Short-Term Changes in Arterial Stiffness Measured by 2D Speckle Tracking in Patients Undergoing Transcatheter Aortic Valve Implantation
Abstract
:1. Introduction
2. Materials and Methods
3. Results
3.1. Study Sample
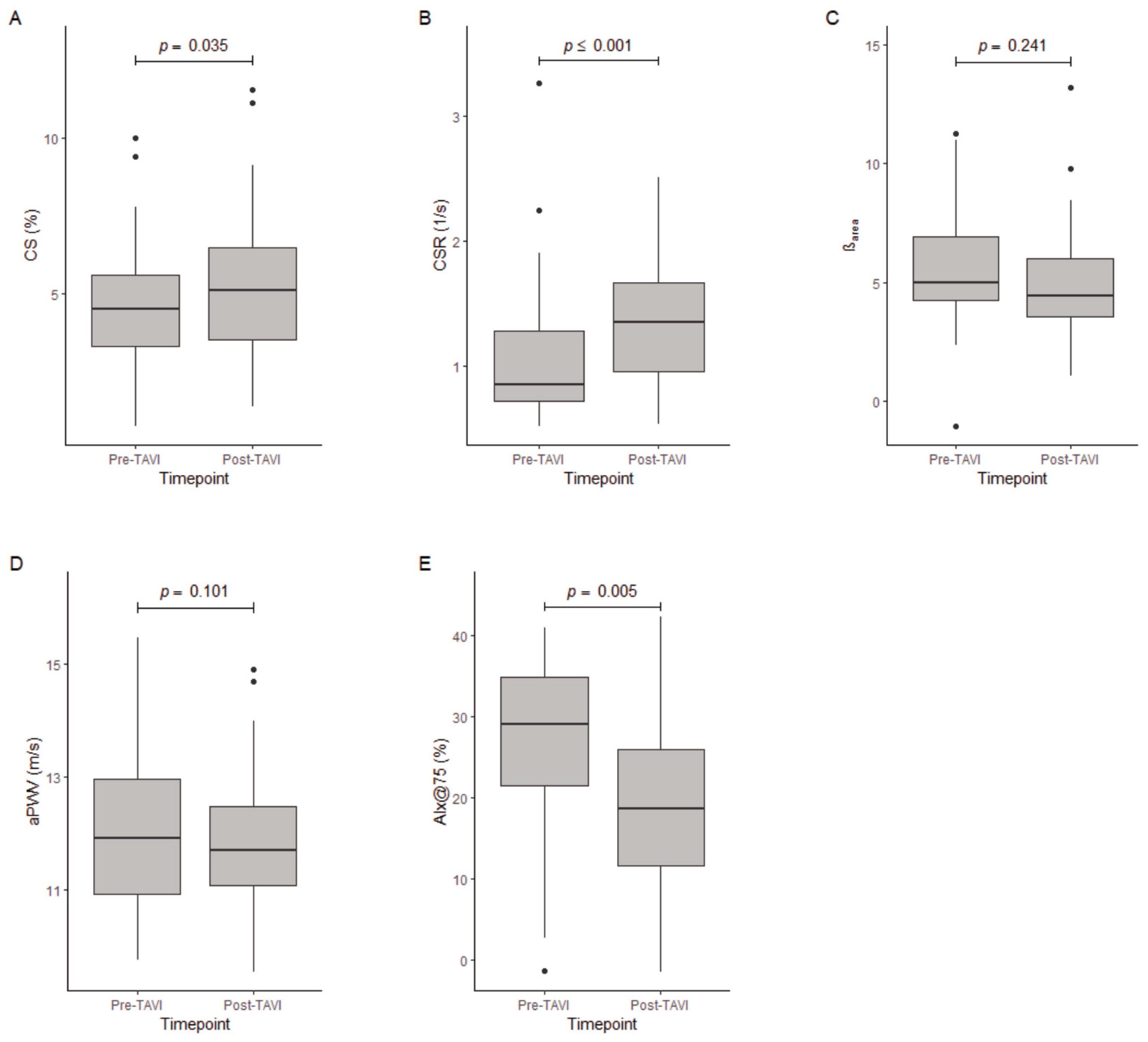
3.2. Changes in Arterial Stiffness after TAVI
3.3. Assessment of Arterial Stiffness
3.4. Agreement between Stiffness Parameters
4. Discussion
5. Conclusions
Supplementary Materials
Author Contributions
Funding
Institutional Review Board Statement
Informed Consent Statement
Data Availability Statement
Acknowledgments
Conflicts of Interest
References
- Lindman, B.R.; Clavel, M.-A.; Mathieu, P.; Iung, B.; Lancellotti, P.; Otto, C.M.; Pibarot, P. Calcific Aortic Stenosis. Nat. Rev. Dis. Primers 2016, 2, 16006. [Google Scholar] [CrossRef] [PubMed]
- Daniel, W.G.; Baumgartner, H.; Gohlke-Bärwolf, C.; Hanrath, P.; Horstkotte, D.; Koch, K.C.; Mügge, A.; Schäfers, H.J.; Flachskampf, F.A. Klappenvitien im Erwachsenenalter. Clin. Res. Cardiol. 2006, 95, 620–641. [Google Scholar] [CrossRef] [PubMed]
- Mack, M.J.; Leon, M.B.; Thourani, V.H.; Makkar, R.; Kodali, S.K.; Russo, M.; Kapadia, S.R.; Malaisrie, S.C.; Cohen, D.J.; Pibarot, P.; et al. Transcatheter Aortic-Valve Replacement with a Balloon-Expandable Valve in Low-Risk Patients. N. Engl. J. Med. 2019, 380, 1695–1705. [Google Scholar] [CrossRef] [PubMed]
- Kim, W.-K.; Hamm, C.W. Transcatheter Aortic Valve Implantation in Germany. Clin. Res. Cardiol. 2018, 107, 81–87. [Google Scholar] [CrossRef] [PubMed]
- Ohkuma, T.; Ninomiya, T.; Tomiyama, H.; Kario, K.; Hoshide, S.; Kita, Y.; Inoguchi, T.; Maeda, Y.; Kohara, K.; Tabara, Y.; et al. Brachial-Ankle Pulse Wave Velocity and the Risk Prediction of Cardiovascular Disease: An Individual Participant Data Meta-Analysis. Hypertension 2017, 69, 1045–1052. [Google Scholar] [CrossRef] [PubMed]
- Ben-Shlomo, Y.; Spears, M.; Boustred, C.; May, M.; Anderson, S.G.; Benjamin, E.J.; Boutouyrie, P.; Cameron, J.; Chen, C.-H.; Cruickshank, J.K.; et al. Aortic Pulse Wave Velocity Improves Cardiovascular Event Prediction: An Individual Participant Meta-Analysis of Prospective Observational Data from 17,635 Subjects. J. Am. Coll. Cardiol. 2014, 63, 636–646. [Google Scholar] [CrossRef] [PubMed]
- Broyd, C.J.; Patel, K.; Pugliese, F.; Chehab, O.; Mathur, A.; Baumbach, A.; Ozkor, M.; Kennon, S.; Mullen, M. Pulse Wave Velocity Can Be Accurately Measured during Transcatheter Aortic Valve Implantation and Used for Post-Procedure Risk Stratification. J. Hypertens. 2019, 37, 1845–1852. [Google Scholar] [CrossRef]
