Improving Cardiovascular Risk in Postmenopausal Women with an (−)-Epicatechin-Based Nutraceutical: A Randomly Assigned, Double-Blind vs. Placebo, Proof-of-Concept Trial
Abstract
:1. Introduction
2. Materials and Methods
Statistical Methods
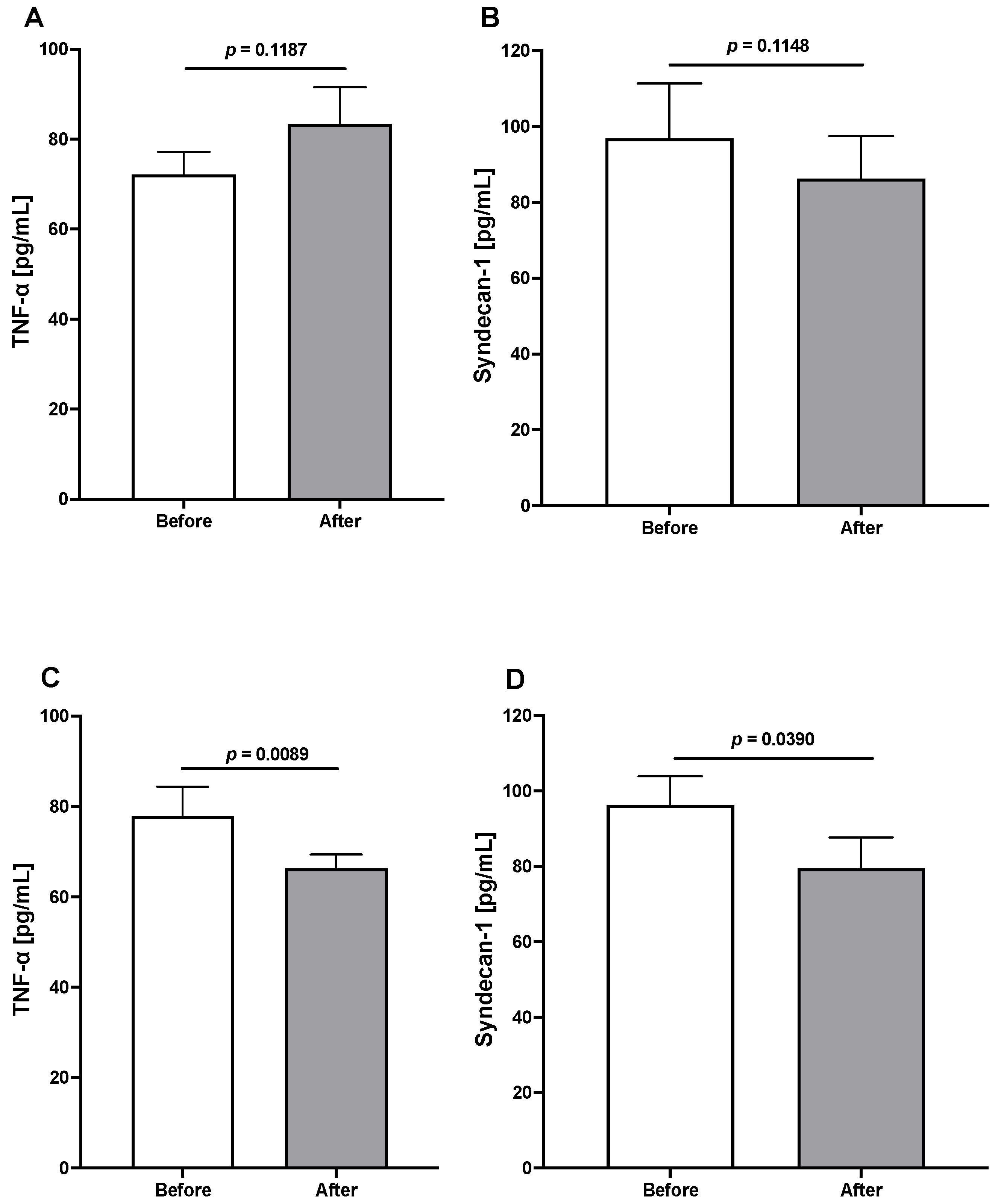
3. Results
4. Discussion
Author Contributions
Funding
Institutional Review Board Statement
Informed Consent Statement
Data Availability Statement
Acknowledgments
Conflicts of Interest
References
- British Heart Foundation. Global Heart & Circulatory Diseases Factsheet. June 2023. Available online: https://www.bhf.org.uk (accessed on 23 September 2023).
