | 547.5 (154.0) | 0.004 | 0.191 |
| Flap ischemia duration (min) | 106.5 (35.0) | 0.205 | 0.855 |
| Diabetes (n) | |||
| No | 288 (85.2%) | 0.906 | 0.069 |
| Yes | 50 (14.8%) | ||
| Arterial hypertension (n) | |||
| No | 216 (63.9%) | 0.805 | 0.735 |
| Yes | 122 (36.1%) | ||
| Peripheral arterial disease (n) | |||
| No | 328 (97.0%) | 0.885 | 0.801 |
| Yes | 10 (3.0%) | ||
| Smoking status (n) | |||
| No | 206 (60.9%) | 0.745 | 0.153 |
| Yes | 132 (39.1%) | ||
| Prior neck dissection (n) | |||
| No | 265 (78.4%) | <0.001 | 0.895 |
| Yes | 73 (21.6%) | ||
| Prior neck irradiation (n) | |||
| No | 294 (87.0%) | <0.001 | 0.630 |
| Yes | 44 (13.0%) | ||
| Flap survival (n) | |||
| No | 6 (1.8%) | 0.288 | 0.415 |
| Yes | 332 (98.2%) | ||
| Flap revision (n) | |||
| No | 321 (95.0%) | 0.472 | 0.529 |
| Yes | 17 (5.0%) | ||
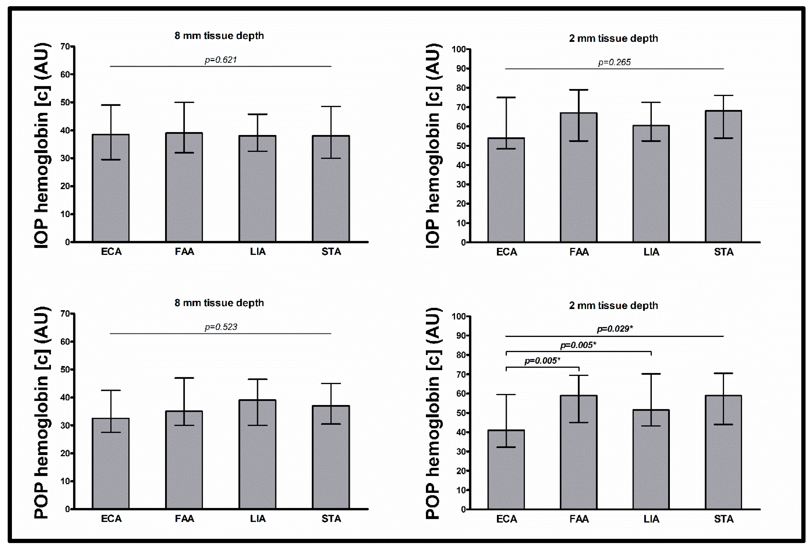
| Variable | ECA | FAA | LIA | STA | p-Value |
|---|---|---|---|---|---|
| Intraoperative measurement | |||||
| 8 mm tissue depth | |||||
| FLOW (AU) | 119.5 (69.3) | 107.0 (70.0) | 142.5 (99.5) | 115.0 (76.0) | 0.239 |
| HB (AU) | 38.5 (19.5) | 39.0 (18.0) | 38.0 (13.3) | 38.0 (18.5) | 0.621 |
| SO2 (%) | 72.5 (35.0) | 66.0 (35.0) | 70.5 (36.0) | 70.0 (29.0) | 0.735 |
| 2 mm tissue depth | |||||
| FLOW (AU) | 25.5 (24.3) | 25.0 (26.0) | 37.5 (36.3) | 23.0 (26.0) | 0.546 |
| HB (AU) | 54.0 (26.5) | 67.0 (26.5) | 60.5 (20.0) | 68.0 (22.0) | 0.265 |
| SO2 (%) | 66.0 (46.3) | 74.0 (35.0) | 65.0 (13.3) | 74.0 (33.5) | 0.183 |
| Postoperative measurement | |||||
| 8 mm tissue depth | |||||
| FLOW (AU) | 109.0 (44.8) | 119.0 (71.0) | 142.0 (85.3) | 127.0 (78.0) | 0.066 |
| HB (AU) | 32.5 (15.0) | 35.0 (17.0) | 39.0 (16.5) | 37.0 (14.5) | 0.523 |
| SO2 (%) | 67.0 (27.5) | 60.0 (35.0) | 71.0 (34.5) | 60.0 (33.0) | 0.491 |
| 2 mm tissue depth | |||||
| FLOW (AU) | 23.5 (23.0) | 31.0 (36.0) | 38.0 (33.0) | 29.0 (34.0) | 0.607 |
| HB (AU) | 41.0 (27.3) | 59.0 (24.5) | 51.5 (27.0) | 59.0 (26.5) | 0.029 * |
| SO2 (%) | 43.0 (33.3) | 68.0 (36.5) | 56.0 (34.5) | 62.0 (31.5) | 0.072 |
| Variable | IJV | IJV + IJVB | IJVB | EJV | p-Value |
|---|---|---|---|---|---|
| Intraoperative measurement | |||||
| 8 mm tissue depth | |||||
| FLOW (AU) | 117.0 (82.5) | 126.0 (51.0) | 99.5 (58.5) | 77.5 (51.5) | 0.055 |
| HB (AU) | 39.0 (18.5) | 36.0 (25.0) | 35.0 (15.5) | 37.0 (8.8) | 0.411 |
| SO2 (%) | 69.0 (31.0) | 70.0 (38.0) | 71.0 (30.5) | 57.5 (48.5) | 0.388 |
| 2 mm tissue depth | |||||
| FLOW (AU) | 24.0 (28.5) | 25.0 (21.0) | 23.5 (33.0) | 15.5 (13.0) | 0.251 |
| HB (AU) | 68.0 (24.0) | 68.0 (18.0) | 54.5 (30.5) | 64.5 (39.5) | 0.100 |
| SO2 (%) | 72.0 (33.0) | 75.0 (41.0) | 73.0 (36.8) | 72.5 (39.5) | 0.805 |
| Postoperative measurement | |||||
| 8 mm tissue depth | |||||
| FLOW (AU) | 125.0 (75.5) | 111.0 (75.0) | 106.5 (66.5) | 127.0 (82.8) | 0.510 |
| HB (AU) | 37.0 (16.0) | 35.0 (17.0) | 31.0 (11.8) | 37.0 (16.3) | 0.200 |
| SO2 (%) | 62.0 (34.5) | 61.0 (26.0) | 67.5 (30.3) | 48.0 (37.3) | 0.436 |