- Terentes-Printzios, D.; Gardikioti, V.; Aznaouridis, K.; Latsios, G.; Drakopoulou, M.; Siasos, G.; Oikonomou, E.; Tsigkou, V.; Xanthopoulou, M.; Vavuranakis, Μ.; et al. The Impact of Transcatheter Aortic Valve Implantation on Arterial Stiffness and Wave Reflections. Int. J. Cardiol. 2021, 323, 213–219. [Google Scholar] [CrossRef]
- Plunde, O.; Franco-Cereceda, A.; Bäck, M. Cardiovascular Risk Factors and Hemodynamic Measures as Determinants of Increased Arterial Stiffness Following Surgical Aortic Valve Replacement. Front. Cardiovasc. Med. 2021, 8, 754371. [Google Scholar] [CrossRef]
- Podgórski, M.; Grzelak, P.; Kaczmarska, M.; Polguj, M.; Łukaszewski, M.; Stefańczyk, L. Feasibility of Two-Dimensional Speckle Tracking in Evaluation of Arterial Stiffness: Comparison with Pulse Wave Velocity and Conventional Sonographic Markers of Atherosclerosis. Vascular 2018, 26, 63–69. [Google Scholar] [CrossRef]
- World Medical Association World Medical Association Declaration of Helsinki: Ethical Principles for Medical Research Involving Human Subjects. JAMA 2013, 310, 2191–2194. [CrossRef] [PubMed]
- Vahanian, A.; Beyersdorf, F.; Praz, F.; Milojevic, M.; Baldus, S.; Bauersachs, J.; Capodanno, D.; Conradi, L.; De Bonis, M.; De Paulis, R.; et al. 2021 ESC/EACTS Guidelines for the Management of Valvular Heart Disease: Developed by the Task Force for the Management of Valvular Heart Disease of the European Society of Cardiology (ESC) and the European Association for Cardio-Thoracic Surgery (EACTS). Eur. Heart J. 2022, 43, 561–632. [Google Scholar] [CrossRef] [PubMed]
- Baldus, S.; Bauersachs, J.; Beckmann, A.; Bleiziffer, S.; Böning, A.; Conradi, L.; Ensminger, S.; Falk, V.; Frerker, C.; Liebetrau, C.; et al. Gemeinsamer Kommentar der Deutschen Gesellschaft für Kardiologie (DGK) und der Deutschen Gesellschaft für Thorax-, Herz- und Gefäßchirurgie (DGTHG) zu den Leitlinien (2021) der ESC/EACTS zum Management von Herzklappenerkrankungen. Kardiologie 2022, 16, 270–278. [Google Scholar] [CrossRef]
- Li, P.; Mandilaras, G.; Jakob, A.; Dalla-Pozza, R.; Haas, N.A.; Oberhoffer, F.S. Energy Drinks and Their Acute Effects on Arterial Stiffness in Healthy Children and Teenagers: A Randomized Trial. J. Clin. Med. 2022, 11, 2087. [Google Scholar] [CrossRef] [PubMed]
- Cho, J.Y.; Kim, K.H. Evaluation of Arterial Stiffness by Echocardiography: Methodological Aspects. Chonnam Med. J. 2016, 52, 101–106. [Google Scholar] [CrossRef] [PubMed]
- Spronck, B.; Avolio, A.P.; Tan, I.; Butlin, M.; Reesink, K.D.; Delhaas, T. Arterial Stiffness Index Beta and Cardio-Ankle Vascular Index Inherently Depend on Blood Pressure but Can Be Readily Corrected. J. Hypertens. 2017, 35, 98–104. [Google Scholar] [CrossRef] [PubMed]