- INEGI. Comunicado de Prensa No 419/23. 26 De Julio De 2023. Estadísticas De Defunciones Registradas (EDR) En 2022. Available online: https://www.inegi.org.mx/contenidos/saladeprensa/boletines/2023/EDR/EDR2022.pdf (accessed on 23 September 2023).
- Woodward, M. Cardiovascular Disease and the Female Disadvantage. Int. J. Environ. Res. Public Health 2019, 16, 1165. [Google Scholar] [CrossRef] [PubMed]
- Aggarwal, N.R.; Patel, H.N.; Mehta, L.S.; Sanghani, R.M.; Lundberg, G.P.; Lewis, S.J.; Mendelson, M.A.; Wood, M.J.; Volgman, A.S.; Mieres, J.H. Sex Differences in Ischemic Heart Disease. Advances, Obstacles, and Next Steps. Circ. Cardiovasc. Qual. Outcomes 2018, 11, e004437. [Google Scholar] [CrossRef] [PubMed]
- Regensteiner, J.G.; Reusch, J.E. Sex Differences in Cardiovascular Consequences of Hypertension, Obesity, and Diabetes: JACC Focus Seminar 4/7. J. Am. Coll. Cardiol. 2022, 79, 1492–1505. [Google Scholar] [CrossRef] [PubMed]
- Ruiz-Gastélum, E.; Christen, A.I.; Ibañez, M.A.; Romera, M.; Castedo-Verdura, R.L.; Alurralde-Saavedra, H.I. The current impact of traditional risk factors in women. Cardiovasc. Metab Sci. 2022, 33, s492–s496. [Google Scholar] [CrossRef] [PubMed]
- Campos-Nonato, I.; Galván-Valencia, O.; Hernández-Barrera, L.; Oviedo-Solís, C.; Barquera, S. Prevalencia de obesidad y factores de riesgo asociados en adultos mexicanos: Resultados de la Ensanut 2022. Salud. Publica Mex. 2023, 65, s238–s247. [Google Scholar] [CrossRef] [PubMed]
- Lim, Y.; Boster, J. Obesity and Comorbid Conditions. StatPearls. Available online: https://www.ncbi.nlm.nih.gov/books/NBK574535/ (accessed on 24 December 2023).