| 2 mm tissue depth | |||||
| FLOW (AU) | 31.0 (34.5) | 29.0 (29.0) | 21.0 (26.5) | 32.5 (42.0) | 0.767 |
| HB (AU) | 58.0 (25.5) | 57.0 (25.0) | 44.5 (25.3) | 53.0 (40.3) | 0.390 |
| SO2 (%) | 63.0 (35.5) | 62.0 (38.0) | 67.0 (38.8) | 49.5 (39.5) | 0.485 |
Disclaimer/Publisher’s Note: The statements, opinions and data contained in all publications are solely those of the individual author(s) and contributor(s) and not of MDPI and/or the editor(s). MDPI and/or the editor(s) disclaim responsibility for any injury to people or property resulting from any ideas, methods, instructions or products referred to in the content. |
© 2024 by the authors. Licensee MDPI, Basel, Switzerland. This article is an open access article distributed under the terms and conditions of the Creative Commons Attribution (CC BY) license (https://creativecommons.org/licenses/by/4.0/).
Share and Cite
Ooms, M.; Winnand, P.; Heitzer, M.; Katz, M.S.; Peters, F.; Bickenbach, J.; Hölzle, F.; Modabber, A. Does the Anastomosis Recipient Vessel Have an Influence on Free Flap Perfusion in Microvascular Head and Neck Reconstruction—A Retrospective Analysis of 338 Cases with Comparison of Flap Perfusion between Different Arterial and Venous Recipient Vessels in Radial Free Forearm Flaps, Anterolateral Thigh Flaps, and Fibula Free Flaps. J. Clin. Med. 2024, 13, 2763. https://doi.org/10.3390/jcm13102763
Ooms M, Winnand P, Heitzer M, Katz MS, Peters F, Bickenbach J, Hölzle F, Modabber A. Does the Anastomosis Recipient Vessel Have an Influence on Free Flap Perfusion in Microvascular Head and Neck Reconstruction—A Retrospective Analysis of 338 Cases with Comparison of Flap Perfusion between Different Arterial and Venous Recipient Vessels in Radial Free Forearm Flaps, Anterolateral Thigh Flaps, and Fibula Free Flaps. Journal of Clinical Medicine. 2024; 13(10):2763. https://doi.org/10.3390/jcm13102763
Chicago/Turabian StyleOoms, Mark, Philipp Winnand, Marius Heitzer, Marie Sophie Katz, Florian Peters, Johannes Bickenbach, Frank Hölzle, and Ali Modabber. 2024. "Does the Anastomosis Recipient Vessel Have an Influence on Free Flap Perfusion in Microvascular Head and Neck Reconstruction—A Retrospective Analysis of 338 Cases with Comparison of Flap Perfusion between Different Arterial and Venous Recipient Vessels in Radial Free Forearm Flaps, Anterolateral Thigh Flaps, and Fibula Free Flaps" Journal of Clinical Medicine 13, no. 10: 2763. https://doi.org/10.3390/jcm13102763
APA StyleOoms, M., Winnand, P., Heitzer, M., Katz, M. S., Peters, F., Bickenbach, J., Hölzle, F., & Modabber, A. (2024). Does the Anastomosis Recipient Vessel Have an Influence on Free Flap Perfusion in Microvascular Head and Neck Reconstruction—A Retrospective Analysis of 338 Cases with Comparison of Flap Perfusion between Different Arterial and Venous Recipient Vessels in Radial Free Forearm Flaps, Anterolateral Thigh Flaps, and Fibula Free Flaps. Journal of Clinical Medicine, 13(10), 2763. https://doi.org/10.3390/jcm13102763