- Laurent, S.; Cockcroft, J.; Van Bortel, L.; Boutouyrie, P.; Giannattasio, C.; Hayoz, D.; Pannier, B.; Vlachopoulos, C.; Wilkinson, I.; Struijker-Boudier, H.; et al. Expert Consensus Document on Arterial Stiffness: Methodological Issues and Clinical Applications. Eur. Heart J. 2006, 27, 2588–2605. [Google Scholar] [CrossRef]
- Wassertheurer, S.; Kropf, J.; Weber, T.; van der Giet, M.; Baulmann, J.; Ammer, M.; Hametner, B.; Mayer, C.C.; Eber, B.; Magometschnigg, D. A New Oscillometric Method for Pulse Wave Analysis: Comparison with a Common Tonometric Method. J. Hum. Hypertens. 2010, 24, 498–504. [Google Scholar] [CrossRef]
- Hametner, B.; Wassertheurer, S.; Kropf, J.; Mayer, C.; Eber, B.; Weber, T. Oscillometric Estimation of Aortic Pulse Wave Velocity: Comparison with Intra-Aortic Catheter Measurements. Blood Press. Monit. 2013, 18, 173–176. [Google Scholar] [CrossRef]
- Wassertheurer, S.; Mayer, C.; Breitenecker, F. Modeling Arterial and Left Ventricular Coupling for Non-Invasive Measurements. Simul. Model. Pract. Theory 2008, 16, 988–997. [Google Scholar] [CrossRef]
- Raimundo, R.; Saraiva, F.; Moreira, R.; Moreira, S.; Ferreira, A.F.; Cerqueira, R.J.; Amorim, M.J.; Pinho, P.; Barros, A.S.; Lourenço, A.P.; et al. Arterial Stiffness Changes in Severe Aortic Stenosis Patients Submitted to Valve Replacement Surgery. Arq. Bras. Cardiol. 2021, 116, 475–482. [Google Scholar] [CrossRef] [PubMed]
- Chirinos, J.A.; Akers, S.R.; Schelbert, E.; Snyder, B.S.; Witschey, W.R.; Jacob, R.M.; Jamis-Dow, C.; Ansari, B.; Lee, J.; Segers, P.; et al. Arterial Properties as Determinants of Left Ventricular Mass and Fibrosis in Severe Aortic Stenosis: Findings from ACRIN PA 4008. J. Am. Heart Assoc. 2019, 8, e03742. [Google Scholar] [CrossRef]
- Zieman, S.J.; Melenovsky, V.; Kass, D.A. Mechanisms, Pathophysiology, and Therapy of Arterial Stiffness. Arterioscler. Thromb. Vasc. Biol. 2005, 25, 932–943. [Google Scholar] [CrossRef] [PubMed]
- Kavsur, R.; Schaefer, C.; Stumpf, M.J.; Weber, M.; Sugiura, A.; Becher, M.U.; Zimmer, S.; Nickenig, G.; Schahab, N. Carotid Stiffness after Transcatheter Aortic Valve Replacement. Angiology 2023, 0, 00033197231195647. [Google Scholar] [CrossRef] [PubMed]
- Cantürk, E.; Çakal, B.; Karaca, O.; Omaygenç, O.; Salihi, S.; Özyüksel, A.; Akçevin, A. Changes in Aortic Pulse Wave Velocity and the Predictors of Improvement in Arterial Stiffness Following Aortic Valve Replacement. Ann. Thorac. Cardiovasc. Surg. 2017, 23, 248–255. [Google Scholar] [CrossRef] [PubMed]
- Bruschi, G.; Maloberti, A.; Sormani, P.; Colombo, G.; Nava, S.; Vallerio, P.; Casadei, F.; Bruno, J.; Moreo, A.; Merlanti, B.; et al. Arterial Stiffness in Aortic Stenosis: Relationship with Severity and Echocardiographic Procedures Response. High. Blood Press. Cardiovasc. Prev. 2017, 24, 19–27. [Google Scholar] [CrossRef] [PubMed]