- Bogers, R.P.; Bemelmans, W.J.E.; Hoogenveen, R.T.; Boshuizen, H.C.; Woodward, M.; Knekt, P.; van Dam, R.M.; Hu, F.B.; Visscher, T.L.S.; Menotti, A.; et al. BMI-CHD Collaboration investigators. association of overweight with increased risk of coronary heart disease partly independent of blood pressure and cholesterol LevelsA meta-analysis of 21 cohort studies including more than 300,000 persons. Arch. Intern. Med. 2007, 167, 1720–1728. [Google Scholar] [CrossRef] [PubMed]
- Prasad, R.; Jha, R.K.; Keerti, A. Chronic Kidney Disease: Its Relationship with Obesity. Cureus 2022, 14, e30535. [Google Scholar] [CrossRef]
- Bentley-Lewis, R.; Koruda, K.; Seely, E.W. The metabolic syndrome in women. Nat. Clin. Pr. Endocrinol. Metab. 2007, 30, 696–704. [Google Scholar] [CrossRef]
- Janssen, I.; Powell, L.H.; Crawford, S.; Lasley, B.; Sutton-Tyrrell, K. Menopause and the Metabolic SyndromeThe Study of Women’s Health Across the Nation. Arch. Intern. Med. 2008, 168, 1568–1575. [Google Scholar] [CrossRef]
- Anagnostis, P.; Lambrinoudaki, I.; Stevenson, J.C.; Goulis, D.G. Menopause-associated risk of cardiovascular disease. Endocr. Connect. 2022, 11, e210537. [Google Scholar] [CrossRef]
- Gurka, M.J.; Vishnu, A.; Santen, R.J.; DeBoer, M. Progression of Metabolic Syndrome Severity During the Menopausal Transition. J. Am. Hear. Assoc. 2016, 5, e003609. [Google Scholar] [CrossRef] [PubMed]
- Prabakaran, S.; Schwartz, A.; Lundberg, G. Cardiovascular risk in menopausal women and our evolving understanding of menopausal hormone therapy: Risks, benefits, and current guidelines for use. Ther. Adv. Endocrinol. Metab. 2021, 12, 20420188211013917. [Google Scholar] [CrossRef] [PubMed]
- Lovre, D.; Lindsey, S.H.; Mauvais-Jarvis, F. Effect of menopausal hormone therapy on components of the metabolic syndrome. Ther. Adv. Cardiovasc. Dis. 2017, 11, 33–43. [Google Scholar] [CrossRef] [PubMed]
- Cho, L.; Davis, M.; Elgendy, I.; Epps, K.; Lindley, K.J.; Mehta, P.K.; Michos, E.D.; Minissian, M.; Pepine, C.; Vaccarino, V.; et al. Summary of Updated Recommendations for Primary Prevention of Cardiovascular Disease in Women JACC State-of-the-Art Review. J. Am. Coll. Cardiol. 2020, 75, 2602–2618. [Google Scholar] [CrossRef]
- Lombardo, M.; Perrone, M.A.; Guseva, E.; Aulisa, G.; Padua, E.; Bellia, C.; Della-Morte, D.; Iellamo, F.; Caprio, M.; Bellia, A. Losing Weight after Menopause with Minimal Aerobic Training and Mediterranean Diet. Nutrients 2020, 12, 2471. [Google Scholar] [CrossRef]
- Gutiérrez-Salmeán, G.; Ortiz-Vilchis, P.; Vacaseydel, C.M.; Rubio-Gayosso, I.; Meaney, E.; Villarreal, F.; Ramírez-Sánchez, I.; Ceballos, G. Acute effects of an oral supplement of (−)-epicatechin on postprandial fat and carbohydrate metabolism in normal and overweight subjects. Food Funct. 2014, 5, 521–527. [Google Scholar] [CrossRef]
- Gutiérrez-Salmeán, G.; Meaney, E.; Lanaspa, M.A.; Cicerchi, C.; Johnson, R.J.; Dugar, S.; Taub, P.; Ramírez-Sánchez, I.; Villarreal, F.; Schreiner, G.; et al. A randomized, placebo-controlled, double-blind study on the effects of (−)-epicatechin on the triglyceride/HDLc ratio and cardiometabolic profile of subjects with hypertriglyceridemia: Unique in vitro effects. Int. J. Cardiol. 2016, 223, 500–506. [Google Scholar] [CrossRef]
- León-Flores, P.; Nájera, N.; Pérez, E.; Pardo, B.; Jimenez, F.; Diaz-Chiguer, D.; Villarreal, F.; Hidalgo, I.; Ceballos, G.; Meaney, E. Effects of Cacao By-Products and a Modest Weight Loss Intervention on the Concentration of Serum Triglycerides in Overweight Subjects: Proof of Concept. J. Med. Food 2020, 23, 745–749. [Google Scholar] [CrossRef]
- Whelton, P.K.; Carey, R.M.; Mancia, G.; Kreutz, R.; Bundy, J.D.; Williams, B. Harmonization of the American College of Cardiology/American Heart Association and European Society of Cardiology/European Society of Hypertension Blood Pressure/Hypertension Guidelines: Comparisons, Reflections, and Recommendations. Eur. Heart J. 2022, 43, 3302–3311. [Google Scholar] [CrossRef]
- Friedewald, W.T.; I Levy, R.; Fredrickson, D.S. Estimation of the concentration of low-density lipoprotein cholesterol in Plasma, without the use of the preparative ultracentrifuge. Clin. Chem. 1972, 18, 499–502. [Google Scholar] [CrossRef]
- Gérard-Monnier, D.; Erdelmeier, I.; Régnard, K.; Moze-Henry, N.; Yadan, A.J.-C.; Chaudière, J. Reactions of 1-Methyl-2-phenylindole with Malondialdehyde and 4-Hydroxyalkenals. Analytical Applications to a Colorimetric Assay of Lipid Peroxidation. Chem. Res. Toxicol. 1998, 11, 1176–1183. [Google Scholar] [CrossRef] [PubMed]
- Musunuru, K.; Orho-Melander, M.; Caulfield, M.P.; Li, S.; Salameh, W.A.; Reitz, R.E.; Berglund, G.; Hedblad, B.; Engstrom, G.; Williams, P.T.; et al. Ion Mobility Analysis of Lipoprotein Subfractions Identifies Three Independent Axes of Cardiovascular Risk. Arter. Thromb. Vasc. Biol. 2009, 29, 1975–1980. [Google Scholar] [CrossRef] [PubMed]
- American College of Cardiology, American Heart Association. ASCVD Risk Estimator. Available online: https://tools.acc.org/ldl/ascvd_risk_estimator/index.html#!/calulate/estimator (accessed on 17 September 2022).
- Goff, D.C., Jr.; Lloyd-Jones, D.M.; Bennett, G.; Coady, S.; D’Agostino, R.B.; Gibbons, R.; Greenland, P.; Lackland, D.T.; Levy, D.; O’Donnell, C.J.; et al. 2013 ACC/AHA Guideline on the Assessment of Cardiovascular Risk: A report of the American College of Cardiology/American Heart Association Task Force on Practice Guidelines. Circulation 2014, 129 (Suppl. S2), S49–S73. [Google Scholar] [CrossRef] [PubMed]
- Gaziano, J.M.; Hennekens, C.H.; O’donnell, C.J.; Breslow, J.L.; Buring, J.E. Fasting triglycerides, high-density lipoprotein, and risk of myocardial infarction. Circulation 1997, 96, 2520–2525. [Google Scholar] [CrossRef] [PubMed]