- Larsson, M.; Heyde, B.; Kremer, F.; Brodin, L.-Å.; D’hooge, J. Ultrasound Speckle Tracking for Radial, Longitudinal and Circumferential Strain Estimation of the Carotid Artery—An in Vitro Validation via Sonomicrometry Using Clinical and High-Frequency Ultrasound. Ultrasonics 2015, 56, 399–408. [Google Scholar] [CrossRef]
- Larsson, M.; Verbrugghe, P.; Smoljkić, M.; Verhoeven, J.; Heyde, B.; Famaey, N.; Herijgers, P.; D’hooge, J. Strain Assessment in the Carotid Artery Wall Using Ultrasound Speckle Tracking: Validation in a Sheep Model. Phys. Med. Biol. 2015, 60, 1107. [Google Scholar] [CrossRef]
- Yang, E.Y.; Dokainish, H.; Virani, S.S.; Misra, A.; Pritchett, A.M.; Lakkis, N.; Brunner, G.; Bobek, J.; McCulloch, M.L.; Hartley, C.J.; et al. Segmental Analysis of Carotid Arterial Strain Using Speckle-Tracking. J. Am. Soc. Echocardiogr. 2011, 24, 1276–1284.e5. [Google Scholar] [CrossRef]
- Kawasaki, T.; Fukuda, S.; Shimada, K.; Maeda, K.; Yoshida, K.; Sunada, H.; Inanami, H.; Tanaka, H.; Jissho, S.; Taguchi, H.; et al. Direct Measurement of Wall Stiffness for Carotid Arteries by Ultrasound Strain Imaging. J. Am. Soc. Echocardiogr. 2009, 22, 1389–1395. [Google Scholar] [CrossRef]
- Rosenberg, A.J.; Lane-Cordova, A.D.; Wee, S.O.; White, D.W.; Hilgenkamp, T.I.M.; Fernhall, B.; Baynard, T. Healthy Aging and Carotid Performance: Strain Measures and β-Stiffness Index. Hypertens. Res. 2018, 41, 748–755. [Google Scholar] [CrossRef] [PubMed]
- Vizzardi, E.; Sciatti, E.; Bonadei, I.; D’Aloia, A.; Gelsomino, S.; Lorusso, R.; Ettori, F.; Metra, M. Effects of Transcatheter Aortic Valve Implantation on Ascending Aorta Wall Elastic Properties: Tissue Doppler Imaging and Strain Doppler Echocardiography Study. Int. J. Cardiol. Heart Vessel. 2014, 4, 198–202. [Google Scholar] [CrossRef] [PubMed]
- Hervault, M.; Clavel, M.-A. Sex-Related Differences in Calcific Aortic Valve Stenosis: Pathophysiology, Epidemiology, Etiology, Diagnosis, Presentation, and Outcomes. Struct. Heart 2018, 2, 102–113. [Google Scholar] [CrossRef]
- Stortecky, S.; Buellesfeld, L.; Wenaweser, P.; Heg, D.; Pilgrim, T.; Khattab, A.A.; Gloekler, S.; Huber, C.; Nietlispach, F.; Meier, B.; et al. Atrial Fibrillation and Aortic Stenosis. Circ. Cardiovasc. Interv. 2013, 6, 77–84. [Google Scholar] [CrossRef]


| n | Mean ± SD or No. (%) | |
|---|---|---|
| Patients’ characteristics | ||
| Sex (male) | 47 | 36 (76.6%) |
| Age (years) | 47 | 80.04 ± 6.065 |
| BMI (kg/m2) | 47 | 28.73 ± 4.372 |
| Arterial hypertension | 47 | 44 (93.6%) |
| Diabetes | 47 | 15 (31.9%) |
| Atrial fibrillation | 47 | 18 (38.3%) |
| CAD | 47 | 27 (57.4%) |
| Lipid metabolism disorders | 47 | 29 (61.7%) |
| Chronic renal disease | 47 | 9 (19.1%) |
| Smoker (active or past) | 47 | 15 (31.9%) |
| NYHA class | 46 | |
| I | 6 (13.0%) | |
| II | 13 (28.3%) | |
| III | 27 (58.7%) | |
| IV | 0 (0.0%) | |
| Time between pre-TAVI examination and TAVI procedure (hours) | 47 | 52 ± 47.3 |
| Time between post-TAVI examination and TAVI procedure (hours) | 47 | 82 ± 20.5 |
| Medication | ||
| Coumarin | 47 | 5 (10.6%) |
| Acetylsalicylic acid | 47 | 27 (57.4%) |
| Clopidogrel | 47 | 7 (14.9%) |
| Beta-blocker | 47 | 25 (53.2%) |
| Angiotensin-converting enzyme inhibitor | 47 | 19 (40.4%) |
| Angiotensin receptor blocker | 47 | 12 (25.5%) |
| Diuretic | 47 | 28 (59.6%) |
| Statin | 47 | 18 (38.3%) |
| Hemodynamic parameters | ||
| AVA (mm2) | 46 | 0.74 ± 0.150 |
| MaxPG (mmHg) | 47 | 64.01 ± 17.850 |
| MPG (mmHg) | 47 | 39.16 ± 11.430 |
| PVel (m/s) | 46 | 3.90 ± 0.560 |
| Low-flow low-gradient AS | 47 | 8 (17.0%) |
| Laboratory parameters | ||
| NT-proBNP (pg/mL) | 45 | 3715.20 ± 5450.591 |
| Total cholesterol (mg/dL) | 43 | 177.12 ± 53.367 |
| Triglycerides (mg/dL) | 43 | 147.58 ± 133.655 |
| LDL-Cholesterol (mg/dL) | 43 | 99.05 ± 46.742 |
| HDL-Cholesterol (mg/dL) | 43 | 58.79 ± 17.614 |
| Non-HDL-Cholesterol (mg/dL) | 43 | 118.33 ± 52.251 |
| Pre-TAVI | Post-TAVI | |||||
|---|---|---|---|---|---|---|
| Parameter | N | Mean ± SD or Median ± IQR | N | Mean ± SD or Median ± IQR | p-Value 1 | p-Value 2 |
| Stiffness indices | ||||||
| CS (%) | 44 | 4.50 ± 2.292 | 43 | 5.12 ± 2.958 | 0.035 | 0.012 |
| CSR (1/s) | 44 | 0.85 ± 0.567 | 43 | 1.35 ± 0.710 | <0.001 | 0.002 |
| βarea | 43 | 4.99 ± 2.720 | 42 | 4.44 ± 2.440 | 0.241 | 0.143 |
| aPWV (m/s) | 38 | 11.92 ± 2.050 | 41 | 11.70 ± 1.400 | 0.101 | 0.894 |
| AIx@75 (%) | 41 | 29.00 ± 13.417 | 38 | 18.67 ± 14.333 | 0.005 | 0.002 |
| Hemodynamic parameters | ||||||
| PVel (m/s) | 46 | 3.90 ± 0.560 | 45 | 2.20 ± 0.370 | <0.001 | |
| MPG (mmHg) | 47 | 39.16 ± 11.430 | 41 | 11.11 ± 3.916 | <0.001 | |
| MaxPG (mmHg) | 47 | 64.01 ± 17.850 | 47 | 19.89 ± 6.818 | <0.001 | |
| SBP (mmHg) | 45 | 130.33 ± 18.073 | 45 | 125.60 ± 16.694 | 0.232 | |
| DBP (mmHg) | 45 | 77.92 ± 8.831 | 45 | 75.35 ± 12.274 | 0.239 | |
| MAP (mmHg) | 45 | 100.79 ± 11.137 | 45 | 96.50 ± 11.473 | 0.070 | |
| CI (L/min × L/m2) | 38 | 2.40 ± 0.432 | 41 | 2.60 ± 0.400 | 0.004 | |
| Total vascular resistance (dyn·s/cm5) | 38 | 1732.64 ± 340.212 | 41 | 1539.50 ± 222.133 | 0.010 | |
| HR (bpm) | 45 | 66.79 ± 12.275 | 44 | 72.23 ± 10.581 | 0.002 |
| Pre-TAVI Measurements | ||||||