- Meaney, A.; Ceballos-Reyes, G.; Gutiérrez-Salmean, G.; Samaniego-Méndez, V.; Vela-Huerta, A.; Alcocer, L.; Zárate-Chavarría, E.; Mendoza-Castelán, E.; Olivares-Corichi, I.; García-Sánchez, R.; et al. Cardiovascular risk factors in a Mexican middle-class urban population. The Lindavista Study. Baseline data. Arch. Cardiol. Méx. 2013, 83, 249–256. [Google Scholar] [CrossRef] [PubMed]
- Martínez-Marroquín, Y.; Meaney, A.; Samaniego-Méndez, V.; Nájera, N.; Ceballos, G.; Fernández-Barros, C.; Meaney, E. The TG/HDL-c Lipid Ratio as a Cardiovascular Risk Marker in a Mexican Urban Middle-Class Population: Do We Need a Risk Score Tailored for Mexicans? J. Clin. Med. 2023, 12, 6005. [Google Scholar] [CrossRef] [PubMed]
- Idriss, H.T.; Naismith, J.H. TNF alpha and the TNF receptor superfamily: Structure-function relationship(s). Microsc. Res. Tech. 2000, 50, 184–195. [Google Scholar] [CrossRef]
- Zhang, D.; Li, L.; Chen, Y.; Ma, J.; Yang, Y.; Aodeng, S.; Cui, Q.; Wen, K.; Xiao, M.; Xie, J.; et al. Syndecan-1, an indicator of endothelial glycocalyx degradation, predicts outcome of patients admitted to an ICU with COVID-19. Mol. Med. 2021, 27, 151. [Google Scholar] [CrossRef]
- Mustafa, A.K.; Sikka, G.; Gazi, S.K.; Steppan, J.; Jung, S.M.; Bhunia, A.K.; Barodka, V.M.; Gazi, F.K.; Barrow, R.K.; Wang, R.; et al. Hydrogen Sulfide as Endothelium-Derived Hyperpolarizing Factor Sulfhydrates Potassium Channel. Cir. Res. 2011, 109, 1259–1268. [Google Scholar] [CrossRef]
- Ikeda, M.; Ishima, Y.; Shibata, A.; Chuang, V.T.; Sawa, T.; Ihara, H.; Watanabe, H.; Xian, M.; Ouchi, Y.; Shimizu, T.; et al. Quantitative determination of polysulfide in albumins, plasma proteins and biological fluid samples using a novel combined assays approach. Anal. Chim. Acta 2017, 969, 18–25. [Google Scholar] [CrossRef]
- Krauss, R.M. Lipoprotein Subfractions and Cardiovascular Disease Risk. Curr. Opin. Lipidol. 2010, 21, 305–311. [Google Scholar] [CrossRef] [PubMed]
- Ivanova, E.A.; Myasoedova, V.A.; Melnichenko, A.A.; Grechko, A.V.; Orekhov, A.N. Small Dense Low-Density Lipoprotein as Biomarker for Atherosclerotic Diseases. Oxid. Med. Cell. Longev. 2017, 2017, 1273042. [Google Scholar] [CrossRef] [PubMed]
- Mendoza, W.; Miranda, J.J. Global shifts in cardiovascular disease, the epidemiologic transition, and other contributing factors: Towards a new practice of Global Health Cardiology. Cardiol. Clin. 2017, 35, 1–12. [Google Scholar] [CrossRef] [PubMed]
- Arroyo-Quiroz, C.; Barrientos-Gutierrez, T.; O’flaherty, M.; Guzman-Castillo, M.; Palacio-Mejia, L.; Osorio-Saldarriaga, E.; Rodriguez-Rodriguez, A.Y. Coronary heart disease mortality is decreasing in Argentina, and Colombia, but keeps increasing in Mexico: A time trend study. BMC Public Health 2020, 20, 162. [Google Scholar] [CrossRef] [PubMed]
- Khan, M.A.; Hashim, M.J.; Mustafa, H.; Baniyas, M.Y.; Al Suwaidi, S.K.B.M.; Alkatheeri, R.; Alblooshi, F.M.K.; Almatrooshi, M.E.A.H.; Alzaabi, M.E.H.; Al Darmaki, R.S.; et al. Global Epidemiology of Ischemic Heart Disease: Results from the Global Burden of Disease Study. Cureus 2020, 12, e9349. [Google Scholar] [CrossRef] [PubMed]