| aPWV (m/s) | AIx@75 (%) | βarea | ||||
| R | p-Value | R | p-Value | R | p-Value | |
| CS (%) 1 | −0.40 | 0.016 | 0.11 | 0.508 | −0.71 | <0.001 |
| CSR (1/s) 1 | −0.23 | 0.184 | 0.13 | 0.458 | −0.67 | <0.001 |
| Post-TAVI Measurements | ||||||
| aPWV (m/s) | AIx@75 (%) | βarea | ||||
| R | p-Value | R | R | p-Value | R | |
| CS (%) 1 | −0.09 | 0.583 | 0.08 | 0.632 | −0.80 | <0.001 |
| CSR (1/s) 1 | −0.11 | 0.528 | 0.09 | 0.573 | −0.69 | <0.001 |
| Change between Pre- and Post-TAVI Measurements | ||||||
| ΔaPWV (m/s) | ΔAIx@75 (%) | Δβarea | ||||
| R | p-Value | R | p-Value | R | p-Value | |
| ΔCS (%) 2 | −0.34 | 0.055 | 0.08 | 0.675 | −0.64 | <0.001 |
| ΔCSR (1/s) 2 | −0.21 | 0.242 | −0.02 | 0.857 | −0.34 | <0.001 |
Disclaimer/Publisher’s Note: The statements, opinions and data contained in all publications are solely those of the individual author(s) and contributor(s) and not of MDPI and/or the editor(s). MDPI and/or the editor(s) disclaim responsibility for any injury to people or property resulting from any ideas, methods, instructions or products referred to in the content. |
© 2023 by the authors. Licensee MDPI, Basel, Switzerland. This article is an open access article distributed under the terms and conditions of the Creative Commons Attribution (CC BY) license (https://creativecommons.org/licenses/by/4.0/).
Share and Cite
Arnold, L.; Haas, N.A.; Jakob, A.; Fischer, J.; Massberg, S.; Deseive, S.; Oberhoffer, F.S. Short-Term Changes in Arterial Stiffness Measured by 2D Speckle Tracking in Patients Undergoing Transcatheter Aortic Valve Implantation. J. Clin. Med. 2024, 13, 222. https://doi.org/10.3390/jcm13010222
Arnold L, Haas NA, Jakob A, Fischer J, Massberg S, Deseive S, Oberhoffer FS. Short-Term Changes in Arterial Stiffness Measured by 2D Speckle Tracking in Patients Undergoing Transcatheter Aortic Valve Implantation. Journal of Clinical Medicine. 2024; 13(1):222. https://doi.org/10.3390/jcm13010222
Chicago/Turabian StyleArnold, Leonie, Nikolaus Alexander Haas, André Jakob, Julius Fischer, Steffen Massberg, Simon Deseive, and Felix Sebastian Oberhoffer. 2024. "Short-Term Changes in Arterial Stiffness Measured by 2D Speckle Tracking in Patients Undergoing Transcatheter Aortic Valve Implantation" Journal of Clinical Medicine 13, no. 1: 222. https://doi.org/10.3390/jcm13010222
APA StyleArnold, L., Haas, N. A., Jakob, A., Fischer, J., Massberg, S., Deseive, S., & Oberhoffer, F. S. (2024). Short-Term Changes in Arterial Stiffness Measured by 2D Speckle Tracking in Patients Undergoing Transcatheter Aortic Valve Implantation. Journal of Clinical Medicine, 13(1), 222. https://doi.org/10.3390/jcm13010222