- Carr, M.C. The Emergence of the Metabolic Syndrome with Menopause. J. Clin. Endocrinol. Metab. 2003, 88, 2404–2411. [Google Scholar] [CrossRef] [PubMed]
- Jeong, H.G.; Park, H. Metabolic Disorders in Menopause. Metabolites 2022, 12, 954. [Google Scholar] [CrossRef]
- Barrett-Connor, E. Menopause, atherosclerosis, and coronary artery disease. Curr. Opin. Pharmacol. 2013, 13, 186–191. [Google Scholar] [CrossRef]
- Taub, P.R.; Ramirez-Sanchez, I.; Ciaraldi, T.P.; Perkins, G.; Murphy, A.N.; Naviaux, R.; Hogan, M.; Maisel, A.S.; Henry, R.R.; Ceballos, G.; et al. Alterations in Skeletal Muscle Indicators of Mitochondrial Structure and Biogenesis in Patients with Type 2 Diabetes and Heart Failure: Effects of Epicatechin Rich Cocoa. Clin. Transl. Sci. 2012, 5, 43–47. [Google Scholar] [CrossRef]
- Cremonini, E.; Fraga, C.G.; Oteiza, P.I. (–)-Epicatechin in the control of glucose homeostasis: Involvement of redox-regulated mechanisms. Free Radic. Biol. Med. 2019, 130, 478–488. [Google Scholar] [CrossRef]
- Kjartan, B. Risk aggregation: What does it really mean? Reliab. Eng. Syst. Saf. 2019, 191, 10652. [Google Scholar]
- Shaalina, N.; Simranjit, S.; Rabia SAishwarya, P.; Sreedevi TDanial, H.; Khushbu, K.; Jihan, A.M. Tumor Necrosis Factor-Alpha Inhibitors and Cardiovascular Risk in Rheumatoid Arthritis: A Systematic Review. Cureus 2022, 14, e26430. [Google Scholar]
- Wernly, B.; Fuernau, G.; Masyuk, M.; Muessig, J.; Pfeiler, S.; Romano Bruno, R.; Desch, S.; Muench, P.; Lichtenauer, M.; Kelm, M.; et al. Syndecan-1 Predicts Outcome in Patients with ST-Segment Elevation Infarction Independent from Infarct-related Myocardial Injury. Sci. Rep. 2019, 9, 18367. [Google Scholar] [CrossRef] [PubMed]
- Peyter, A.-C.; Armengaud, J.-B.; Guillot, E.; Yzydorczyk, C. Endothelial Progenitor Cells Dysfunctions and Cardiometabolic Disorders: From Mechanisms to Therapeutic Approaches. Int. J. Mol. Sci. 2021, 22, 6667. [Google Scholar] [CrossRef]
- Kolluru, G.; Shackelford, R.; Shen, X.; Dominic, P.; Kevil, C. Sulfide regulation of cardiovascular function in health and disease. Nat. Rev. Cardiol. 2022, 20, 109–125. [Google Scholar] [CrossRef]
- Curtis, P.J.; Potter, J.; A Kroon, P.; Wilson, P.; Dhatariya, K.; Sampson, M.; Cassidy, A. Vascular function and atherosclerosis progression after 1 y of flavonoid intake in statin-treated postmenopausal women with type 2 diabetes: A double-blind randomized controlled trial. Am. J. Clin. Nutr. 2013, 97, 936–942. [Google Scholar] [CrossRef]
- Sesso, H.D.; E Manson, J.; Aragaki, A.K.; Rist, P.M.; Johnson, L.G.; Friedenberg, G.; Copeland, T.; Clar, A.; Mora, S.; Moorthy, M.V.; et al. Effect of cocoa flavanol supplementation for the prevention of cardiovascular disease events: The COcoa Supplement and Multivitamin Outcomes Study (COSMOS) randomized clinical trial. Am. J. Clin. Nutr. 2022, 115, 1490–1500. [Google Scholar] [CrossRef]





| Lipoprotein by Size | Reference Number of Particles | |||
|---|---|---|---|---|
| Study Population Particle Number Mean ± SEM | Optimal | Moderate Risk | High Risk | |
| LDL peak size (Å) | 211.20 ± 0.86 | >222.90 | 217.40–222.90 | <217.40 |
| LDL total particles | 1050 ± 36.55 | <1260 | 1260–1538 | >1538 |
| LDL very small | 239 ± 13.28 | 35–182 | >182 | |
| LDL small | 204.50 ± 10.17 | <142 | 142–219 | >219 |
| LDL medium LDL | 170.50 ± 7.35 | <215 | 215–301 | >301 |
| LDL large | 89.95 ± 5.19 | >89–368 | <89 | |
| HDL total particles | 27,155 ± 684.10 | 17,063–38,995 | ||
| HDL small | 27,068 ± 4874 | 12,602–28,643 | ||
| HDL large | 4956 ± 131.60 | >6729 | 6729–5353 | <5353 |
| Variable | Mean ± SEM | Range |
|---|---|---|
| Age (years) | 53.30 ± 0.49 | 50–61 |
| Body weight (kg) | 73.80 ± 1.61 | 55–96 |
| BMI (kg/m2) | 31.00 ± 0.64 | 24.40–39.90 |
| Abdominal circumference (cm) | 96.30 ± 1.47 | 82–149 |
| Glucose (md/dL) | 102.10 ± 1.82 | 85–149 |
| Cholesterol (mg/dL) | 213.70 ± 5.75 | 125–295 |
| LDL cholesterol (mg/dL) | 126.90 ± 4.80 | 51.80–202.80 |
| HDL cholesterol (mg/dL) | 43.50 ± 1.37 | 30–72 |
| Triglycerides (mg/dL) | 214.60 ± 14.13 | 75–636 |
| Systolic blood pressure (mmHg) | 116.30 ± 2.70 | 89–158 |
| Diastolic blood pressure (mmHg) | 72.40 ± 1.20 | 59–97 |
| 10-year ASCVD risk | 2.76 ± 0.13 | 2–5 |
| Variable | Placebo Group | Intervention Group | ||||
|---|---|---|---|---|---|---|
| Before | After | p | Before | After | p | |
| Body weight (kg) | 70.90 ± 2.08 # | 69.60 ± 2.12 | 0.020 | 76.48 ± 2.45 # | 75.43 ± 2.51 | 0.000 |
| BMI (kg/m2) | 29.61 ± 0.89 | 29.00 ± 0.93 | 0.009 | 32.41 ± 0.83 | 31.18 ± 0.85 | 0.020 |
| Abdominal circumference (cm) | 94.35 ± 2.25 | 92.70 ± 2.23 | ns | 98.33 ± 1.86 | 94.63 ± 1.78 | 0.005 |
| Fasting glycemia (mg/dL) | 99.10 ± 1.35 | 96.75 ± 1.75 | ns | 105.00 ± 3.20 | 105.10 ± 3.89 | ns |
| Total cholesterol (mg/dL) | 209.10 ± 7.00 | 223.40 ± 7.02 | ns | 218.00 ± 9.09 | 226.60 ± 9.14 | ns |
| LDL-Cholesterol (mg/dL) | 123.70 ± 5.42 | 135.30 ± 5.07 | 0.048 | 129.90 ± 7.90 | 132.60 ± 9.58 | ns |
| HDL-Cholesterol (mg/dL) | 46.42 ± 2.40 | 48.55 ± 2.70 | ns | 40.82 ± 1.16 | 41.16 ± 1.09 | ns |
| Triglycerides (mg/dL) | 193.30 ± 12.15 # | 204.40 ± 24.93 | ns | 220.8 ± 12.02 # | 223.1 ± 11.96 | ns |
| Systolic blood pressure (mm Hg) | 112.80 ± 3.45 | 113.10 ± 4.14 | ns | 119.60 ± 4.14 | 115.8 ± 2.70 | ns |
| Diastolic blood pressure (mm Hg) | 70.75 ± 1.66 | 70.30 ± 1.98 | ns | 73.90 ± 1.60 | 73.68 ± 1.42 | ns |
| MDA (pmol/mg of dry weight) | 24.62 ± 3.60 | 25.41 ± 4.09 | ns | 30.65 ± 6.90 | 18.06 ± 2.27 | 0.090 |
| Percentage Change in the Number of LDL Particles | ||||
|---|---|---|---|---|
| LDL Size, (Å) | Placebo | Intervention | Δ | p-Value |
| Very small | 28.80 ± 12.10 | −31.66 ± 17.00 | ↓ | 0.04 |
| Small | 30.94 ± 12.19 | −24.79 ± 18.80 | ↓ | 0.03 |
| Medium | 13.00 ± 9.16 | 27.56 ± 10.47 | = | 0.42 |
| Large | −10.59 ± 3.48 | 36.81 ± 15.87 | ↑ | 0.03 |
| HDL Particles | p-Value | |||
| Change in HDL particle number | −331.40 ± 1271 | 3066 ± 1042 | 0.050 | |
| Change in large HDL particle number | −66.10 ± 165.10 | 441.20 ± 158.40 | 0.030 | |
| Variable | Placebo Group | Intervention Group | ||||
|---|---|---|---|---|---|---|
| Before | After | p | Before | After | p | |
| 10-year ACC/AHA ASCVD risk | 2.65 ± 0.16 | 2.85 ± 0.26 | ns | 2.89 ± 0.21 | 2.84 ± 0.21 | ns |
| TG/HDL index | 4.26 ± 0.42 | 5.00 ± 0.88 | ns | 5.68 ± 0.46 | 5.58 ± 0.41 | ns |
| Lindavista risk score | 10.45 ± 0.45 | 9.50 ± 0.80 | ns | 12.38 ± 0.39 | 9.81 ± 0.87 | 0.007 |
Disclaimer/Publisher’s Note: The statements, opinions and data contained in all publications are solely those of the individual author(s) and contributor(s) and not of MDPI and/or the editor(s). MDPI and/or the editor(s) disclaim responsibility for any injury to people or property resulting from any ideas, methods, instructions or products referred to in the content. |
© 2023 by the authors. Licensee MDPI, Basel, Switzerland. This article is an open access article distributed under the terms and conditions of the Creative Commons Attribution (CC BY) license (https://creativecommons.org/licenses/by/4.0/).
Share and Cite
Nájera, N.; Ortíz-Flores, M.; Pérez-Durán, J.; Reyes-Muñoz, E.; Romo-Yañez, J.; Ortiz-Luna, G.; Villarreal, F.; Meaney, E.; Ceballos, G.; Montoya-Estrada, A. Improving Cardiovascular Risk in Postmenopausal Women with an (−)-Epicatechin-Based Nutraceutical: A Randomly Assigned, Double-Blind vs. Placebo, Proof-of-Concept Trial. J. Clin. Med. 2024, 13, 195. https://doi.org/10.3390/jcm13010195
Nájera N, Ortíz-Flores M, Pérez-Durán J, Reyes-Muñoz E, Romo-Yañez J, Ortiz-Luna G, Villarreal F, Meaney E, Ceballos G, Montoya-Estrada A. Improving Cardiovascular Risk in Postmenopausal Women with an (−)-Epicatechin-Based Nutraceutical: A Randomly Assigned, Double-Blind vs. Placebo, Proof-of-Concept Trial. Journal of Clinical Medicine. 2024; 13(1):195. https://doi.org/10.3390/jcm13010195
Chicago/Turabian StyleNájera, Nayelli, Miguel Ortíz-Flores, Javier Pérez-Durán, Enrique Reyes-Muñoz, José Romo-Yañez, Guillermo Ortiz-Luna, Francisco Villarreal, Eduardo Meaney, Guillermo Ceballos, and Araceli Montoya-Estrada. 2024. "Improving Cardiovascular Risk in Postmenopausal Women with an (−)-Epicatechin-Based Nutraceutical: A Randomly Assigned, Double-Blind vs. Placebo, Proof-of-Concept Trial" Journal of Clinical Medicine 13, no. 1: 195. https://doi.org/10.3390/jcm13010195
APA StyleNájera, N., Ortíz-Flores, M., Pérez-Durán, J., Reyes-Muñoz, E., Romo-Yañez, J., Ortiz-Luna, G., Villarreal, F., Meaney, E., Ceballos, G., & Montoya-Estrada, A. (2024). Improving Cardiovascular Risk in Postmenopausal Women with an (−)-Epicatechin-Based Nutraceutical: A Randomly Assigned, Double-Blind vs. Placebo, Proof-of-Concept Trial. Journal of Clinical Medicine, 13(1), 195. https://doi.org/10.3390/jcm13010195

